EXTRACTION, PURIFICATION, AND SMALL-ANGLE X-RAY SCATTERING ANALYSIS OF THE YSXC GTPASE OF STAPHYLOCOCCUS AUREUS
- Authors: Biktimirov A.D.1, Islamov D.R.1, Validov S.Z.1, Peter's G.S.2, Khaliullina A.V.1, Yusupov M.M.3, Usachev K.S.1
-
Affiliations:
- Kazan (Volga Region) Federal University, Kazan, 420008 Russia
- National Research Centre “Kurchatov Institute,” Moscow, 123098 Russia
- Institut de génétique et de biologie moléculaire et cellulaire, 67400 Illkirch-Graffenstaden, France
- Issue: Vol 68, No 2 (2023)
- Pages: 204-208
- Section: ДИФРАКЦИЯ И РАССЕЯНИЕ ИОНИЗИРУЮЩИХ ИЗЛУЧЕНИЙ
- URL: https://bakhtiniada.ru/0023-4761/article/view/137360
- DOI: https://doi.org/10.31857/S0023476123020042
- EDN: https://elibrary.ru/BPYPCD
- ID: 137360
Cite item
Full Text
Abstract
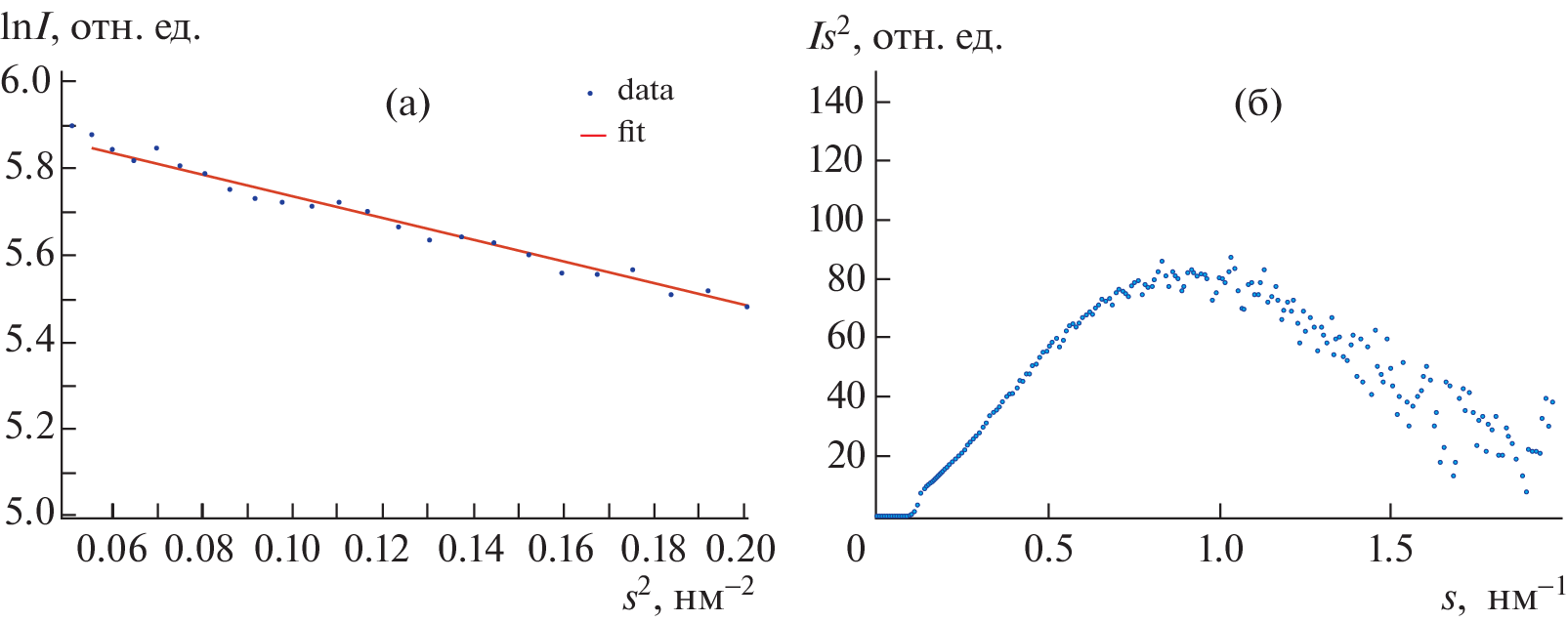
Study of the structures of various biological macromolecules is one of the main directions that are intensively developed using physical methods. Since proteins are an elementary unit of the structural and functional organization of a cell, the strategies for combating pathogenic microorganisms include the analysis of the bacterial protein synthesis apparatus and related systems. The extraction, purification, and small-angle X-ray scattering analysis of the structure of YsxC protein from the Staphylococcus aureus pathogenic bacterium are reported. This protein is involved in the cell growth and division processes, serves an energy-dependent factor, and participates in the assembly of large ribosome subunit. The structural study of this protein opens up a possibility of searching for small molecules capable of inhibiting its function. Since the structural variability of protein factors is higher than that of the conservative ribosome sites, their inhibition makes it possible to selectively affect a pathogenic microorganism.
About the authors
A. D. Biktimirov
Kazan (Volga Region) Federal University, Kazan, 420008 Russia
Email: k.usachev@kpfu.ru
Россия, Казань
D. R. Islamov
Kazan (Volga Region) Federal University, Kazan, 420008 Russia
Email: k.usachev@kpfu.ru
Россия, Казань
S. Z. Validov
Kazan (Volga Region) Federal University, Kazan, 420008 Russia
Email: k.usachev@kpfu.ru
Россия, Казань
G. S. Peter's
National Research Centre “Kurchatov Institute,” Moscow, 123098 Russia
Email: k.usachev@kpfu.ru
Россия, Москва
A. V. Khaliullina
Kazan (Volga Region) Federal University, Kazan, 420008 Russia
Email: k.usachev@kpfu.ru
Россия, Казань
M. M. Yusupov
Institut de génétique et de biologie moléculaire et cellulaire, 67400 Illkirch-Graffenstaden, France
Email: k.usachev@kpfu.ru
Франция, Илькирш-Граффенштаден
K. S. Usachev
Kazan (Volga Region) Federal University, Kazan, 420008 Russia
Author for correspondence.
Email: k.usachev@kpfu.ru
Россия, Казань
References
- Chambers H.F., Deleo F.R. // Nat Rev Microbiol. 2009. V. 7 № 9. P. 629. https://doi.org/10.1038/nrmicro2200
- Stapleton P.D., Taylor P.W. // Sci Prog. 2002. V. 85 № 1. P. 57. https://doi.org/10.3184/003685002783238870
- Gan T., Shu G., Fu H. et al. // BMC Vet Res. 2021. V. 17 P. 177. https://doi.org/10.1186/s12917-021-02884-z
- Murray Ch.J.L., Shunji I.K., Sharara F. et al. // Lancet. 2022. V. 10325. № 399. P. 629. https://doi.org/10.1016/S0140-6736(21)02724-0
- Poehlsgaard J., Douthwaite S. // Nat. Rev. Microbiol. 2005. V. 3. P. 870. https://doi.org/10.1038/nrmicro1265
- Усачев К.С., Юсупов М.М., Валидов Ш.З. // Биохимия. 2020. Т. 85. № 11. С. 1690. https://doi.org/10.1134/S0006297920110115
- Khusainov I., Fatkhullin B., Pellegrino S. // Nature Commun. 2020. V. 11 № 1656. https://doi.org/10.1038/s41467-020-15517-0
- Cooper E.L., García-Lara J., Foster S.J. // BMC Microbiol. 2009. V. 9. № 266. https://doi.org/10.1186/1471-2180-9-266
- Ramakrishnan C., Dani V.S., Ramasarma T. // Protein Eng. Des. Sel. 2002. V. 15. № 10. P. 783. https://doi.org/10.1093/protein/15.10.783
- Ni X., Davis J.H., Jain N. et al. // Nucl. Acids Res. 2016. V. 44. № 17. P. 8442. https://doi.org/10.1093/nar/gkw678
- Корчуганов В.Н., Валентинов А.Г., Полозов С.М. и др. // Кристаллография. 2022. Т. 67. № 5. С. 735. https://doi.org/10.31857/S0023476122050058
- Konarev P.V., Volkov V.V., Sokolova A.V. et al. // J. Appl. Cryst. 2003. V. 36. P. 1277. https://doi.org/10.1107/S0021889803012779
- Svergun D.I. // Biophys J. 1999. V. 76. № 6. P. 2879. https://doi.org/10.1016/S0006-3495(99)77443-6
- Gosavi R.A., Mueser T.C., Schall C.A. // Acta Cryst. 2008. V. 64. P. 506. https://doi.org/10.1107/S0907444908004265
- Ruzheinikov S.N., Das Sanjan K., Sedelnikova S.E. et al. // J. Mol. Biol. 2004. V. 339 № 2. P. 265. https://doi.org/10.1016/j.jmb.2004.03.043
- Goldenberg D.P., Argyle B. // Biophys. J. 2014. V. 106. № 4. P. 895. https://doi.org/10.1016/j.bpj.2013.12.004
- Chacon P., Moran F., Dia z J.F. et al. // Biophys. J. 1998. V. 74. P. 2760. https://doi.org/10.1016/S0006-3495(98)77984-6
- Svergun D.I., Barberato C., Koch M.H.J. // J. Appl. Cryst. 1999. V. 28. P. 768. https://doi.org/10.1107/S1600576717007786
- Jumper J., Evans R., Pritzel A. et al. // Nature. 2021. V. 596. P. 583. https://doi.org/10.1038/s41586-021-03819-2
Supplementary files







