Hydrophobic drugs solubilization in associates of cationic glycerolipids and creation of mesoporous particle-containers on these bifunctional templates
- Authors: Dement’eva O.V.1, Shishmakova Е.М.1, Ivchenko A.V.1, Staltsov M.S.2, Markova А.А.3, Rudoy V.M.1
-
Affiliations:
- Институт физической химии и электрохимии им. А.Н. Фрумкина РАН
- Национальный исследовательский ядерный университет «МИФИ»
- Институт биохимической физики им. Н.М. Эмануэля РАН
- Issue: Vol 86, No 6 (2024)
- Pages: 709-719
- Section: Articles
- Submitted: 20.02.2025
- Accepted: 20.02.2025
- Published: 15.11.2024
- URL: https://bakhtiniada.ru/0023-2912/article/view/280786
- DOI: https://doi.org/10.31857/S0023291224060045
- EDN: https://elibrary.ru/VLNQNQ
- ID: 280786
Cite item
Full Text
Abstract
The possibility of using associates of cationic glycerolipid (CGL) rac-N-{4-[(2-ethoxy-3-octadecyloxyprop-1-yl)oxycarbonyl]butyl}-N’-methylimidazolium iodide, which has a pronounced antitumor effect, for the solubilization of two hydrophobic biologically active compounds (curcumin and capsaicin) and as a template for the sol–gel synthesis of mesoporous silica nanocontainers (MSNs). The thermodynamic characteristics of solubilization are determined, and it is shown that this process contributes to a significant increase in the solubility of both hydrophobic drugs in water. Hydrolytic condensation of tetraethoxysilane in the presence of CGL associates containing curcumin or capsaicin leads to the production of MSNs characterized by a narrow size distribution and a high content of encapsulated drugs. This combination of the stages of synthesis and loading of MSNs is of undoubted interest in relation to the nanoencapsulation of cationic glycerolipids (including in combination with other drugs).
Full Text
ВВЕДЕНИЕ
В настоящее время все более актуальной становится проблема борьбы с различными злокачественными новообразованиями (опухолями). Основными консервативными способами их лечения являются лучевая терапия и химиотерапия. Каждый из них имеет свои достоинства и недостатки. При этом, как свидетельствуют данные лабораторных исследований и результаты клинических испытаний, использование только одного вида терапии, как правило, не приводит к полному выздоровлению, поскольку опухолевая ткань может содержать популяции злокачественных клеток, устойчивых к монотерапии и склонных к метастазированию [1–3]. Поэтому в последние годы значительное внимание сосредоточено на перспективах применения так называемой мультимодальной терапии опухолей [3]. Она основана на комбинации нескольких терапевтических подходов и/или использовании двух и более лекарственных препаратов. Такое сочетанное воздействие способствует повышению эффективности лечения гипоксических и склонных к метастазированию новообразований, в том числе обладающих множественной лекарственной устойчивостью (МЛУ).Еще одним способом преодоления МЛУ, снижающей эффективность химиотерапии, является использование различных (нано)систем капсулирования и доставки лекарственных препаратов [3–7]. Частицы-контейнеры могут накапливаться в опухоли благодаря эффекту повышенной проницаемости ее кровеносных и лимфатических сосудов, обусловленному их дефектностью. Такая пассивная адресная доставка приводит к локализации лекарства непосредственно в опухолевых клетках, что не только способствует их гибели, но и снижает токсическую нагрузку на здоровые ткани.
В качестве контейнеров-носителей лекарственных препаратов могут быть использованы как органические структуры (липосомы, дендримеры и др.), так и неорганические (частицы металлов, их оксидов, полупроводников и других материалов) [3-11]. Особый интерес, на наш взгляд, представляют мезопористые частицы кремнезема (МЧК). Они обладают уникальным комплексом свойств: низкой токсичностью, биосовместимостью и биоразлагаемостью, большой удельной поверхностью и упорядоченной системой пор [3, 6, 12–14]. Размеры пор МЧК можно регулировать в широком диапазоне, что позволяет загружать в них молекулы разного размера, включая малые интерферирующие РНК, активно применяющиеся при генной терапии опухолей [6, 15]. Еще одним преимуществом использования МЧК является возможность управлять скоростью выхода загруженного функционального соединения в окружающую среду. Это достигается путем модификации поверхности МЧК стимулотропным соединением (см., например, обзоры [3, 6] и приведенные в них ссылки) или за счет регулирования гидролитической устойчивости их кремнеземной матрицы [6, 13, 16, 17].
Практически единственным на сегодняшний день способом получения МЧК является золь–гель синтез на мицеллах инертных (т. е. играющих только структурообразующую роль) [6] или функциональных ПАВ (например, ингибиторов коррозии и биологически активных соединений) [13, 18–21]. Использование функциональных ПАВ в качестве темплатирующих агентов позволяет совмещать стадии синтеза и загрузки МЧК. При этом, как показывают результаты наших исследований [13, 20], обеспечивается высокая емкость МЧК по загружаемому препарату (до 1 г и более в расчете на 1 г SiO2) и появляется возможность регулировать скорость его выхода в окружающую среду без какой-либо дополнительной модификации частиц. Еще одним преимуществом такого одностадийного метода синтеза и загрузки МЧК является возможность капсулирования в них сразу двух целевых соединений. Она основана на способности мицелл ПАВ солюбилизировать гидрофобные соединения и может быть использована для одновременной доставки по одному и тому же “адресу” двух (и более 1) лекарственных препаратов, что весьма важно с точки зрения борьбы с МЛУ опухолей и патогенных микроорганизмов. О перспективности этого подхода свидетельствуют как результаты работы Хе c соавт., посвященной синтезу МЧК на мицеллах инертного ПАВ бромида цетилтриметиламмония c солюбилизированным противораковым препаратом камптотецином [7], так и наши данные [22–24]. Показано, в частности, что катионы темплатирующего ПАВ могут способствовать повышению чувствительности патологических клеток по отношению к загруженному в МЧК гидрофобному препарату [7].
На наш взгляд, описанный одностадийный метод синтеза и загрузки МЧК представляет значительный интерес с точки зрения капсулирования катионных глицеролипидов, обладающих противоопухолевым действием [25]. На сегодняшний день для доставки таких соединений в опухоль, как правило, используют липосомы, основные недостатки которых – низкие механическая стабильность и емкость [26]. Лишенные этих недостатков МЧК могут послужить серьезной альтернативой липосомам.
В данной работе мы анализируем возможность золь-гель синтеза МЧК, содержащих два функциональных соединения, с использованием ассоциатов катионного глицеролипида (КГЛ) -иодида rac-N-{4-[(2-этокси-3-октадецилоксипроп-1-ил)оксикарбонил]бутил}-N’-метилимидазолия в качестве темплата. При этом одной из основных задач является изучение особенностей солюбилизации в ассоциатах КГЛ гидрофобных природных соединений куркумина и капсаицина, обладающих выраженным противоопухолевым действием [27, 28]. При этом, согласно имеющимся в литературе данным (см., например, обзор [27]), они могут не только выступать в качестве цитостатиков, но и способствовать повышению эффективности других видов терапии (в первую очередь лучевой), что весьма важно с точки зрения борьбы с МЛУ опухолей.
ЭКСПЕРИМЕНТАЛЬНАЯ ЧАСТЬ
Материалы
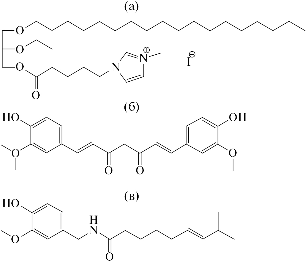
В экспериментах использовали тетраэтоксисилан (ТЭОС), фторид аммония, куркумин и капсаицин (все реагенты марки ACS Reagent, Sigma Aldrich). Катионный глицеролипид был синтезирован в Московской государственной академии тонкой химической технологии им. М.В. Ломоносова по описанной в [29] схеме. Структурные формулы лекарственных соединений представлены на рис. 1. Растворителями служили свежеперегнанный этанол и дистиллированная вода, дополнительно деионизованная на установке Arium 611 (Sartorius, Германия).
Рис. 1. Структурные формулы катионного глицеролипида (a), куркумина (б) и капсаицина (в).
Солюбилизация гидрофобных соединений в ассоциатах КГЛ
Исследование солюбилизации гидрофобных препаратов в ассоциатах КГЛ проводили в нейтральной среде по описанной ранее схеме [30]. Для этого к серии водных растворов КГЛ с концентрацией от 0.03 до 1.5 мМ добавляли куркумин или капсаицин из расчета 1.25 мг/мл и выдерживали каждую из систем при 25оC и непрерывном перемешивании в течение 24–48 ч. Через определенные промежутки времени из них отбирали пробы и подвергали их центрифугированию для отделения несолюбилизированного гидрофобного вещества. Надосадочные жидкости разбавляли этанолом в 10–100 раз и регистрировали их спектры поглощения. Количества обоих солюбилизированных препаратов определяли по предварительно построенным калибровочным зависимостям оптической плотности соответствующих растворов от их концентрации. Аналогичную схему использовали для оценки растворимости куркумина и капсаицина в воде и гексане [30].
Синтез МЧК на темплате из ассоциатов КГЛ, содержащих гидрофобный солюбилизат
Синтез МЧК проводили следующим образом. В 25 мл водного раствора КГЛ (1.5 мМ) с солюбилизированным куркумином или капсаицином при интенсивном перемешивании внесли 2 мл водного раствора NH4F (25 мг/мл). В полученную смесь порциями по 50 мкл с интервалами в 5 мин ввели 1 мл спиртового раствора ТЭОС (15 об. %). Реакционную смесь перемешивали в течение суток при 25оC. Затем МЧК осадили центрифугированием (45 мин при 14 000 об/мин) и отделили надосадочную жидкость, а осадок редиспергировали в дистиллированной воде. Процедуру осаждения/редиспергирования выполнили еще два раза, после чего осадок разделили на две части. Одну из них сушили в вакуумном шкафу до постоянной массы и анализировали методами ИК-спектроскопии и термогравиметрии, а вторую редиспергировали в воде или этаноле для исследования структуры МЧК методом просвечивающей электронной микроскопии высокого разрешения (ПЭМВР).
Методы
Синтезированные МЧК осаждали из их коллоидных растворов с помощью центрифуги Universal 320R (Hettich, Германия) и затем редиспергировали в воде или спирте с помощью ультразвуковой ванны.
Размеры и структуру МЧК определяли на микроскопе Libra 120 (С. Zeiss, Германия) при ускоряющем напряжении 120 кВ. Для этого каплю коллоидного раствора помещали на медную сеточку, покрытую формваром, выдерживали 1 мин и затем удаляли фильтровальной бумагой.
Содержание темплатирующих соединений в МЧК на качественном уровне оценивали с помощью ИК-фурье-спектрометра Nicolet 380 (Thermo Electron Corp., США). Спектры регистрировали в режиме диффузного отражения в диапазоне волновых чисел 400–4000 см-1; число сканирований равнялось 640.
Емкость МЧК определяли путем термогравиметрического анализа (ТГА). Эксперименты проводили на приборе TGA Q500 (TA Instruments, США) в открытых платиновых тиглях в атмосфере аргона в температурном диапазоне от 25 до 600оC; скорость нагрева составляла 10оC/мин. Образцы для ТГА предварительно высушивали при комнатной температуре в вакуумном шкафу VD23 (Binder, Германия) до постоянной массы.
Спектры поглощения растворов гидрофобных соединений, в том числе солюбилизированных в ассоциатах КГЛ, измеряли с помощью двухлучевого спектрофотометра Evolution 300 (Thermo Electron Corp., США) в диапазоне длин волн 190–600 нм, используя кварцевые кюветы с длиной оптического пути 1 см. В луч сравнения помещали кювету с этанолом.
РЕЗУЛЬТАТЫ И ИХ ОБСУЖДЕНИЕ
КГЛ, формула которого представлена на рис. 1а, обладает ярко выраженным противораковым действием [25, 29, 31]. Так, согласно данным [29], концентрация полумаксимального ингибирования (IC50) по отношению к клеткам лейкоза человека K562 составляет 18 мкМ. При этом в отличие от референсного фосфат-содержащего глицеролипида эдельфозина данный КГЛ практически не вызывает гемолиз в концентрациях, достаточных для гибели опухолевых клеток при сохранении сопоставимой противоопухолевой активности [31]. Кроме того, этот КГЛ относится к классу катионных ПАВ с достаточно высоким значением гидрофильно-липофильного баланса (16.075). Характер ассоциации его молекул в водных растворах с концентрацией, превышающей критическую концентрацию ассоциации (ККА), сильно зависит от температуры и ионной силы. Так, основным типом ассоциатов, формирующихся в деионизованной воде при 25оC, являются везикулы диаметром 500 нм [32]. Повышение температуры или ионной силы раствора приводит к практически полному их разрушению и образованию мицелл диаметром около 5 нм. Отметим, что использование КГЛ в качестве темплатирующего агента при синтезе МЧК позволяет получать частицы с различными размером и структурой [32, 33]. Как будет показано ниже, этот глицеролипид может и достаточно эффективно солюбилизировать различные гидрофобные соединения.
Солюбилизация куркумина и капсаицина в ассоциатах КГЛ
Структурные формулы куркумина и капсаицина приведены на рис. 1б и 1в. Эти природные гидрофобные соединения имеют низкую растворимость в воде, равную, согласно нашим данным, примерно 8 мкМ и 0.25 мМ соответственно, но достаточно хорошо растворяются в этаноле. Характерные спектры поглощения обоих полифенолов в этом спирте и соответствующие концентрационные зависимости оптической плотности (D) их растворов, использованные в качестве калибровочных, приведены на рис. 2.
Рис. 2. Характерные спектры поглощения куркумина (а) и капсаицина (б) в этаноле. На вставках приведены соответствующие калибровочные зависимости.
Солюбилизацию гидрофобных препаратов в ассоциатах КГЛ проводили по описанной выше схеме. Для этого избыток препарата добавляли в водный раствор КГЛ и выдерживали систему в течение заданного времени, периодически отбирая пробы. Концентрацию куркумина (Ccurc) и капсаицина (Ccaps), перешедших в раствор, определяли спектрофотометрически.
Кинетические кривые солюбилизации этих двух гидрофобных соединений в ассоциатах КГЛ приведены на рис. 3. Видно, что в обоих случаях процесс протекает достаточно быстро и равновесное значение растворимости достигается уже за 3–5 ч. По мере увеличения концентрации КГЛ содержание обоих препаратов в воде возрастает. В то же время можно предположить, что характер их солюбилизации несколько различается. Это особенно заметно в диапазоне концентраций КГЛ 0.03–0.15 мМ, соответствующем примерно 1.5–7.5 ККА. Для куркумина в этом концентрационном диапазоне глицеролипида наблюдается монотонное увеличение растворимости (рис. 3а), тогда как содержание капсаицина изменяется очень слабо (рис. 3б). Значительное увеличение его растворимости имеет место только при использовании 1.5 мМ раствора КГЛ. На наш взгляд, такое различие может быть обусловлено разным взаимодействием катионов КГЛ с этими гидрофобными полифенолами (см. ниже).
Рис. 3. Кинетические кривые солюбилизации куркумина (а) и капсаицина (б) в водных растворах КГЛ с концентрацией 1.5 (1), 0.15 (2), 0.075 (3) и 0.03 мМ (4). Пунктиром показана равновесная растворимость обоих гидрофобных соединений в воде.
Изотермы солюбилизации куркумина и капсаицина в ассоциатах КГЛ приведены на рис. 4. В случае капсаицина изотерма линейна во всем исследованном диапазоне концентраций КГЛ (рис. 4а). Согласно [34], это указывает на неизменность формы ассоциатов глицеролипида. В свою очередь, для куркумина линеен лишь начальный участок изотермы (рис. 4б). В случае же сравнительно концентрированных растворов КГЛ (1.5 мМ или 75 ККА) солюбилизация куркумина, по-видимому, сопровождается изменением формы ассоциатов. Это может быть следствием взаимодействия катионов КГЛ с депротонированными молекулами куркумина.
Рис. 4. Изотермы солюбилизации капсаицина (а) и куркумина (б) в ассоциатах КГЛ.
Действительно, известно, что куркумин представляет собой 1,3-дикетон и склонен к кето-енольным превращениям. В водной среде он существует преимущественно в енольной форме [35], которая может легко депротонироваться с отщеплением до трех протонов (соответствующие значения pKa составляют примерно 8.3, 9.8 и 10.5 [36]). При этом по аналогии с результатами, полученными при изучении солюбилизации куркумина в мицеллах катионных ПАВ [30], можно ожидать, что его ионизированные молекулы будут локализоваться вблизи головных групп молекул КГЛ, образующих ассоциаты, частично нейтрализуя их положительный заряд, обусловленный наличием имидазольного фрагмента. Это должно приводить к уменьшению электростатического отталкивания головных групп КГЛ и способствовать изменению формы его ассоциатов и, как следствие, отклонению формы изотермы солюбилизации куркумина от линейной (рис. 4б).
В то же время капсаицин способен проявлять как кислотные, так и основные свойства из-за наличия в составе его молекулы фенольной и аминогруппы. При этом по разным данным переход капсаицина в анионную форму происходит в диапазоне значений pH от 9.75 до 10.1 [37, 38], тогда как в нейтральной среде доля ионизированных молекул пренебрежимо мала [39]. Как следствие, электростатическое взаимодействие капсаицина с головными группами КГЛ не имеет места, и ассоциаты глицеролипида сохраняют исходную форму во всем использованном нами диапазоне его концентраций.
Для определения термодинамических параметров солюбилизации обоих полифенолов использовали области изотерм, хорошо описывающиеся линейным уравнением вида: y = ax + b. Параметр a – это значение солюбилизационной емкости (Е) мицеллы (ассоциата КГЛ), т. е. соотношение в ней числа молекул солюбилизата (NS) и солюбилизирующего ПАВ (NCGL) [34]:
(1)
Мольные доли куркумина и капсаицина в ассоциатах (χm) и в водной фазе (χw) были рассчитаны по следующим формулам:
(2)
(3)
где Sw – растворимость куркумина и капсаицина в воде, значения которой равны 8 × 10–6 и 2.48 × 10–4 М соответственно, Сw – концентрация воды в растворе катионного глицеролипида с концентрацией, равной его ККА (55.5 М при 22оC) 2.
Коэффициент распределения (Kd) солюбилизата между мицеллярной псевдофазой (ассоциатами КГЛ) и водой и стандартную энергию Гиббса солюбилизации определяли по формулам:
(4)
(5)
где R – универсальная газовая постоянная, T – температура по абсолютной шкале.
Вычисленные таким образом термодинамические параметры солюбилизации обоих гидрофобных препаратов представлены в табл. 1. В растворы, содержащие ассоциаты КГЛ, переходят значительные количества куркумина и капсаицина, о чем свидетельствуют высокие значения коэффициентов распределения. А большие отрицательные значения стандартной энергии Гиббса солюбилизации говорят о том, что этот процесс термодинамически выгоден.
Таблица 1. Термодинамические параметры солюбилизации куркумина и капсаицина в ассоциатах КГЛ
Гидрофобный препарат | Е | Kd | ∆G°,кДж/моль |
Куркумин | 0.27 | 1.47 × 106 | –34.83 |
Капсаицин | 0.78 | 9.82 × 104 | –28.19 |
Отметим, что солюбилизационная емкость ассоциатов КГЛ по куркумину достаточно близка к значениям, полученным ранее при изучении солюбилизации этого гидрофобного полифенола в мицеллах катионных ПАВ [30]. В то же время для капсаицина регистрируется значительно более высокое значение Е. На наш взгляд, такой результат может быть обусловлен способностью молекул капсаицина солюбилизироваться не только в палисадном слое ассоциатов КГЛ, но и на их поверхности (т. е. на границе с водой). На такую возможность указывают, в частности, результаты работ [40, 41], посвященных солюбилизации ибупрофена и эритромицина в мицеллах различных ПАВ. По мнению авторов, это происходит по механизму образования водородных связей и приводит к значительному повышению солюбилизационной емкости мицелл.
Результаты, представленные в этом разделе, свидетельствуют о том, что использованный нами КГЛ достаточно эффективно солюбилизирует куркумин и капсаицин, обеспечивая значительное (в 10 и более раз) увеличение растворимости этих полифенолов в воде даже при весьма небольшом его содержании в растворе.
МЧК, синтезированные на бифункциональных темплатах
Завершающим этапом работы явилось изучение возможности сборки бифункциональных МЧК на темплатах из ассоциатов КГЛ с солюбилизированным в них куркумином (КГЛ-курк) или капсаицином (КГЛ-капс). Согласно данным ПЭМВР, использованный нами протокол позволил получить на темплатах обоих типов сферические МЧК с узким распределением по размеру. Пористая структура таких частиц полностью идентична наблюдавшейся для МЧК, полученных в аналогичных условиях на «пустых» ассоциатах КГЛ [33], и не зависит от молекулярной структуры использованного гидрофобного солюбилизата. Средний диаметр МЧК, синтезированных на темплатах КГЛ-курк и КГЛ-капс, составил примерно 40 и 30 нм соответственно. В качестве примера на рис. 5 приведена микрофотография МЧК, полученных на темплате КГЛ-капс.
Рис. 5. ПЭМВР-изображение МЧК, синтезированных на темплате КГЛ-капс, и гистограмма распределения частиц по размеру.
Результаты ИК-фурье-спектроскопии указывают на то, что содержание темплатирующих соединений в мезопористых частицах достаточно высоко (рис. 6). К сожалению, определить количество каждого из них по отдельности невозможно из-за перекрывания основных полос поглощения. Следует отметить, что в спектре МЧК, содержащих капсаицин, отчетливо просматриваются полосы вблизи 1200 и 1150 см-1, обусловленные, по-видимому, наличием фрагмента –CO–NH– в его молекуле. Проявление этих полос на фоне интенсивной полосы вблизи 1090 см-1, отвечающей колебаниям связей Si–O–Si, свидетельствует о высоком содержании капсаицина в МЧК. Это вполне ожидаемо, учитывая высокое содержание этого полифенола в составе гибридного темплата, а также его эффективное встраивание в пористую структуру формирующихся МЧК. Так, спектрофотометрический анализ надосадочной жидкости, отобранной после синтеза МЧК, показал, что в частицы встраивается около 90 масc. % присутствующего в реакционной системе капсаицина. В случае куркумина это значение также достаточно велико (~ 95 масс. %). К сожалению, использовать электронную спектроскопию поглощения для оценки количества КГЛ, встроенного в МЧК, невозможно, поскольку для этого соединения характерна лишь одна довольно размытая полоса в коротковолновой области спектра (λ max ≈ 230 нм [33]). Точное определение ее интенсивности затруднено из-за наложения полос поглощения остальных компонентов системы. С учетом этого для оценки емкости синтезированных МЧК по капсулированным препаратам использовали также термогравиметрию.
Рис. 6. ИК-фурье-спектры бифункциональных МЧК, синтезированных на темплатах КГЛ-курк (1) и КГЛ-капс (2). На вставке приведены спектры всех темплатирующих соединений.
На рис. 7 приведены ТГА-кривые для обоих типов МЧК и использованных при их синтезе биологически активных соединений. Прежде всего обращает на себя внимание тот факт, что характер термодеструкции исходных и капсулированных в кремнеземной матрице соединений сильно различается. Такая картина достаточно типична и наблюдается при синтезе МЧК как на инертных, так и на функциональных темплатах (см., например, работы [24, 42] и приведенные в них ссылки). Отметим, что форма ТГА-кривой для МЧК, полученных на темплате КГЛ-курк (кривая 1 на рис. 7), полностью идентична зарегистрированной для МЧК, синтезированных на «пустых» ассоциатах КГЛ [33]. Очевидно, в данном случае основной вклад в потерю массы частицами вносит именно глицеролипид, что неудивительно, поскольку массовое соотношение КГЛ : куркумин в бифункциональном темплате составляет примерно 5.4 : 1. Несмотря на то, что в данном случае в МЧК загружены два препарата, потери массы таким образцом в температурном диапазоне их термодеструкции (200–500оC) относительно невелики. Они составляют около 15 масс. % (или 0.18 г в расчете на 1 г SiO2), что даже несколько меньше, чем для МЧК, не содержащих куркумина [33]. На наш взгляд, такой результат обусловлен особенностями термодеструкции темплатирующих соединений (в первую очередь куркумина). В этой связи напомним, что ТГА проводили в атмосфере аргона. В этом случае в процессе нагрева образца может иметь место карбонизация органических соединений и, как следствие, уменьшение потерь массы. Как следует из анализа ТГА-кривых, представленных на рис. 7, для куркумина этот эффект выражен достаточно сильно, что и приводит к не вполне корректному определению емкости МЧК.
Рис. 7. ТГА-кривые, зарегистрированные для бифункциональных МЧК, синтезированных на темплатах КГЛ-курк (1) и КГЛ-капс (2), а также для индивидуальных темплатирующих соединений.
В то же время КГЛ и капсаицин в процессе термообработки разлагаются практически полностью. Для МЧК, синтезированных на таком бинарном темплате, потери массы в диапазоне 250–550оC составили около 35% (примерно 0.5 г в расчете на 1 г SiO2). Отметим, что наличие в МЧК капсаицина приводит к существенному изменению формы ТГА-кривой по сравнению с зарегистрированной для мезопористых частиц, полученных с использованием только КГЛ. Это достаточно закономерно, если учесть отмеченную выше высокую солюбилизационную емкость ассоциатов КГЛ по этому препарату (табл. 1).
Представленные данные свидетельствуют о том, что использованный катионный глицеролипид может как эффективно солюбилизировать гидрофобные соединения, обеспечивая существенное увеличение их растворимости в воде, так и служить «базовым» темплатирующим агентом при создании бифункциональных частиц-контейнеров из мезопористого кремнезема. Мы полагаем, что в этих двух ипостасях могут выступать и другие глицеролипиды, а получаемые в результате функциональные структуры на основе МЧК также будут представлять интерес с точки зрения сочетанной терапии различных заболеваний.
ЗАКЛЮЧЕНИЕ
Ассоциаты (мицеллы) катионного глицеролипида, характеризующегося выраженным противоопухолевым действием, достаточно эффективно солюбилизируют гидрофобные полифенолы куркумин и капсаицин. Формирующиеся в результате структуры могут быть с успехом использованы в качестве гибридных темплатов для синтеза наноразмерных сферических МЧК с узким распределением по размеру и высоким содержанием обоих капсулированных соединений.
Такие МЧК в перспективе способны обеспечить одновременную доставку в патологическую область организма сразу двух лекарственных агентов, создавая условия для их сочетанного действия. Это представляет значительный интерес с точки зрения повышения эффективности химиотерапии и может, в частности, способствовать решению таких сложных проблем онкологии, как МЛУ и метастазирование опухолей, а также снижение токсической нагрузки на здоровые клетки.
БЛАГОДАРНОСТИ
Мы искренне признательны к. х. н. Н.В. Плявник, к. х. н. Н.Г. Морозовой и д. х. н. М.А. Маслову (МИТХТ им. М.В. Ломоносова, РТУ МИРЭА) за предоставление образца катионного глицеролипида.
ФИНАНСИРОВАНИЕ РАБОТЫ
Работа выполнена по заданию Министерства науки и высшего образования РФ.
СОБЛЮДЕНИЕ ЭТИЧЕСКИХ СТАНДАРТОВ
В данной работе отсутствуют исследования человека или животных.
КОНФЛИКТ ИНТЕРЕСОВ
Авторы данной работы заявляют, что у них нет конфликта интересов.
1 Реализовать такой вариант можно, например, используя в синтезе МЧК либо смешанные мицеллы двух лекарственных препаратов, содержащие солюбилизированный третий, либо мицеллы одного препарата с солюбилизированными двумя другими. Однако пока такие эксперименты, насколько нам известно, не проводились.
2 Учитывая, что значение ККА составляет всего 20 мкМ, речь, по сути, идет о концентрации воды в воде.
About the authors
O. V. Dement’eva
Институт физической химии и электрохимии им. А.Н. Фрумкина РАН
Author for correspondence.
Email: dema_ol@mail.ru
Russian Federation, Ленинский пр., 31, Москва, 119071
Е. М. Shishmakova
Институт физической химии и электрохимии им. А.Н. Фрумкина РАН
Email: dema_ol@mail.ru
Russian Federation, Ленинский пр., 31, Москва, 119071
A. V. Ivchenko
Институт физической химии и электрохимии им. А.Н. Фрумкина РАН
Email: dema_ol@mail.ru
Russian Federation, Ленинский пр., 31, Москва, 119071
M. S. Staltsov
Национальный исследовательский ядерный университет «МИФИ»
Email: dema_ol@mail.ru
Russian Federation, Каширское ш., 31, Москва, 115409
А. А. Markova
Институт биохимической физики им. Н.М. Эмануэля РАН
Email: dema_ol@mail.ru
Russian Federation, ул. Косыгина, 4, Москва, 119334
V. M. Rudoy
Институт физической химии и электрохимии им. А.Н. Фрумкина РАН
Email: dema_ol@mail.ru
Russian Federation, Ленинский пр., 31, Москва, 119071
References
- Valastyan S., Weinberg R.A. Tumor metastasis: molecular insights and evolving paradigms // Cell. 2011. V. 147. P. 275−292. https://doi.org/10.1016/j.cell.2011.09.024
- Veiseh O., Kievit F.M., Ellenbogen R.G., Zhang M. Cancer cell invasion: treatment and monitoring opportunities in nanomedicine // Adv. Drug Delivery Rev. 2011. V. 63. P. 582−596. https://doi.org/10.1016/j.addr.2011.01.010
- Fan W., Yung B., Huang P., Chen X. Nanotechnology for multimodal synergistic cancer therapy // Chem. Rev. 2017. V. 117. P. 13566−13638. https://doi.org/10.1021/acs.chemrev.7b00258
- Piccolo M.T., Menale C., Crispi S. Combined anticancer therapies: an overview of the latest applications // Anti-Cancer Agents Med. Chem. 2015. V. 15. P. 408−422. https://doi.org/10.2174/1871520615666150113123039
- Tsouris V., Joo M.K., Kim S.H., Kwon I.C., Won Y.-Y. Nanocarriers that enable co-delivery of chemotherapy and RNAi agents for treatment of drug-resistant cancers // Biotechnol. Adv. 2014. V. 32. P. 1037−1050. https://doi.org/10.1016/j.biotechadv.2014.05.006
- Feng Y., Liao Z., Li M., Zhang H., Li T., Qin X., Li S., Wu C., You F., Liao X., Cai L., Yang H., Liu Y. Mesoporous silica nanoparticles-based nanoplatforms: Basic construction, current state, and emerging applications in anticancer therapeutics // Adv. Healthcare Mater. 2023. V. 12. P. 2201884. https://doi.org/10.1002/adhm.202201884
- He Q.J., Gao Y., Zhang L.X., Bu W.B., Chen H.R., Li Y.P., Shi J.L. One-pot self-assembly of mesoporous silica nanoparticle-based pH-responsive anti-cancer nano drug delivery system // J. Mater. Chem. 2011. V. 21. P. 15190–15192. https://doi.org/10.1039/C1JM13598H
- Ефимова А.А., Сыбачин А.В. Стимул-чувствительные системы для доставки лекарств на основе бислойных липидных везикул: новые тенденции // Коллоид. журн. 2023. Т. 85. С. 566–582. https://doi.org/10.31857/S0023291223600608
- Tian W.-D., Ma Y.-Q. Theoretical and computational studies of dendrimers as delivery vectors // Chem. Soc. Rev. 2013. V. 42. P. 705−727. https://doi.org/10.1039/C2CS35306G
- Trushina D.B., Akasov R.A., Khovankina A.V., Borodina T.N., Bukreeva T.V., Markvicheva E.A. Doxorubicin-loaded biodegradable capsules: Temperature induced shrinking and study of cytotoxicity in vitro // J. Mol. Liq. 2019. V. 284. P. 215–224. https://doi.org/10.1016/j.molliq.2019.03.152
- Мищенко Е.В., Гилёва А.М., Марквичева Е.А., Королева М.Ю. Наноэмульсии и твердые липидные наночастицы с инкапсулированным доксорубицином и тимохиноном // Коллоид. журн. 2023. T. 85. C. 619–628. https://doi.org/10.31857/S002329122360058X
- Sere S., De Roo B., Vervaele M., Gool S.V., Jacobs S., Seo J.W., Locquet J.-P. Altering the biodegradation of mesoporous silica nanoparticles by means of experimental parameters and surface functionalization // J. Nanomater. 2018. P. 7390618. https://doi.org/10.1155/2018/7390618
- Дементьева О.В. / Мезопористые частицы-контейнеры из кремнезема: новые подходы и новые возможности // Коллоид. журн. 2020. Т. 82. С. 523–547. https://doi.org/10.31857/S0023291220050031
- Pal N., Lee J.-H., Cho E.-B. Recent trends in morphology-controlled synthesis and application of mesoporous silica nanoparticles // Nanomaterials. 2020. V. 10. P. 2122. https://doi.org/10.3390/nano10112122
- Chen Y., Chu C., Zhou Y., Ru Y., Chen H., Chen F., He Q., Zhang Y., Zhang L., Shi J. Reversible pore-structure evolution in hollow silica nanocapsules: Large pores for siRNA delivery and nanoparticle collecting // Small. 2011. V. 7. P. 2935−2944. https://doi.org/10.1002/smll.201101055
- Lei Q., Guo J., Noureddine A., Wang A., Wuttke S., Brinker C.J., Zhu W. Sol–gel-based advanced porous silica materials for biomedical applications // Adv. Funct. Mater. 2020. V. 30. P. 1909539. https://doi.org/10.1002/adfm.201909539
- Lerida-Viso A., Estepa-Fernandez A., García-Fernandez A., Martí-Centelles V., Martínez-Manez R. Biosafety of mesoporous silica nanoparticles; towards clinical translation // Adv. Drug Delivery Rev. 2023. V. 201. P. 115049. https://doi.org/10.1016/j.addr.2023.115049
- He Y., Zhang Y., Sun M., Yang C., Zheng X., Shi C., Chang Z., Wang Z., Chen J., Pei S., Dong W., Shao D., She J. One-pot synthesis of chlorhexidine-templated biodegradable mesoporous organosilica nanoantiseptics // Colloids Surf. B. 2020. V. 187. P. 110653. https://doi.org/10.1016/j.colsurfb.2019.110653
- Brezhnev A., Tang F.-K., Kwan C.-S., Basabrain M.S., Tsoi J.K.H., Matinlinna J.P., Neelakantan P., Leung K.C.-F. One-pot preparation of cetylpyridinium chloride-containing nanoparticles for biofilm eradication // ACS Appl. Bio Mater. 2023. V. 6. P. 1221–1230. https://doi.org/10.1021/acsabm.2c01080
- Дементьева О.В., Семилетов А.М., Чиркунов А.А., Рудой В.М., Кузнецов Ю.И. Золь–гель синтез SiO2-контейнеров на темплате из мицелл анионного ингибитора коррозии и перспективы создания защитных покрытий на их основе // Коллоид. журн. 2018. Т. 80. С. 498–508. https://doi.org/10.1134/S0023291218050051
- Dement’eva O.V., Naumova K.A., Zhigletsova S.K., Klykova, M.V. Somov A.N., Dunaytsev I.A., Senchikhin I.N., Volkov V.V., Rudoy V.M. / Drug-templated mesoporous silica nanocontainers with extra high payload and controlled release rate // Colloids Surf., B. 2020. V. 185. P. 110577. https://doi.org/10.1016/j.colsurfb.2019.110577
- Naumova K.A., Dement’eva O.V., Senchikhin I.N., Rudoy V.M. Mesoporous silica particles based on complex micelles of poorly water-soluble compounds. One simple step to multidrug carriers // Micropor. Mesopor. Mater. 2021. V. 316. 110911. https://doi.org/10.1016/j.micromeso.2021.110911
- Дементьева О.В., Наумова К.А., Шишмакова Е.М., Сенчихин И.Н., Жиглецова С.К., Клыкова М.В., Дунайцев И.А., Козлов Д.А., Рудой В.М. Синтез бифункциональных частиц-контейнеров из кремнезема на мицеллах антисептика с солюбилизированным куркумином и оценка их биологической активности // Коллоид. журн. 2021. Т. 83. С. 623–633. https://doi.org/10.31857/S0023291221060021
- Shishmakova E.M., Ivchenko A.V., Bolshakova A.V., Staltsov M.S., Urodkova E.K., Grammatikova N.E., Rudoy V.M., Dement’eva O.V. Antibacterial bionanocomposites based on drug-templated bifunctional mesoporous silica nanocontainers // Pharmaceutics. 2023. V. 15. P. 2675. https://doi.org/10.3390/pharmaceutics15122675
- Маркова А.А., Плявник Н.В., Морозова Н.Г., Маслов М.А., Штиль А.А. Противоопухолевые фосфатсодержащие липиды и бесфосфорные алкильные катионные глицеролипиды: особенности химической структуры и перспективы разработки препаратов на их основе // Изв. Академии наук. Сер. хим. 2014. № 5. С. 1081–1087.
- Pattni B.S., Chupin V.V., Torchilin V.P. New developments in liposomal drug delivery // Chem. Rev. 2015. V. 115. P. 10938–10966. https://doi.org/10.1021/acs.chemrev.5b00046
- Salehi B., Stojanovic-Radic Z., Matejic J., Sharifi-Rad M., Kumar N.V.A., Martins N., Sharifi-Rad J. The therapeutic potential of curcumin: a review of clinical trials // Eur. J. Med. Chem. 2019. V. 163. P. 527–545. https://doi.org/10.1016/j.ejmech.2018.12.016
- Zhang Y., Liu K., Yan C., Yin Y., He S., Qiu L. Li G. Natural polyphenols for treatment of colorectal cancer // Molecules. 2022. V. 27. P. 8810. https://doi.org/10.3390/molecules27248810
- Маркова А.А., Плявник Н.В., Татарский В.В., Штиль А.А., Серебренникова Г.А. Новые алкильные катионные глицеролипиды с гетероциклическим полярным доменом вызывают нарушения клеточного цикла и гибель клеток лейкоза человека // Биоорг. химия. 2010. Т. 36. С. 574–576.
- Наумова К.А., Дементьева О.В., Зайцева А.В., Рудой В.М. Солюбилизация как способ создания гибридных мицеллярных темплатов для синтеза многофункциональных мезопористых частиц-контейнеров // Коллоид. журн. 2019. Т. 81. С. 478–486. https://doi.org/10.1134/S0023291219040098
- Маркова А.А., Плявник Н.В., Плетнева М.В., Серебренникова Г.А., Штиль А.А. Противоопухолевые бесфосфорные алкильные катионные глицеролипиды с гетероциклическими полярными доменами вызывают значительно меньший гемолиз, чем препарат-прототип эдельфозин // Клиническая онкогематология. 2012. Т. 5. № 2. С. 141–143.
- Дементьева О.В., Румянцева Т.Б., Рудой В.М. Первый пример синтеза кремнеземных нанооболочек на везикулах катионного глицеролипида кандидата в противоопухолевые препараты // Коллоид. журн. 2016. Т. 78. С. 265–268. https://doi.org/10.7868/S0023291216020038
- Dement’eva O.V., Shishmakova E.M., Ivchenko A.V., Staltsov M.S., Markova A.A., Rudoy V.M. Cationic glycerolipid as a templating agent for the synthesis of mesoporous silica nanoparticles // Mendeleev Commun. 2024. в печати.
- Задымова Н.М., Цикурина Н.Н., Потешнова М.В. Солюбилизация перфтордекалина в водных растворах додекаэтоксилированного нонилфенола // Коллоид. журн. 2003. Т. 65. С. 347–351.
- Manolova Y., Deneva V., Antonov L., Drakalska E., Momekova D., Lambov N. The effect of the water on the curcumin tautomerism: a quantitative approach // Spectrochim. Acta. A. 2014. V. 132. P. 815–820. https://doi.org/10.1016/j.saa.2014.05.096
- Zhao Q., Kong D.-X., Zhang H.-Y. Excited-state pKa values of curcumin // Nat. Prod. Commun. 2008. V. 3. P. 229–232. https://doi.org/10.1177/1934578X0800300225
- Gangabhagirathi R., Joshi R. Antioxidant activity of capsaicin on radiation-induced oxidation of murine hepatic mitochondrial membrane preparation // Res. Rep. Biochem. 2015. V. 5. P. 163–171. https://doi.org/10.2147/RRBC.S84270
- McLatchie L.M., Bevan S. The effects of pH on the interaction between capsaicin and the vanilloid receptor in rat dorsal root ganglia neurons // Br. J. Pharmacol. 2001. V. 132. P. 899–908. https://doi.org/10.1038/sj.bjp.0703900
- Pérez-González A., Prejanò M., Russo N., Marino T., Galano A. Capsaicin, a powerful •OH-inactivating ligand // Antioxidants. 2020. V. 9. P. 1247. https://doi.org/10.3390/antiox9121247
- Rangel-Yagui C.O., Hsu H.W.L., Pessoa-Jr A., Costa Tavares L. Micellar solubilization of ibuprofen – influence of surfactant head groups on the extent of solubilization // Braz. J. Pharm. Sci. 2005. V. 41. P. 237–246. https://doi.org/10.1590/S1516-93322005000200012
- Bhat P.A., Dar A.A., Rather G.M. Solubilization capabilities of some cationic, anionic, and nonionic surfactants toward the poorly water-soluble antibiotic drug erythromycin // J. Chem. Eng. Data. 2008. V. 53. P. 1271–1277. https://doi.org/10.1021/je700659g
- Дементьева О.В., Сенчихин И.Н., Седых Э.М., Громяк И.Н., Огарев В.А., Рудой В.М. Мезоструктурированные SiO2-наноконтейнеры, синтезированные на функциональном темплате: емкость и скорость разгрузки // Коллоид. журн. 2016. Т. 78. С. 35–48. https://doi.org/10.7868/S0023291216010055
Supplementary files









