Флуктуации электрического и магнитного полей в плазменном слое хвоста магнитосферы земли по данным MMS
- Authors: Овчинников И.Л.1, Найко Д.Ю.1,2, Антонова Е.Е.1,3
-
Affiliations:
- Научно-исследовательский институт ядерной физики им. Д. В. Скобельцына Московского государственного университета имени М. В. Ломоносова
- Московский государственный университет имени М. В. Ломоносова
- Институт космических исследований РАН
- Issue: Vol 62, No 1 (2024)
- Pages: 13-35
- Section: Articles
- URL: https://bakhtiniada.ru/0023-4206/article/view/257702
- DOI: https://doi.org/10.31857/S0023420624010021
- ID: 257702
Cite item
Full Text
Abstract
Проведен статистический анализ спектров флуктуаций электрического и магнитного поля в плазменном слое хвоста магнитосферы Земли по данным спутников миссии Multiscale Magnetosphere Mission (MMS) за 2017–2022 гг. при небольших скоростях движения плазмы. Рассмотрены результаты измерений комплекса аппаратуры FIELDS. Выделены трехчасовые интервалы, во время которых спутники находились внутри плазменного слоя и плазменный параметр β был больше единицы. Проведен анализ более ста тысяч спектров флуктуаций электрического поля прибором EDP/DCE и магнитного поля прибором FGM. Из рассмотрения были исключены интервалы со скоростями плазмы свыше 100 км/с. Для каждого интервала определены показатели наклонов спектров в частотном диапазоне 0.014–16 Гц. Выявлено, что величины показателей спектров существенно отличаются для электрического и магнитного поля. Получены зависимости показателей спектров от усредненных по интервалу уровней флуктуаций электрического и магнитного полей.
Full Text
ВВЕДЕНИЕ
Характерная особенность процессов в магнитосфере Земли – существование турбулентных флуктуаций скорости, плотности, электрического и магнитного поля при бесстолкновительном характере плазменных взаимодействий. Поэтому определение характеристик бесстолкновительной магнитосферной турбулентности представляется важной составной частью исследований магнитосферы. Турбулентность необходимо учитывать при описании транспорта частиц из магнитослоя внутрь магнитосферы и утечки частиц из магнитосферы, переноса внутри магнитосферы, ускорения и нагрева частиц и при решении многих других проблем. Одной из них становится проблема формирования плазменного слоя при южной ориентации межпланетного магнитного поля (ММП) и его разрушения и заполнения плазмой долей хвоста при северной ориентации ММП (см. обзоры [2, 15] и ссылки в данных обзорах). Для решения последней задачи существенный интерес представляют флуктуации электрического поля.
Количественные исследования турбулентности магнитосферного хвоста начались с анализа данных спутников ISEE и Geotail [1, 4, 5, 16 и др.] и продолжились при реализации проекта CLUSTER [24, 25 и др.]. Было доказано, что турбулентность хвоста имеет перемежающийся характер и уровень флуктуаций магнитного поля значительно возрастает при прохождении ускоренных плазменных потоков (англ. bursty bulk flow – BBF). Исследования бесстолкновительной турбулентности значительно расширились с реализацией миссии MMS, результаты измерений приборов которой находятся в открытом доступе на сайтах (https://mms.gsfc.nasa.gov/, https://lasp.colorado.edu/mms/sdc/public/data/). В работе [22] подчеркивалось, что до реализации проекта MMS не удавалось получать надежные измерения трех компонент электрического поля с разрешением, необходимым для исследований процессов в хвосте магнитосферы.
Проект MMS был направлен на изучение плазменных процессов на электронных масштабах [6], но полученные данные использовались и продолжают использоваться при анализе различных плазменных процессов, включая исследования турбулентности. Данные MMS, наряду с возможностью изучения процессов на малых масштабах, позволяют исследовать флуктуации всех трех компонент электрического поля, приводящих к транспорту плазмы, ускорению и нагреву частиц.
Многочисленные исследования c использованием данных MMS посвящены турбулентности солнечного ветра [7, 12 и др.] и магнитослоя [18, 26 и др.]. Успешность таких исследований связана с высокой скоростью течения плазмы в солнечном ветре и в магнитослое на флангах магнитосферы, превышающей альвеновскую и звуковую скорость. При этом используется гипотеза Тейлора [21], в соответствии с которой скорость волн, формирующих турбулентный каскад, много меньше скорости движения плазмы, что позволяет определять волновые числа. Данное приближение неприменимо к изучению турбулентности плазмы в хвосте магнитосферы Земли, что значительно усложняет исследования турбулентности плазменного слоя, где происходит сдвиг спектра турбулентных флуктуаций по частоте в областях быстрых движений плазмы [27], так как при изучении турбулентности обычно рассматривается спектр по волновым числам. Однако в работе [8] отмечалось, что в условиях, когда скорость течения плазмы значительно изменяется, может быть получен только частотный спектр, и в дальнейших работах по изучению турбулентности при быстрых течениях плазмы определение наклонов частотных спектров по данным MMS успешно использовалось.
В ходе анализа спектров турбулентности по данным MMS основное внимание было сосредоточено на процессах c высоким уровнем турбулентных флуктуаций, что позволяло анализировать формирование турбулентного спектра в частотном диапазоне до 100 Гц [8, 9, 20 и др.] при анализе измерений в быстром режиме (англ. burst mode) с разрешением до 8000 с−1. Данные с таким разрешением записываются и анализируются отдельно для каждого выделяемого события, и их трудно использовать для статистического анализа. Однако такой анализ можно проводить для большого массива постоянно записываемых данных с временным разрешением для магнитного поля до 16 с−1 и электрического поля до 32 с−1. Принимая во внимание, что к основным вопросам турбулентности в хвосте магнитосферы Земли относится проблема существования квазиравновесной конфигурации турбулентного хвоста в спокойных условиях [2, 15], такие исследования представляют несомненный интерес. Необходимо также отметить, что статистические исследования спектров турбулентности в хвосте магнитосферы Земли c использованием трех компонент измеряемого электрического поля ранее не проводились.
Цель настоящей работы заключается в изучении характеристик спектров турбулентных флуктуаций электрического и магнитного поля по данным MMS в областях, где скорость движения плазмы не превышает 100 км/с, и их зависимостей от усредненных амплитуд турбулентных флуктуаций.
ИСПОЛЬЗУЕМЫЕ ДАННЫЕ И МЕТОДИКА АНАЛИЗА
Для анализа использовались данные измерений комплекса аппаратуры FIELDS миссии MMS [22]: электрического поля EDP/DCE [13] с временным разрешением 32 с−1 и магнитного поля FGM [14] с временным разрешением 16 с−1. Быстрая мода с разрешением до 8000 с−1 в нашем исследовании не использовалась. Локализация спутников внутри плазменного слоя фиксировалась по концентрации и температуре ионов плазмы, определяемым по данным приборов FPI/DIS [17]. Для выделения промежутков времени, когда космический аппарат находился внутри плазменного слоя, использовался критерий из работы [19] – координаты аппарата в системе GSM (англ. Geocentric Solar-Magnetosphere) удовлетворяют условиям: X < –6RE, |Y| < |X|, |Z| < 8RE, концентрация ионов плазмы ni > 0.1 см−3, температура ионов Ti > 0.5 кэВ, плазменный параметр β > 1. Использование критерия β > 1 выделяет области, заполненные горячей магнитосферной плазмой, в которых наблюдается значительное искажение магнитных силовых линий по сравнению с полем земного диполя. В рассмотренный диапазон входят части области кольцевого тока на геоцентрических расстояниях от 6 до ~(10–13) RE, где крупномасштабные поперечные токи замыкаются внутри магнитосферы, и области токов хвоста, в которых крупномасштабные токи замыкаются токами магнитопаузы.
Все параметры усреднялись по 6-минутным интервалам времени. За 2017–2022 гг. было выделено 29 тыс. 6-минутных интервалов, когда в плазменном слое находился и передавал данные хотя бы один аппарат миссии MMS. Для предварительного анализа спектров было выбрано несколько трехчасовых интервалов непрерывного нахождения MMS в плазменном слое и методом Уэлча с использованием библиотеки SciPy получена спектральная плотность мощности (СПМ) флуктуаций компонент электрического поля в диапазоне частот от 6 мГц до 16 Гц и магнитного поля в диапазоне частот от 6 мГц до 8 Гц.
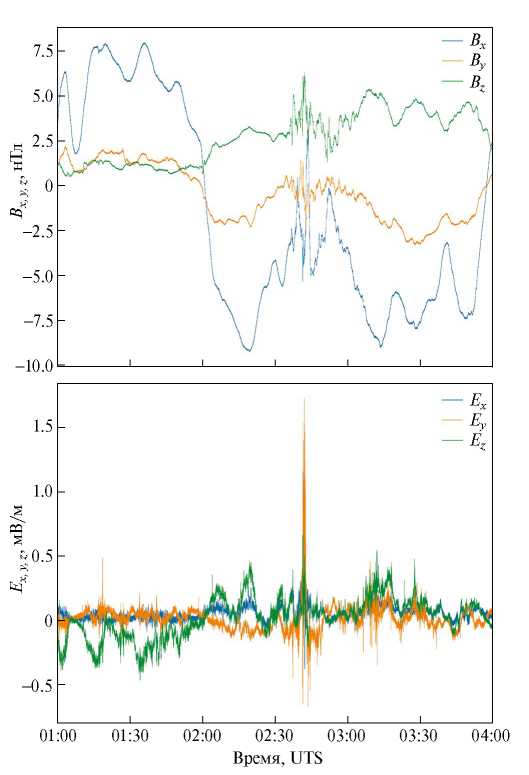
На рис. 1 показан пример анализа типичного интервала 14.VI.2017 в 01:00–04:00 UT. Во время измерений координаты спутников в системе координат GSM были: X = –(22.6– 22.1) RE, Y = –(7.6– 7.1) RE, Z = (2.3– 3.4) RE. На рис. 1а показаны параметры солнечного ветра, межпланетного магнитного поля и геомагнитные индексы для данного события согласно базе данных OMNI c минутным разрешением: скорость солнечного ветра была в пределах vSW = 471– 505 км/с, плотность nSW = 2.6– 3.9 см−3, давление pSW = 1.2– 1.8 нПа; компоненты межпланетного магнитного поля: ВxIMF = –(3.9–2.1) нТл, ВyIMF = –(1.6–3.1) нТл, ВzIMF = 3.5–2.7 нТл; геомагнитные условия были спокойными: Kp = 0–1–, SYM-H = –(9–6) нТл, AL = –(31–17) нТл.
Рис. 1а. Параметры ММП и солнечного ветра, геомагнитной активности для интервала 14.VI.2017 в 01:00–04:00 UT по одноминутным данным OMNI. Фоном отмечен анализируемый интервал времени.
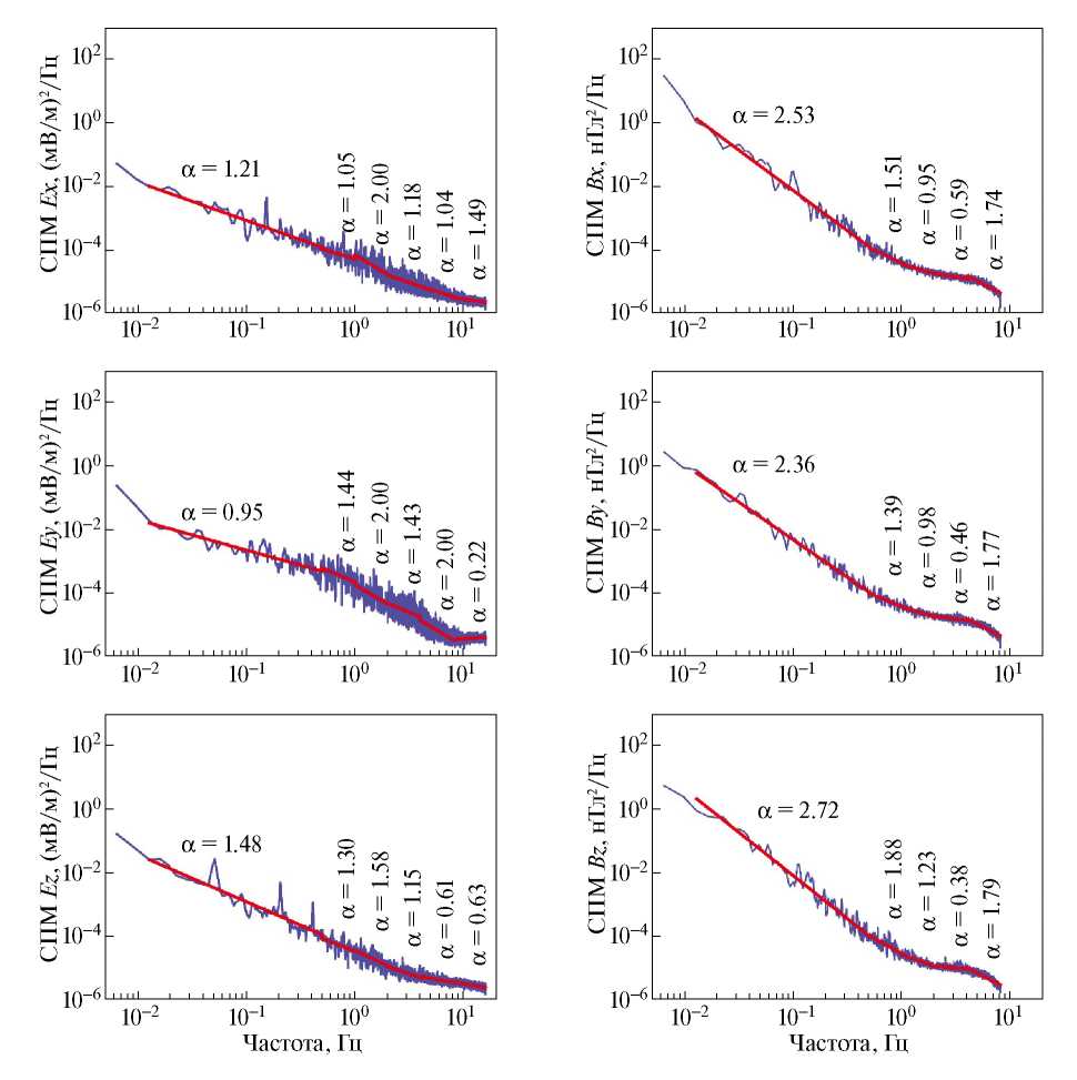
На рис. 1б показаны флуктуации компонент магнитного и электрического поля со спутника MMS-1. Результаты измерений на других спутниках миссии MMS в данном случае практически не отличались. Из рис. 1б следует, что амплитуда флуктуаций электрического поля во время исследованного интервала колебалась в интервале от 0.5 до –0.6 мВ/м, исключая всплеск электрического поля до 1.7 мВ/м в области, где происходило кратковременное изменение знака Bz-компоненты магнитного поля. На рис. 2 показана спектральная плотность мощности флуктуаций компонент магнитного и электрического поля (Ex, Ey, Ez – левая колонка, Bx, By, Bz – правая колонка) в зависимости от частоты и их степенная аппроксимация с показателем спектра α. Показаны значения полученных показателей спектров. Прежде всего необходимо отметить, что наклоны спектров значительно различаются для электрического и магнитного поля, что свидетельствует, в соответствии с работой [8], о значительном вкладе электростатических флуктуаций. Показатели спектров различаются для компонент поля, но такие различия незначительны. На частотах, приближающихся к концу анализируемого интервала, наблюдается резкое уменьшение показателя спектра. Наблюдаемое выполаживание спектра (англ. roll-off в соответствии с исследованием [10]) в данном случае не является физическим эффектом. Эффект выполаживания спектра возникает в процессе фильтрации регистрируемого сигнала при уменьшении отношения сигнал/шум. Для проверки данного утверждения рассмотрим другой входящий в число отобранных по указанным выше критериям интервал, во время которого наблюдались амплитуды флуктуаций электрического поля, существенно превышающие амплитуды во время события 14.VI.2017.
Рис. 1б. Флуктуации магнитного (Bx, By, Bz) и электрического (Ex, Ey, Ez) поля в интервале 14.VI.2017 в 01:00–04:00 UT по данным с MMS-1.
Рис. 2. Примеры спектров флуктуаций компонент электрического и магнитного поля при низком уровне флуктуаций (событие 14.VI.2017 в 01:00–04:00 UT). По горизонтальной оси – частота, по вертикальной – спектральная плотность мощности.
На рис. 3а, б аналогично рис. 1а, б приведены параметры межпланетного магнитного поля, солнечного ветра, геомагнитной активности и флуктуации магнитного и электрического поля для более активного интервала 15.VII.2018 в 11:00–14:00 UT. Во время измерений координаты спутников в системе координат GSM были: X = –(22.4–21.5) RE, Y = (1.8–2.7) RE, Z = (6.7– 7.3) RE. Параметры солнечного ветра, межпланетного магнитного поля и геомагнитные индексы для данного события по данным OMNI c минутным разрешением: скорость солнечного ветра была в пределах vSW = 370–360 км/с, плотность в пределах nSW = 2.4–3.3 см−3, давление pSW = 0.64–0.86 нПа; компоненты межпланетного магнитного поля: ВxIMF = –(2.6– 2) нТл, ВyIMF = (1.9–2.9) нТл, ВzIMF = –(2.2–1.2) нТл; геомагнитные условия также были спокойными: Kp = 0–1–, SYM-H = –(8–2) нТл, AL = –(79–8) нТл.
Рис. 3а. Параметры ММП и солнечного ветра, геомагнитной активности для интервала 15.VII.2018 в 11:00–14:00 по одноминутным данным OMNI. Фоном отмечен анализируемый интервал времени.
Рис. 3б. Флуктуации магнитного (Bx, By, Bz) и электрического (Ex, Ey, Ez) поля в интервале 15.VII.2018 в 11:00–14:00 по данным с MMS-1.
В данном событии амплитуда флуктуаций электрического поля превышала 10 мВ/м. На рис. 4 показаны спектры флуктуаций компонент электрического и магнитного поля при повышенном уровне флуктуаций в спокойных гео- магнитных условиях. Сравнение рис. 2б и 4б показывает, что повышение уровня флуктуаций приводит к подъему спектра и исчезновению выполаживания спектра в верхней части частотного диапазона. Необходимо отметить, что исследования событий с разрешением до 8000 с−1 (burst mode) в работах [8, 9, 20 и др.] показывали возникновение выполаживания спектра только в конце исследуемого диапазона, что подтверждает утверждение о роли шумов в изменениях наклонов спектров при интерпретациях выполаживаний в наклонах спектров.
Рис. 4. Примеры спектров флуктуаций компонент электрического и магнитного поля при повышенном уровне флуктуаций в спокойных геомагнитных условиях (событие 15.VII.2018 в 11:00–14:00).
СТАТИСТИЧЕСКИЙ АНАЛИЗ
Для статистического исследования спектров флуктуаций были взяты все 12-минутные интервалы нахождения MMS в плазменном слое, полученные попарным объединением идущих подряд 6-минутных интервалов. Данные с каждого из четырех спутников обрабатывались независимо. Методом наименьших квадратов построены аппроксимации зависимости спектральной плотности мощности от частоты степенными функциями СПМ(E) ~f –α в диапазонах частот 0.014– 0.5, 0.5–1, 1–2, 2–4, 4–8, 8–16 Гц, СПМ(B) ~f –α в диапазонах частот f = 0.014–0.5, 0.5–1, 1–2, 2–4, 4–8 Гц. Кроме того, для каждого 12-минутного интервала вычислены среднеквадратичные значения флуктуаций компонент электрического и магнитного поля Erms и Brms. Всего получены спектральные индексы и среднеквадратичные значения электрического и магнитного поля для 113 983 интервалов. На данном этапе исследования из рассмотрения были исключены интервалы, когда усредненная гидродинамическая скорость превышала 100 км/с (таких интервалов оказалось 10 569, что соответствует ~10% массива данных). Во всех рассмотренных интервалах средняя скорость плазмы была мала по сравнению со звуковой и альвеновской, т. е. области быстрых течений (BBF) не рассматривались. Таким образом, для статистического анализа использовались 103 414 интервалов.
Анализ рис. 2 и 4 выявил возможность существования зависимости показателей спектров от уровня магнитных флуктуаций. Для проверки данного предположения были построены зависимости усредненных показателей спектра от усредненных уровней компонент электрического поля и магнитного поля. На рис. 5, 6 показаны двумерные гистограммы спектральных индексов для х-компонент электрического и магнитного поля в зависимости от усредненных по интервалу компонент электрического и магнитного поля. Двумерные гистограммы для других компонент и перекрестные гистограммы содержатся в дополнительном материале. Каждая точка соответствует одному 12-минутному интервалу. Уровень разброса точек характеризует разброс полученных значений. Как указано выше, близкие к нулю значения показателей спектра не имеют физического значения и соответствуют уровню флуктуаций, не превышающему уровня шумов приборов. В ряде случаев наблюдается тенденция уменьшения наклона спектра с ростом уровня флуктуаций.
Рис. 5. Двумерные гистограммы зависимости спектральных индексов x-компоненты электрического поля от уровня флуктуаций компонент электрического поля. Цветом показано количество случаев.
Рис. 6. Двумерные гистограммы зависимости спектральных индексов x-компоненты магнитного поля от уровня флуктуаций компонент магнитного поля. Цветом показано количество случаев.
ОБСУЖДЕНИЕ
Турбулентность плазменного слоя в хвосте магнитосферы Земли давно регистрируется различными космическими аппаратами, но изучение флуктуаций всех трех компонент электрического поля в широком частотном диапазоне стало возможным только в процессе реализации миссии MMS. Амплитуды генерируемых в магнитосфере крупномасштабных электрических полей магнитосферной конвекции на исследуемых геоцентрических расстояниях невелики – ~0.1 мВ/м. В работе [8] при анализе в burst mode был зарегистрирован всплеск электрического поля в 250 мВ/м и амплитуды флуктуаций электростатической компоненты поля в 50 мВ/м. В описанном выше спокойном интервале 14.VI.2017 наблюдались амплитуды флуктуаций, от 5 до 17 раз превышающие поле утро – вечер, а в событии 15.VII.2018 амплитуды флуктуаций поля на два порядка превышали крупномасштабное поле конвекции утро – вечер. Отсюда следует, что наблюдаемый уровень флуктуаций электрического поля требует модификации традиционных представлений о роли различных процессов, связанных с существованием электрических полей в системе отсчета плазменного слоя.
На приведенных на рис. 2 и 4 спектрах наблюдаются степенные участки на частотах ниже 0.5 Гц. Показатели наклона спектров электрического поля значительно отличаются от показателей наклона магнитного поля. При этом различия между спектрами x-, y- и z-компонент незначительны.
Приведенное исследование подтверждает полученные ранее выводы о формах спектров флуктуаций магнитного поля в плазменном слое магнитосферы Земли и дает новую информацию по флуктуациям электрического поля. Наклон спектра флуктуаций магнитного поля близок к значениям, полученным ранее, – α ~ 2.5 [11, 27]. Показатели спектра флуктуаций электрического поля в анализируемом частотном диапазоне близки к значениям, полученным при изучении отдельных событий в burst mode в работах [8, 20]. Показатели спектров либо остаются постоянными с увеличением уровня флуктуаций, либо наблюдается тенденция к уменьшению показателя спектра в данном частотном диапазоне с ростом уровня флуктуаций. Однако полученные статистические результаты свидетельствуют о большом разбросе реальных наклонов спектров.
Настоящее исследование было ограничено областью (X < –6 RE, |Y| < |X|, |Z| < 8 RE), в которой ранее в работе [19] по данным миссии THEMIS проводился анализ флуктуаций скорости плазмы и определялись коэффициенты вихревой диффузии при ограничениях на концентрацию и температуру ионов плазмы – ni > 0.1 см−3, Ti > 0.5 кэВ, на плазменный параметр – β > 1. Ограничение β > 1 позволяло выделить область центрального плазменного слоя, где плотность энергии плазмы превышает плотность энергии магнитного поля и при отсутствии столкновений развиваются различные плазменные неустойчивости. Ограничение на скорость движения плазмы (< 100 км/с) дало возможность исключить области с повышенным уровнем флуктуаций электрического и магнитного поля, характерных для BBF, и убедиться в том, что регистрируемый MMS высокий уровень флуктуаций электрического и магнитного поля характерен для всех исследованных временных интервалов.
Наблюдаемые степенные формы спектров свидетельствуют о действии нелинейных процессов, приводящих к перекачке энергии по спектру турбулентности, характерных при формировании трехмерных турбулентных каскадов (перекачки энергии от больших масштабов к меньшим). В рассматриваемый в данной работе диапазон частот попадают ионно-циклотронная fci ~ 0.1 Гц и нижнегибридная flh ~ 10 Гц частота. Все остальные характерные частоты плазмы существенно выше исследуемого диапазона. Для выделения генерации определенной моды в турбулентной плазме (см., например, обзор [18]) должен быть достаточно надежно выделен пик (англ. bump) на спектре. Отсутствие четко выделяемых пиков в нашем исследовании не позволяет отчетливо выделять генерацию отдельных мод. Такое выделение для конкретных случаев становится важной частью исследований различных групп и входит в число приоритетных направлений изучения плазменных процессов в хвосте магнитосферы Земли. При этом определение усредненных характеристик флуктуаций представляется важной составной частью анализа крупномасштабной магнитосферной динамики. Поэтому необходимо в дальнейшем продолжить исследования флуктуаций спектров в спокойных геомагнитных условиях, особенно в связи с решением проблем формирования плазменного слоя и его устойчивости в зависимости от ориентации ММП и геомагнитной активности, так как, например, при длительной северной ориентации ММП происходит разрушение плазменного слоя, заполнение плазмой плазменного слоя долей хвоста (см. ссылки в обзорах [2, 15]), а в полярной шапке наблюдаются авроральные структуры (дуги в шапке и тета-аврора).
ВЫВОДЫ
Проведенное исследование позволило получить ряд статистических результатов в спокойных условиях вне областей ускоренных потоков плазмы типа BBF.
- В центральном плазменном слое при значениях плазменного параметра β > 1 постоянно наблюдаются флуктуации электрического и магнитного поля.
- Амплитуды флуктуаций электрического поля значительно (как правило, на 1–2 порядка) превышают значения крупномасштабных полей конвекции.
- Спектры флуктуаций электрического и магнитного поля в центральном плазменном слое при низком уровне флуктуаций имеют степенной характер на частотах ниже 0.5 Гц (что в разы выше ионной гирочастоты, но на порядок ниже всех остальных характерных частот плазмы).
- Показатели наклонов спектров электрического и магнитного поля на частотах ниже 0.5 Гц существенно различаются: αE = 1.3 ± 0.4; αB = 2.4 ± 0.4.
- Показатели наклонов спектров практически не изменяются при увеличении уровня флуктуаций.
Полученные статистические зависимости и выявленные закономерности можно использовать при моделировании процессов в центральном плазменном слое магнитосферы Земли в спокойных условиях.
Авторы благодарны коллективу проекта MMS за возможность использования данных, а также создателям базы данных OMNI (https://omniweb.gsfc.nasa.gov/).
ФИНАНСИРОВАНИЕ РАБОТЫ
Исследование выполнено за счет гранта Российского научного фонда № 23-22-00076 (https://rscf.ru/project/23-22-00076/).
Приложение 1
Дополнительный материал суммирует все зависимости спектральных индексов X, Y, Z компонент электрического и магнитного поля от уровня флуктуаций компонент электрического и магнитного полей. Цветом показано количество случаев.
Рис. 1, П1. Двумерные гистограммы зависимости спектральных индексов x-компоненты электрического поля от уровня флуктуаций компонент электрического поля. Цветом показано количество случаев.
Рис. 2, П1. Двумерные гистограммы зависимости спектральных индексов y-компоненты электрического поля от уровня флуктуаций компонент электрического поля. Цветом показано количество случаев.
Рис. 3, П1. Двумерные гистограммы зависимости спектральных индексов z-компоненты электрического поля от уровня флуктуаций компонент электрического поля. Цветом показано количество случаев.
Рис. 4, П1. Двумерные гистограммы зависимости спектральных индексов x-компоненты электрического поля от уровня флуктуаций компонент магнитного поля. Цветом показано количество случаев.
Рис. 5, П1. Двумерные гистограммы зависимости спектральных индексов y-компоненты электрического поля от уровня флуктуаций компонент магнитного поля. Цветом показано количество случаев.
Рис. 6, П1. Двумерные гистограммы зависимости спектральных индексов z-компоненты электрического поля от уровня флуктуаций компонент магнитного поля. Цветом показано количество случаев.
Рис. 7, П1. Двумерные гистограммы зависимости спектральных индексов x-компоненты магнитного поля от уровня флуктуаций компонент электрического поля. Цветом показано количество случаев.
Рис. 8, П1. Двумерные гистограммы зависимости спектральных индексов y-компоненты магнитного поля от уровня флуктуаций компонент электрического поля. Цветом показано количество случаев.
Рис. 9, П1. Двумерные гистограммы зависимости спектральных индексов z-компоненты магнитного поля от уровня флуктуаций компонент электрического поля. Цветом показано количество случаев.
Рис. 10, П1. Двумерные гистограммы зависимости спектральных индексов x-компоненты магнитного поля от уровня флуктуаций компонент магнитного поля. Цветом показано количество случаев.
Рис. 11, П1. Двумерные гистограммы зависимости спектральных индексов y-компоненты магнитного поля от уровня флуктуаций компонент магнитного поля. Цветом показано количество случаев.
Рис. 12, П1. Двумерные гистограммы зависимости спектральных индексов z-компоненты магнитного поля от уровня флуктуаций компонент магнитного поля. Цветом показано количество случаев.
About the authors
И. Л. Овчинников
Научно-исследовательский институт ядерной физики им. Д. В. Скобельцына Московского государственного университета имени М. В. Ломоносова
Author for correspondence.
Email: ilya@psn.ru
Russian Federation, Москва
Д. Ю. Найко
Научно-исследовательский институт ядерной физики им. Д. В. Скобельцына Московского государственного университета имени М. В. Ломоносова; Московский государственный университет имени М. В. Ломоносова
Email: ilya@psn.ru
Russian Federation, Москва; Москва
Е. Е. Антонова
Научно-исследовательский институт ядерной физики им. Д. В. Скобельцына Московского государственного университета имени М. В. Ломоносова; Институт космических исследований РАН
Email: ilya@psn.ru
Russian Federation, Москва; Москва
References
- Angelopoulos V., Mukai T., Kokubun S. Evidence for intermittency in Earth’s plasma sheet and implications for self-organized criticality // Physics of Plasmas. 1999. V. 6. P. 4161–4168. https://doi.org/10.1063/1.873681
- Antonova E. E., Stepanova M. V. The impact of turbulence on physics of the geomagnetic tail // Frontiers in Astronomy and Space Sciences. 2021. V. 8. Art. ID. 622570. https://doi.org/10.3389/fspas.2021.622570
- Baker D. N., Riesberg L., Pankratz C. K. et al. Magnetospheric Multiscale Instrument Suite Operations and Data System // Space Science Reviews. 2016. V. 199. P. 545–575. https://doi.org/10.1007/s11214-014-0128-5
- Borovsky J. E., Elphic R. C., Funsten H. O. et al. The Earth’s plasma sheet as a laboratory for flow turbulence in high-β MHD // J. Plasma Physics. 1997. V. 57. Iss. 1. P. 1–34. https://doi.org/10.1017/S0022377896005259
- Borovsky J. E., Funsten H. O. MHD turbulence in the Earths plasma sheet: Dynamics, dissipation, and driving // J. Geophysical Research. 2003. V. 108. Iss. A7. Art. ID. 1284. https://doi.org/10.1029/2002JA009625
- Burch J. L., Moore T. E., Torbert R. B. et al. Magnetospheric Multiscale overview and science objectives // Space Sci. Rev. 2016. V. 199. P. 5–21. https://doi.org/10.1007/s11214-015-0164-9
- Chasapis A., Matthaeus W. H., Parashar T. N. et al. High-resolution statistics of solar wind turbulence at kine-tic scales using the Magnetospheric Multiscale Mission // The Astrophysical J. Letters. 2017. V. 844. Iss. 1. Art. ID. L9. https://doi.org/10.3847/2041-8213/aa7ddd
- Ergun R. E., Goodrich K. A., Wilder F. D. et al. Magnetic reconnection, turbulence, and particle acceleration: Observations in the Earth’s magnetotail // Geophysical Research Letters. 2018. V. 45. Iss. 8. P. 3338–3347. https://doi.org/10.1002/2018GL076993
- Ergun R. E., Usanova M. E., Turner D. L. et al. Bursty bulk flow turbulence as a source of energetic particles to the outer radiation belt // Geophysical Research. Letters. 2022. V. 49. Iss. 11. Art. ID. e2022GL098113. https://doi.org/10.1029/2022GL098113
- Eastwood J. P., Phan T. D., Bale S. D. et al. Observations of turbulence generated by magnetic reconnection // Physical Review Letters. 2009. V. 102. Iss. 03. Art. ID. 035001. https://doi.org/10.1103/PhysRevLett.102.035001
- Echim M., Chang T., Kovacs P. Turbulence and complexity of magnetospheric plasmas // Magnetospheres in the Solar System. 1st ed. / ed. R. Maggiolo, N. André, H. Hasegawa, D. T. Welling. John Wiley and Sons, Inc., 2021. Ch. 5. P. 67–91. https://doi.org/10.1002/9781119815624.ch5
- Khabarova O. V., Malandraki O., Malova H. et al. Current sheets, plasmoids and flux ropes in the heliosphere. Pt. 1. General and observational aspects: 2-d or not 2-d? // Space Science Reviews. 2021. V. 217. Art. ID. 38. https://doi.org/10.1007/s11214-021-00814-x
- Khotyaintsev Y., Lindqvist P.-A., Nilsson T. Spin-plane Double Probe instrument/Axial Double Probe instrument (SDP/ADP) Data Products Guide. 2017. https://lasp.colorado.edu/mms/sdc/public/datasets/fields/EDP_Data_Products_Guide_v1.3.pdf
- Leinweber H. K., Bromund K. R., Strangeway R. J. The MMS Fluxgate Magnetometers Science Data Products Guide. 2016. https://lasp.colorado.edu/mms/sdc/public/datasets/fields/FGM_DataProductsGuide2016Apr20.pdf
- Овчинников И. Л., Антонова Е. Е. Турбулентный транспорт магнитосферы Земли: обзор результатов наблюдений и моделирования // Геомагнетизм и аэрономия. 2017. Т. 57. № 6. С. 706–714. http://dx.doi.org/10.7868/S0016794017060086 (Ovchinnikov I. L., Antonova E. E. Turbulent transport of the Earth magnitosphere: Review of the results of observations and modeling // Geomagnetism and Aeronomy. 2017. V. 57. Iss.6. P. 655–663. https://doi.org/10.1134/S0016793217060081).
- Petrukovich A. A., Malakhov D. V. Variability of magnetic field spectra in the Earth’s magnetotail // Nonlinear Process in Geophysics. 2009. V. 16. P. 691–698. https://doi.org/10.5194/npg-16–691–2009
- Pollock C., Moore T., Jacques A. et al. Fast Plasma Investigation for Magnetospheric Multiscale // Space Science Reviews. 2016. V. 199. P. 331–406. https://doi.org/10.1007/s11214-016-0245-4
- Rakhmanova L., Riazantseva M., Zastenker G. Plasma and Magnetic Field Turbulence in the Earth’s Magnetosheath at Ion Scales // Frontiers in Astronomy and Space Sciences. 2021. V. 7. Art. ID. 616635. https://doi.org/10.3389/fspas.2020.616635
- Stepanova M., Pinto V., Valdivia J. A. et al. Spatial distribution of the eddy diffusion coefficients in the plasma sheet during quiet time and substorms from THEMIS satellite data // J. Geophysical Research. 2011. V. 116. Iss. A5. Art. ID. A00I24. https://doi.org/10.1029/2010JA015887
- Stawarz J. E., Matteini L., Parashar T. N. et al. Comparative analysis of the various generalized Ohm’s law terms in magnetosheath turbulence as observed by Magnetospheric Multiscale // J. Geophysical Research: Space Physics. 2021. V. 126. Iss. 1. Art. ID. e2020JA028447. https://doi.org/10.1029/2020JA028447
- Taylor G. I. The spectrum of turbulence // Proc. Royal Society of London. Series A, Mathematical and Physical Sciences. 1938. V. 164. P. 476–490. https://doi.org/10.1098/rspa.1938.0032
- Torbert R. B., Russell C. T., Magnes W. et al. The FIELDS Instrument Suite on MMS: Scientific Objectives, Measurements, and Data Products // Space Science Reviews. 2016. V. 199. P. 105–135. https://doi.org/10.1007/s11214-014-0109-8
- Vörös Z., Baumjohann W., Nakamura R. et al. Magnetic turbulence in the plasma sheet // J. Geophysical Research. 2004. V. 109. Iss. A11. Art. ID. 11215. https://doi.org/10.1029/2004JA010404
- Vörös Z., Baumjohann W., Nakamura R. et al. Bursty bulk flow driven turbulence in the Earth’s plasma sheet // Space Science Reviews. 2006. V. 122. P. 301– 311. https://doi.org/10.1007/s11214-006-6987-7
- Weygant J. M., Kivelson M. G., Khuranaet K. K. et al. Plasma sheet turbulence observed by Cluster II // J. Geophysical Research. 2005. V. 110. Iss. A1. Art. ID. A01205. https://doi.org/10.1029/2004JA010581
- Yordanova E., Vörös Z., Varsani A. et al. Electron scale structures and magnetic reconnection signatures in the turbulent magnetosheath // Geophysical Research Letters. 2016. V. 43. Iss. 12. P. 5969–5978. https://doi.org/10.1002/2016GL069191
- Zelenyi L., Artemyev A., Petrukovich A. Properties of Magnetic Field Fluctuations in the Earth’s Magnetotail and Implications for the General Problem of Structure Formation in Hot Plasmas // Space Science Reviews. 2015. V. 188. P. 287–310. https://doi.org/10.1007/s11214-014-0037-7
Supplementary files






















