Bulk condensation at intensive evaporation from interfacial surface
- Authors: Kortsenshteyn N.M.1,2, Petrov L.V.2,3, Rudov A.V.4, Yastrebov A.K.2,4
-
Affiliations:
- Объединенный институт высоких температур РАН
- Научно-исследовательский институт механики Московского государственного университета им. М. В. Ломоносова
- Национальный исследовательский центр «Курчатовский институт»
- Национальный исследовательский университет «МЭИ»
- Issue: Vol 86, No 6 (2024)
- Pages: 766-775
- Section: Articles
- Submitted: 20.02.2025
- Accepted: 20.02.2025
- Published: 15.11.2024
- URL: https://bakhtiniada.ru/0023-2912/article/view/280798
- DOI: https://doi.org/10.31857/S0023291224060091
- EDN: https://elibrary.ru/VLEQDA
- ID: 280798
Cite item
Full Text
Abstract
An iterative approach to analyzing the interaction between the processes of intensive evaporation and bulk condensation near the evaporation surface is proposed. This approach employs the results of the numerical solution of the Boltzmann kinetic equation for intensive evaporation from the interfacial surface to calculate the kinetics of the bulk condensation process near the evaporation surface. It is demonstrated that during the period of supersaturation predicted on the basis of the solution that does not consider condensation, the condensation aerosol has sufficient time to form. The results indicate that the formation of droplets near the evaporation surface and the thermal effect of condensation on the vapor parameters should be incorporated into the analysis of intense evaporation from the interfacial surface.
Full Text
ВВЕДЕНИЕ
При численном анализе интенсивного испарения с поверхности конденсированной фазы было показано [1], что пар, движущийся от межфазной границы, является пересыщенным. При этом степень пересыщения (отношение давления пара к давлению насыщения при его температуре) растет с увеличением потока массы и при определенной интенсивности процесса может достигать таких значений, при которых становится возможной объемная конденсация в паре. В монографии [2] говорится об экспериментальном наблюдении пересыщения пара, образовавшегося в результате испарения металлической капли под воздействием лазерного излучения. Авторы экспериментальных исследований температурного профиля испаряющейся жидкости [3–5], а также работ [6–9], посвященных расчетному анализу испарения с межфазной поверхности, отмечают инверсный температурный профиль на границе испаряющейся жидкости и пара. Следовательно, актуальной задачей является исследование взаимодействия процессов интенсивного испарения и объемной конденсация пара вблизи межфазной поверхности. При численном исследовании учет влияния объемной конденсации на испарение может быть произведен, в частности, двумя путями: 1) включением процесса объемной конденсации в схему решения кинетического уравнения Больцмана (КУБ) методом расщепления по физическим процессам [10] – разработка этого направления начата в работе [11]; 2) итерационным путем, который реализован в данной работе. При этом нулевой итерацией являются результаты решения задачи об интенсивном испарении с межфазной поверхности без учета конденсации. Результаты, полученные на нулевой итерации, далее используются для расчета процесса объемной конденсации на первой итерации. Вторая итерация предполагает решение кинетического уравнения Больцмана с учетом найденных параметров конденсационного аэрозоля и теплового эффекта объемной конденсации. Данная работа состоит из двух частей, которые соответствуют нулевой и первой итерациям. В отличие от [11], при описании кинетики объемной конденсации использовалось уравнение для функции распределения капель по размерам, а также учитывался тепловой эффект процесса конденсации на параметры пара и капель.
ИНТЕНСИВНОЕ ИСПАРЕНИЕ НА МЕЖФАЗНОЙ ПОВЕРХНОСТИ
Данная часть статьи соответствует нулевой итерации предлагаемого итерационного подхода, а именно решению задачи об интенсивном испарении с межфазной поверхности без учета объемной конденсации.
Рассматривалась следующая постановка задачи. Область, занятая паром, ограничена двумя бесконечными плоскими поверхностями, на которых возможны процессы испарения и конденсации. До начала рассматриваемого процесса температуры поверхностей одинаковы и равны заданной величине Тcold, пар находится в состоянии насыщения при этой температуре. В начальный момент времени температура «горячей» поверхности мгновенно увеличивается до заданного значения Тhot, и на этой поверхности начинается испарение. В дальнейшем температура поверхности поддерживается постоянной. Расчет прекращался после того, как вызванное испарением возмущение в паре доходит до «холодной» межфазной поверхности. В принятой постановке движение межфазных поверхностей и возможные отклонения их формы от плоскости не учитывались.
Схема задачи показана на рис. 1.
Рис. 1. Схема задачи об интенсивном испарении.
Анализ интенсивного испарения в существенно неравновесных условиях выполнен путем численного решения кинетического уравнения Больцмана (КУБ) в одномерной нестационарной постановке [12]:
. (1)
Здесь F – функция распределения молекул пара по скоростям, t – время, x – координата, ξx – проекция скорости молекулы на ось x, J – интеграл столкновений. В качестве граничных условий для КУБ задается функция распределения для молекул, движущихся от межфазной поверхности. В данной работе считается, что эти молекулы имеют распределение Максвелла с температурой соответствующей поверхности:
, (2)
. (3)
Здесь ns(T) – количество молекул насыщенного пара в единице объема при температуре Т, Rv = R/μv, R – универсальная газовая постоянная, μv – молярная масса пара.
При решении КУБ использовалась схема расщепления по физическим процессам КУБ [10], для расчета интеграла столкновений использовался консервативный метод [13]. Использование такого подхода позволило провести расчеты для большего количества вариантов исходных данных, так как численное решение уравнения Больцмана требует достаточно больших затрат времени даже при использовании современной вычислительной техники, при этом основные затраты времени связаны с расчетом пятикратного интеграла столкновений.
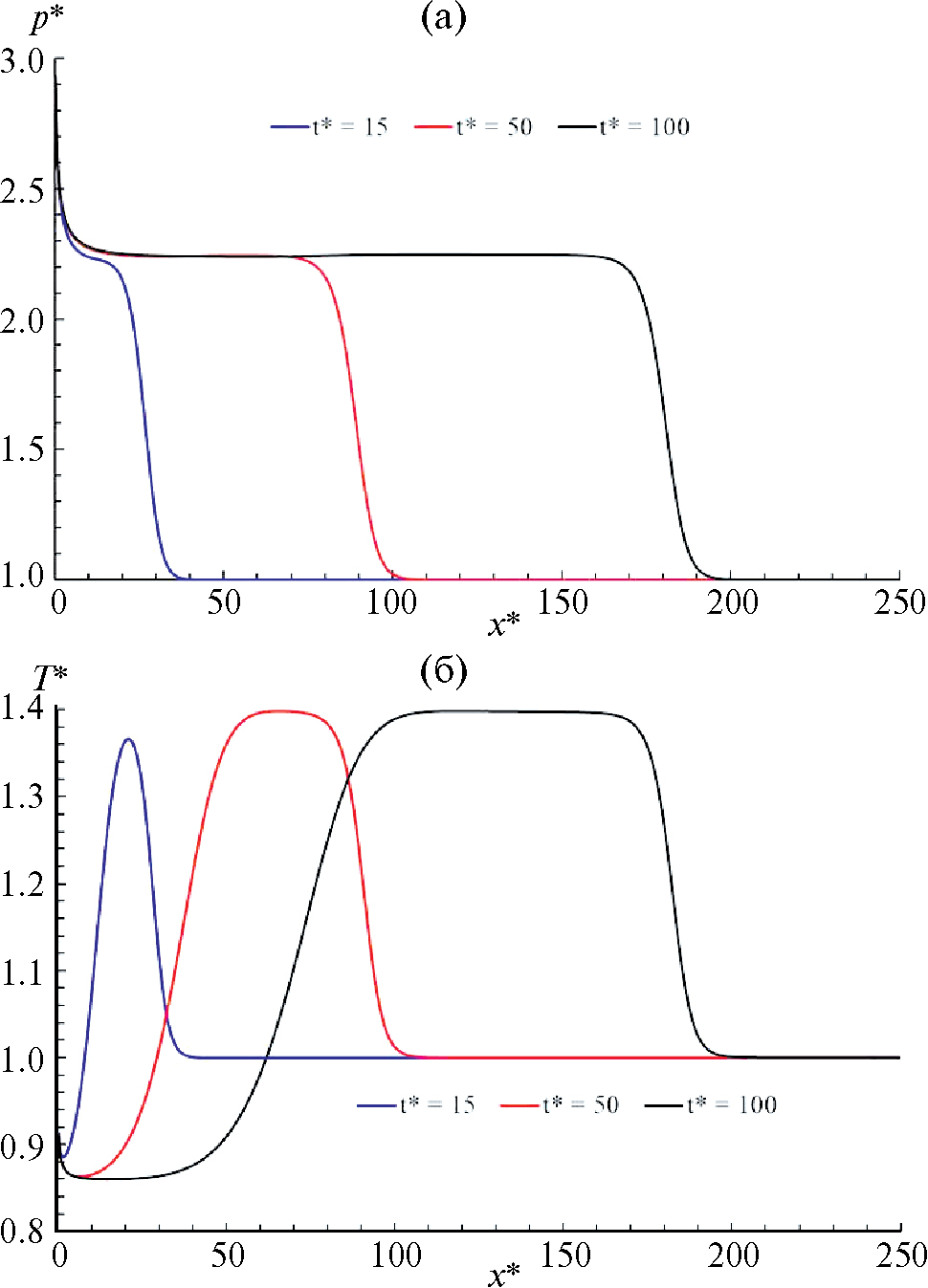
Расчеты проводились для воды, метанола, этанола, азота и аргона, отношение температур «горячей» и «холодной» поверхностей Тhot/Тcold варьировалось от 1.02 до 1.5. Следует отметить, что учет внутренних степеней свободы молекул существенно усложняет расчет интеграла столкновений в уравнении Больцмана, поэтому внутренние степени свободы не учитывались в расчетах, так что полученные результаты расчетов для всех веществ, кроме аргона, который является одноатомным газом, являются приближенными. Результаты расчетов для различных веществ и различных параметров расчета качественно не отличаются. В качестве примера на рис. 2 представлены результаты расчетов для воды при температурах «горячей» и «холодной» поверхности 300.465 К и 273.15 К соответственно. Показаны зависимости давления и температуры от координаты в различные моменты времени в безразмерном виде. Безразмерные параметры определяются следующим образом:
. (4)
Рис. 2. Зависимости давления и температуры от координаты в различные моменты времени.
Здесь – средняя длина свободного пробега молекул пара в состоянии насыщения при температуре «холодной» поверхности. Давление пара в области между «горячей» межфазной поверхностью и фронтом возмущения почти постоянно, за исключением слоя Кнудсена вблизи межфазной поверхности, безразмерная толщина которого близка к 10. Вблизи горячей поверхности температура понижается, что создает условия для пересыщения пара и его объемной конденсации.
Широкий диапазон исходных данных рассматривался для того, чтобы подтвердить или опровергнуть сделанный на основании первых расчетов вывод, что максимум степени пересыщения достаточно близок к отношению давлений насыщения при температурах Тhot и Тcold. Проведенные расчеты показали, что этот вывод является корректным только для некоторых веществ при малом значении Тhot/Тcold. Пример зависимости максимальной степени пересыщения и отношения давлений от величины Тhot/Тcold для аргона и азота показан на рис. 3.
Рис. 3. Зависимость максимальной степени пересыщения и отношения давлений насыщения при температурах поверхностей от отношения температур поверхностей.
В [14] для задачи о конденсации из полубесконечного пространства было выполнено сравнение результатов численного решения кинетического уравнения Больцмана со стационарным соотношением для потока массы при интенсивной дозвуковой конденсации [1]. Аналогичное сравнение для рассматриваемой задачи не представляется корректным. В нестационарной задаче о конденсации [14] в области между поверхностью раздела фаз и фронтом возмущения плотность, давление и температура пара (за исключением слоя Кнудсена) и поток массы постоянны. В нестационарной задаче об испарении, рассматривавшейся в настоящей работе, плотность пара и поток массы в области между «горячей» поверхностью и фронтом возмущения зависят от координаты, вследствие чего не ясно, какую плотность из численного решения надо подставлять в стационарное соотношение и с каким потоком массы из численного решения надо сравнивать расчетное значение. Представляется, что такое отличие задач об испарении и конденсации связано с тем, что интенсивное испарение является однопараметрической задачей: для определения потока массы и всех величин в газодинамической области необходимо задать лишь одну величину вдали от слоя Кнудсена, например, плотность пара, при этом интенсивная дозвуковая конденсация – двухпараметрическая задача, т. е. для расчета потока массы необходимо знать два параметра вдали от слоя Кнудсена [1].
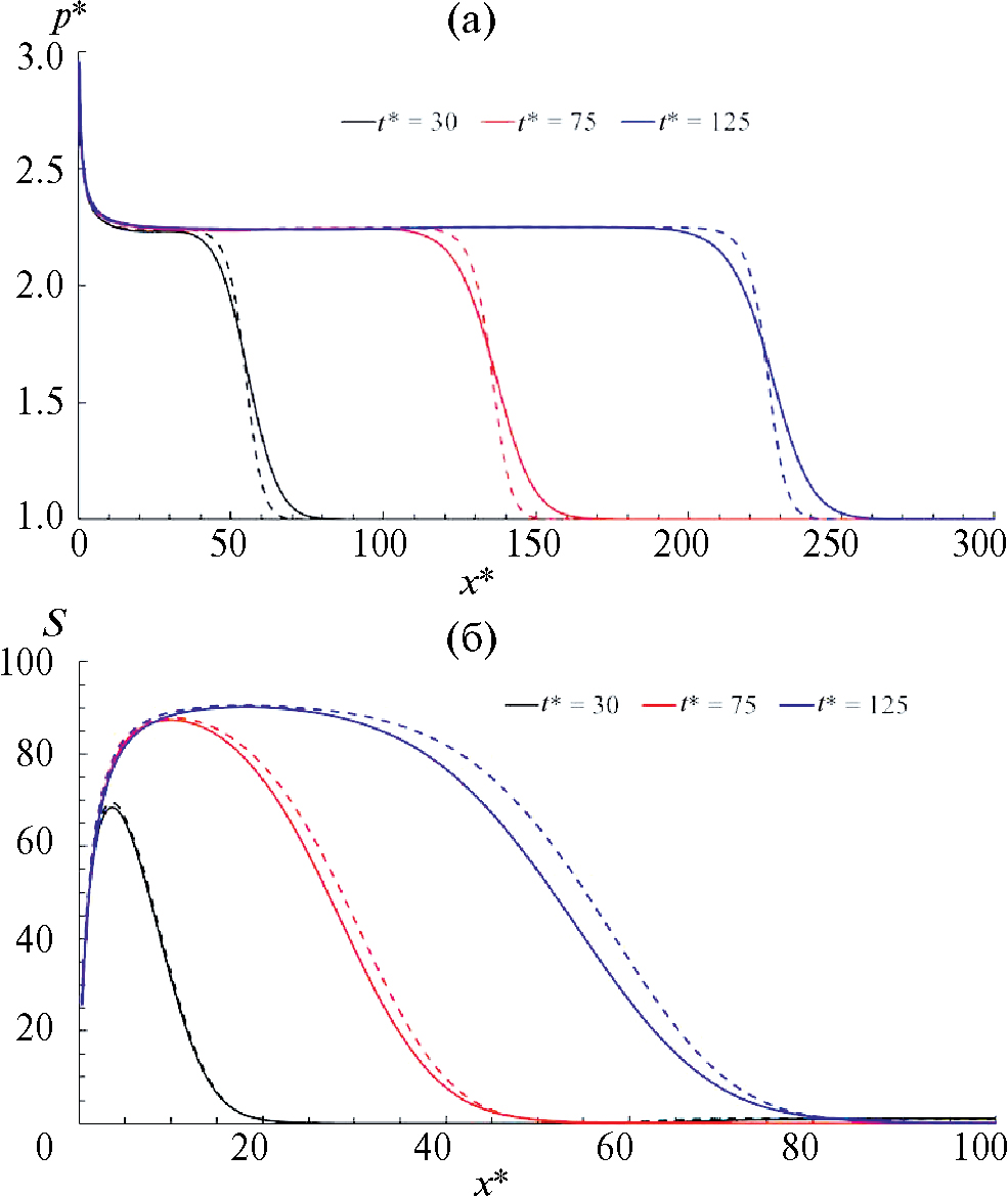
Как было отмечено выше, уравнение Больцмана решалось в безразмерном виде, при этом пространственный и временной масштабы при давлениях, близких к атмосферному, могут быть очень малы. Например, для воды при атмосферном давлении это и величины имеют порядок 10–8 м и 10–10 с соответственно. Тогда при числе Кнудсена 0.004 возмущение, вызванное повышением температуры «горячей» поверхности, доходит до «холодной» поверхности за время порядка 10–8 с. Число Кнудсена в данном случае определяется как отношение средней длины свободного пробега молекул насыщенного пара при температуре «холодной» поверхности к расстоянию между «горячей» и «холодной» поверхностями. Очевидно, что за такое время объемная конденсация не успеет произойти. Увеличение расстояния между поверхностями для увеличения рассматриваемого интервала времени приводит к резкому росту затрат времени для расчетов, которое растет примерно пропорционально квадрату расстояния. В связи с этим была рассмотрена возможность применения неравномерной сетки по координате, в которой используется мелкий шаг вблизи поверхности, на которой происходит испарение, и крупный – вдали от нее. Примеры сравнения результатов, полученных с использованием различных сеток, представлены на рис. 4. Показаны результаты для воды при начальной температуре 273.15 К, Тhot/Тcold = 1.1. Для равномерной сетки шаг по координате постоянен и равен 0.5, для неравномерной сетки первый шаг по координате равен 0.5, каждый следующий больше предыдущего на 5%, при этом увеличение шага прекращается, когда шаг становится больше 2. Видно, что переход к неравномерной сетке приводит к увеличению ширины фронта возмущения, однако давление пара в области между «горячей» поверхностью и фронтом не меняется. Область, в которой пар является достаточно пересыщенным, для неравномерной сетки несколько меньше. Таким образом, переход к неравномерной сетке позволяет получить корректные данные для оценки возможности объемной конденсации при меньших затратах времени или при большем расстоянии между поверхностями.
Рис. 4. Зависимости давления и степени пересыщения от координаты в различные моменты времени для воды при начальной температуре 273.15 К, Тhot/ Тcold = 1.1 (сплошные линии – неравномерная сетка, штриховые линии – равномерная сетка).
На рис. 5 показаны зависимости температуры и степени пересыщения от времени при x* = 5 для воды при различных начальных температурах и Тhot/ Тcold = 1.1. Видно, что с понижением начальной температуры степень пересыщения пара увеличивается. Вместе с очевидным выводом о росте степени пересыщения с увеличением значения Тhot/Тcold это позволяет сделать следующий вывод: для каждой начальной температуры существует минимальное значение Тhot/Тcold, которое обеспечивает пересыщение, достаточное для интенсивного образования зародышей.
Рис. 5. Зависимости температуры и степени пересыщения от времени при x* = 5 для воды при различных значениях начальной температуры и Тhot/ Тcold = 1.1.
Необходимые для проведения расчетов данные по температурной зависимости давления насыщенного пара определялись следующим образом. Для водяного пара использовались зависимости [15]
, (5)
. (6)
Здесь t – температура в градусах Цельсия, ps – давление насыщенного пара в Па. Для линии насыщения аргона и азота использовалось уравнение вида [16, 17]
. (7)
Размерность давления в (7) – бар = 105 Па. Для аргона [16] A = 3.29555, B = 215.24, C = –22.233; для азота [17] A = 3.7362, B = 264.651, C = –6.788
В заключение следует отметить, что результаты авторов (в частности, на рис. 2) качественно не отличаются от данных [11] (в частности, на рис. 3), полученных для задачи об испарении и конденсации при отсутствии центров конденсации в объеме пара.
ОБЪЕМНАЯ КОНДЕНСАЦИЯ ПЕРЕСЫЩЕННОГО ПАРА
Данная часть статьи соответствует первой итерации предлагаемого итерационного подхода, а именно расчету процесса объемной конденсации с использованием зависимостей температуры и давления пара от времени, полученных на нулевой итерации. Результаты решения задачи об интенсивном испарении на основе КУБ, представленные выше, были использованы для расчета кинетики объемной конденсации вблизи поверхности испарения. На основе анализа массива расчетных данных для водяного пара было выбрано расстояние вблизи поверхности испарения (5 длин свободного пробега молекул пара, что, например, соответствует 80 мкм при Tcold = 273.15 K), и для этого расстояния получены зависимости температуры и степени пересыщения от времени (рис. 5). Использование этих данных позволило также найти зависимость давления от времени в соответствии с определением степени пересыщения s:
. (8)
Здесь p – давление пара, – давление насыщения при температуре пара T. Следует отметить, что увеличение этого расстояния приводит только к сдвигу данных зависимостей по времени при отсутствии других количественных изменений, а на меньшем расстоянии от поверхности испарения пар еще нельзя считать сплошной средой. Для временного отрезка, соответствующего времени существования пересыщенного состояния пара, эти зависимости были аппроксимированы полиномами (для хорошей точности оказалось достаточно третьей степени) и в таком виде использованы в программе CONDKINET-1 [18] для численного решения системы моментных уравнений кинетики объемной конденсации. Описание процедуры представлено ниже.
Для вычисления концентрации и распределения по размерам образующихся микрокапель было использовано кинетическое уравнение для функции распределения капель по размерам. В случае гомогенной конденсации в пространственно однородной нестационарной задаче без учета коагуляции это уравнение имеет следующий вид [19]:
. (9)
Здесь f – функция распределения капель по размерам, нормированная на число капель в единице массы двухфазной смеси, ρ – плотность двухфазной смеси, r – радиус капли, – скорость роста капель, δ – дельта-функция, I – скорость нуклеации, определяющая число зародышей критического размера (радиуса) rcr,, образующихся в единицу времени в единице объема. Согласно формуле Гиббса-Томсона,
, (10)
где σ – коэффициент поверхностного натяжения, ρl – плотность жидкости (вещества капли), μv – молярная масса пара.
Скорость нуклеации вычислялась согласно классической теории нуклеации [20]:
, (11)
где α – коэффициент конденсации, NA– число Авогадро. Для воды было принято ρl = 1000 кг/м3, температурная зависимость σ учитывалась согласно выражению [21]
, (12)
где B = 235.8 мН/м, b = –0.625, τ =T/Tc, Tc = 647.096 K.
Предполагался свободномолекулярный режим взаимодействия капель с газовой фазой, поэтому скорость роста капель определялась по формуле Герца-Кнудсена [22]:
, (13)
где Rv = R/μv, Td – температура капель.
В общем случае моделирование процесса объемной конденсации должно включать и рассмотрение теплообмена образующихся капель с паром для определения их температуры. На данном этапе использовано однотемпературное приближение, предполагающее равенство температуры капель и пара. В этом случае, как показывает опыт расчетов [23], массовая доля образующихся капель максимальна по сравнению со случаем учета перегрева капель относительно пара. Однотемпературное приближение, таким образом, дает оценку сверху по тепловому эффекту процесса конденсации. В общем случае следует также учесть зависимость давления насыщенного пара над каплей от ее радиуса согласно формуле Томсона [19]:
. (14)
С учетом (14) скорость роста капель (13) зависит от их радиуса даже в свободномолекулярном режиме. Численное решение уравнения (9) в этом случае возможно провести методом, предложенным в работе [24]. Без учета зависимости (14) в свободномолекулярном режиме скорость роста капель не зависит от их радиуса, и для решения кинетического уравнения подойдет более простой в реализации моментный метод [19], который позволяет получить эквивалентную (6) систему уравнений для моментов функции распределения:
. (15)
Решение данной системы уравнений при i = 0–3 позволяет определить искомые параметры конденсационного аэрозоля: число капель в единице объема nd = ρΩ0, средний размер капель rd = Ω1 / Ω0, массовую долю конденсата gd = 4πρlΩ3 / 3. Сравнение результатов, полученных в [25] с учетом и без учета зависимости (14), показал, что отказ от учета (14) дает более низкие значения nd и близкие значения gd. На данном этапе использовалась система моментных уравнений (15) и замыкающие соотношения:
, (16)
, (17)
. (18)
Здесь и pBKE – производная от температуры и давление, рассчитанные по численному решению КУБ без учета объемной конденсации и аппроксимированные полиномами, – производная от температуры, учитывающая тепловыделение в процессе объемной конденсации, L – теплота испарения, cp – теплоемкость смеси пара и капель:
, (19)
где cpv и cl – теплоемкости пара и жидкости соответственно. Для воды было принято cl = 4200 Дж/ (кг∙К), cpv = 1920 Дж/(кг∙К). Зависимость теплоты парообразования от температуры учитывалась на основе линейной аппроксимации данных [21], в виде L = 3.167–0.002433T, МДж/кг.
Результаты численного решения системы уравнений (15) (первая итерация) представлены на рис. 6–11. Согласно рекомендациям [26] расчеты проводились при α = 1.
Рис. 6. Степень пересыщения водяного пара вблизи межфазной поверхности при интенсивном испарении. Пунктирные линии – решение КУБ без учета объемной конденсации, сплошные линии – с учетом. Черные линии – Тcold =273.15 К, синие линии – Тcold =293.15 К, красные линии – Тcold =313.15 К.
Рис. 7. Параметры конденсационного аэрозоля, образующегося вблизи межфазной поверхности при интенсивном испарении. Сплошные линии – массовая доля капель, штриховые линии – счетная концентрация капель. Цвета линий соответствуют подписи к рис. 6.
Рис. 8. Изменение температуры водяного пара вблизи межфазной поверхности при интенсивном испарении. Пунктирные линии – решение КУБ без учета объемной конденсации, сплошные линии – с учетом. Цвета линий соответствуют подписи к рис. 6.
Рис. 9. Влияние величины TG на изменение степени пересыщения при объемной конденсации водяного пара вблизи межфазной поверхности (х* = 5) при интенсивном испарении. Тcold =293.15 K.
Рис. 10. Влияние величины TG на изменение параметров конденсационного аэрозоля, образующегося вблизи межфазной поверхности при интенсивном испарении водяного пара. Тcold =293.15 K.
Рис. 11. Влияние величины TG на изменение температуры при объемной конденсации водяного пара вблизи межфазной поверхности (х* = 5) при интенсивном испарении. Тcold =293.15 K.
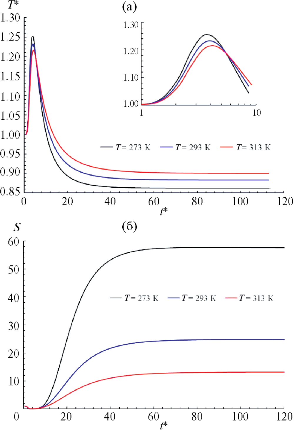
Рис. 6–8 иллюстрируют влияние величины начальной температуры пара Тcold при неизменном значении отношения температуры поверхности испарения к начальной температуре пара TG = Тhot/ Тcold на процесс объемной конденсации вблизи межфазной поверхности при интенсивном испарении. На рис. 6 показана зависимость степени пересыщения от времени. Видно (рис. 6, пунктирные кривые), что с понижением Tcold от 313.15 К до 273.15 К степень пересыщения, предсказываемая решением КУБ без учета объемной конденсации, возрастает примерно в пять раз. С учетом процесса объемной конденсации степень пересыщения после достижения максимального значения спадает до 1 (рис. 6, сплошные кривые). При этом максимальная степень пересыщения ниже значения, следующего из решения КУБ. Как видно из рис. 6, физическое время существования пересыщенного состояния пара при понижении Tcold в заданных пределах возрастает примерно на порядок, что связано с соответствующим изменением масштаба обезразмеривания: от 0.00462 мкс при Tcold = 313.15 К до 0.0435 мкс при Tcold = 273.15 К. Следовательно, увеличение Tcold (и соответствующего уменьшения масштаба обезразмеривания) может привести к столь малым временам существования пересыщенного состояния, что процесс объемной конденсации станет невозможным.
На рис. 7 показана зависимость числовой плотности капель и массовой доли конденсата от времени. Видно, что разница между вариантами не столь велика, как можно было ожидать на основании данных рис. 6. Это связанно с фактором T3(ln s)2, определяющим скорость нуклеации: снижение степени пересыщения при увеличении Tcold компенсируется ростом температуры, при которой происходит нуклеация. Кроме того, при увеличении Tcold возрастает плотность пара и, следовательно, скорость роста капель.
На рис. 8 показаны зависимости температуры пара от времени. Видно, что процесс объемной конденсации приводит к существенному тепловому возмущению. Близкие значения массовой доли образующихся капель в рассмотренных вариантах (рис. 7) определяют близкие значения повышения температуры.
Рис. 9–11 иллюстрируют влияние величины TG при неизменном значении Тcold на процесс объемной конденсации вблизи межфазной поверхности при интенсивном испарении. На рис. 9 показаны зависимости степени пересыщения от времени. Видно, что увеличение TG при неизменной величине Тcold приводит к тому, что максимальная степень пересыщения увеличивается, а время существования пересыщенного состояния сокращается. Тем не менее образование конденсационного аэрозоля успевает произойти.
Параметры конденсационного аэрозоля представлены на рис. 10. Видно, что с увеличением TG увеличиваются счетная концентрация капель конденсационного аэрозоля и их массовая доля. Это связано с тем, что увеличение степени пересыщения с ростом TG происходит при увеличении температуры с соответствующим ростом величины комплекса T3(ln s)2. Следствием этого являются значительное увеличение скорости нуклеации и скорости роста капель, что компенсирует влияние снижения времени существования пересыщенного состояния пара и приводит к указанному изменению параметров конденсационного аэрозоля.
Изменение температуры пара в процессе объемной конденсации представлено на рис. 11. Видно, что увеличение TG вызывает более резкий подъем температуры в период объемной конденсации, что связано с увеличением массовой доли капель при увеличении TG (рис. 10).
Следует отметить, что массовая доля образующегося конденсата невелика, в пределах нескольких процентов (рис. 7 и 10). В то же время снижение степени пересыщения весьма существенно – от максимальных значений 10–45 до 1 (рис. 6 и 9). Объяснение этого эффекта состоит в следующем. Степень пересыщения определяется как отношение давления пара к давлению насыщения при его температуре (см. выражение (8)), и ее снижение в рассматриваемом случае вызвано в основном не истощением паровой фазы, что уменьшило бы числитель в (8), а увеличением температуры вследствие тепловыделения при конденсации, что увеличивает знаменатель в (8). Аналогичная ситуация (существенное снижение степени пересыщения при небольшой массовой доле конденсата) наблюдается при объемной конденсации пара в соплах. Расчеты авторов для такой задачи [27] по описанной выше методике находятся в согласии с экспериментальными данными [28].
ЗАКЛЮЧЕНИЕ
В целом можно сказать, что проявлению процесса объемной конденсации пара вблизи межфазной поверхности при интенсивном испарении способствуют увеличение TG и уменьшение Тcold. Эффект увеличения TG более сильный в связи с тем, что в этом случае одновременно возрастают и степень пересыщения, и температура, при которой происходит конденсация пара. Напротив, в случае снижения Тcold степень пересыщения возрастает при снижении температуры, при которой происходит конденсация пара. В то же время при увеличении TG сокращается время существования пересыщенного состояния пара, а при снижении Тcold – возрастает.
Результаты численного решения кинетического уравнения Больцмана для интенсивного испарения с межфазной поверхности использованы для расчета кинетики процесса объемной конденсации вблизи поверхности испарения. Показано, что за время существования пересыщенного состояния, предсказываемого на основе решения без учета конденсации, конденсационный аэрозоль успевает сформироваться. Определены параметры, способствующие проявлению процесса объемной конденсации пара вблизи межфазной поверхности при интенсивном испарении. В соответствии с предложенным подходом решение КУБ с учетом параметров конденсационного аэрозоля, найденных на первой итерации, и теплового эффекта объемной конденсации предполагается в рамках второй итерации, что является предметом дальнейших исследований. Можно будет считать, что предложенный итерационный процесс сходится, если различие между результатами второй итерации и первой будет меньше, чем между результатами первой итерации и нулевой. Заметим, что в случае выросших капель можно рассматривать парокапельную смесь как запыленный поток с использованием подхода, предложенного в литературе [29]. Данная работа является продолжением и развитием исследований, результаты которых представлены в [30].
ФИНАНСИРОВАНИЕ РАБОТЫ
Работа выполнена при финансовой поддержке Российского научного фонда, проект 22-19-00044.
СОБЛЮДЕНИЕ ЭТИЧЕСКИХ СТАНДАРТОВ
В данной работе отсутствуют исследования человека или животных.
КОНФЛИКТ ИНТЕРЕСОВ
Авторы данной работы заявляют, что у них нет конфликта интересов.
About the authors
N. M. Kortsenshteyn
Объединенный институт высоких температур РАН; Научно-исследовательский институт механики Московского государственного университета им. М. В. Ломоносова
Email: akyastrebov@yandex.ru
Russian Federation, Ижорская ул., 13, стр. 2, Москва, 125412; Мичуринский пр., 1, Москва, 119192
L. V. Petrov
Научно-исследовательский институт механики Московского государственного университета им. М. В. Ломоносова; Национальный исследовательский центр «Курчатовский институт»
Email: akyastrebov@yandex.ru
Russian Federation, Мичуринский пр., 1, Москва, 119192; пл. Академика Курчатова, 1, Москва, 123182
A. V. Rudov
Национальный исследовательский университет «МЭИ»
Email: akyastrebov@yandex.ru
Russian Federation, Красноказарменная ул., 14, Москва, 111250
A. K. Yastrebov
Научно-исследовательский институт механики Московского государственного университета им. М. В. Ломоносова; Национальный исследовательский университет «МЭИ»
Author for correspondence.
Email: akyastrebov@yandex.ru
Russian Federation, Мичуринский пр., 1, Москва, 119192; Красноказарменная ул., 14, Москва, 111250
References
- Labuntsov D.A., Kryukov A.P. Analysis of intensive evaporation and condensation // Int. J. Heat Mass Transf. 1979. V. 22. P. 989–1002. https://doi.org/10.1016/0017-9310(79)90172-8
- Анисимов С.И., Имас Я.А., Романов Г.С., Ходыко Ю.В. Действие излучения большой мощности на металлы. М.: Наука. 1970.
- Fang G., Ward C. A. Temperature measured close to the interface of an evaporating liquid // Phys. Rev. E. 1999. V. 59. P. 417–428. https://doi.org/10.1103/PhysRevE.59.417
- Badam V.K., Kumar V., Durst F., Danov K. Experimental and theoretical investigations on interfacial temperature jumps during evaporation // Exp. Therm. Fluid Sci. 2007. V. 32. P. 276–292. https://doi.org/10.1016/j.expthermflusci.2007.04.006
- Fei Duan, Ward C.A., Badam V.K., Durst F. Role of molecular phonons and interfacial-temperature discontinuities in water evaporation // Phys. Rev. E. 2008. V. 78. P. 04130. https://doi.org/10.1103/PhysRevE.78.041130
- Sone Y., Ohwada T., Aoki K. Evaporation and condensation on a plane condensed phase: Numerical analysis of the linearized Boltzmann equation for hard-sphere molecules // Phys. Fluids. 1989. V. 1. P. 1398–1405. https://doi.org/10.1063/1.857316
- Rokoni A., Sun Y. Probing the temperature profile across a liquid–vapor interface upon phase change // J. Chem. Phys. 2020. V. 153. P.144706. https://doi.org/10.1063/5.0024722
- Chen G. On paradoxical phenomena during evaporation and condensation between two parallel plates // J. Chem. Phys. 2023. V. 159. P. 151101. https://doi.org/10.48550/arXiv.2308.02661
- Chen G. Interfacial cooling and heating, temperature discontinuity and inversion in evaporation and condensation // Int. J. Heat Mass Transf. 2024. V. 218. P. 124762. https://doi.org/10.48550/arXiv.2307.16043
- Аристов В.В., Черемисин Ф.Г. Прямое численное решение кинетического уравнения Больцмана. М.: Вычислительный центр РАН. 1992.
- Левашов В. Ю., Крюков А. П., Шишкова И. Н. Влияние гомогенной нуклеации на интенсивность процессов испарения/конденсации // Коллоидный журнал. 2024. Т. 86. № 2. С. 218–226.
- Коган М.Н. Динамика разреженного газа. М.: Наука. 1967.
- Черемисин Ф.Г. Консервативный метод вычисления интеграла столкновений Больцмана // Доклады Академии наук. 1997. Т. 357. № 1. С. 53–56.
- Ястребов А.К. Об использовании неравновесных граничных условий для исследования конденсации при внезапном контакте холодной жидкости и насыщенного пара // Известия Академии наук. Энергетика. 2010. № 6. С. 21–29.
- Jianhua Huang. A simple accurate formula for calculating saturation vapor pressure of water and ice // J. Appl. Meteorol. Climatol. 2018. V. 57. P. 1265–1272. https://doi.org/10.1175/JAMC-D-17-0334.1
- NIST Chemistry WebBook, SRD 69. Argon. https://webbook.nist.gov/cgi/cbook.cgi?ID=C7440371&Mask=4#Thermo-Phase
- NIST Chemistry WebBook, SRD 69. Nitrogen. https://webbook.nist.gov/cgi/cbook.cgi?ID=C7727379&Mask=4#Thermo-Phase
- Kortsenshteyn N.M., Gerasimov G.Ya., Petrov L.V., Shmel’kov Yu.B. A software package for simulating physicochemical processes and properties of working fluids // Therm. Eng. 2020. V. 67. P. 591–603. https://doi.org/10.1134/S0040601520090049
- Стернин Л.Е. Основы газодинамики двухфазных течений в соплах. М.: Машиностроение. 1974.
- Kashchiev D. Nucleation. Basic theory with applications. Oxford: Butterworth-Heinemann. 2000.
- Александров А.А., Григорьев Б.А. Таблицы теплофизических свойств воды и водяного пара. М.: МЭИ. 1999.
- Fuchs N.A. Evaporation and droplet growth in gaseous media. New York: Pergamon Press. 1959.
- Kortsenshteyn N.M., Yastrebov A.K. Interphase heat transfer during bulk condensation in the flow of vapor – gas mixture // Int. J. Heat Mass Transf. 2012. V. 55. P. 1133–1140. https://doi.org/10.1016/j.ijheatmasstransfer.2011.09.059
- Kortsenshteyn N.M., Samuilov E.V., Yastrebov A.K. About use of a method of direct numerical solution for simulation of bulk condensation of supersaturated vapor // Int. J. Heat Mass Transf. 2009. V. 52. P. 548–556. https://doi.org/10.1016/j.ijheatmasstransfer.2008.06.033
- Корценштейн Н.М., Самуйлов Е.В., Ястребов А.К. О влиянии зависимости давления насыщенного пара от размера капель на динамику процесса конденсационной релаксации пересыщенного пара // Доклады Академии наук, 2007. Т. 415. № 4. С. 469–474.
- Zhakhovsky V.V., Kryukov A.P., Levashov V.Yu., Shishkova I.N., Anisimov S.I. Mass and heat transfer between evaporation and condensation surfaces: Atomistic simulation and solution of Boltzmann kinetic equation // Proc. Natl. Acad. Sci. 2019. V. 116. P. 18209–18217. https://doi.org/10.1073/pnas.1714503115
- Kortsenshteyn N.M., Levashov V.Y, Yastrebov A.K., Petrov L.V. Numerical simulation of homogeneous-heterogeneous condensation and interphase heat transfer in a dusty vapour-gas flow: Controlling the homogeneous condensation process // Int. J. Therm. Sci. 2024. V. 200. P. 108966. https://doi.org/10.1016/j.ijthermalsci.2024.108966
- Pathak H., Wölk J., Strey R., Wyslouzil B. Co-condensation of nonane and D2O in a supersonic nozzle // J. Chem. Phys. 2014. V. 140. P. 034304. https://doi.org/10.1063/1.4861052
- Крюков А.П., Левашов В.Ю., Шишкова И.Н. Исследование течений газопылевой смеси методами молекулярно-кинетической теории // Инженерно-физический журнал. 2002. Т. 75. № 4.
- Корценштейн Н.М., Петров Л.В., Рудов А.В., Ястребов А.К. Численное моделирование объемной конденсации пара вблизи межфазной поверхности при интенсивном испарении // Физико-химическая кинетика в газовой динамике. 2023. Т. 24. № 5. С. 84–95.
Supplementary files













