Stability of Ionogels upon Contact with Water: Effect of Polymer Matrix Hydrophobicity and Ionic Liquid Solubility
- Authors: Kotsov S.Y.1, Badulina A.O.1,2, Trufanova E.A.1,3, Taran G.S.1, Baranchikov A.E.1, Nelyubin A.V.1, Malkova A.N.4, Nikiforova M.E.1, Lermontov S.A.4, Ivanov V.K.1
-
Affiliations:
- Институт общей и неорганической химии им. Н.С. Курнакова РАН
- Московский государственный университет им. М.В. Ломоносова
- Высшая школа экономики
- Федеральный исследовательский центр проблем химической физики и медицинской химии
- Issue: Vol 86, No 5 (2024)
- Pages: 579-594
- Section: Articles
- Submitted: 29.11.2024
- Accepted: 29.11.2024
- Published: 15.09.2024
- URL: https://bakhtiniada.ru/0023-2912/article/view/271749
- DOI: https://doi.org/10.31857/S0023291224050063
- EDN: https://elibrary.ru/AASQJC
- ID: 271749
Cite item
Full Text
Abstract
New composite materials (ionogels) have been obtained based on imidazolium ionic liquids immobilized in highly porous polymers, i.e., polyamide 6,6 (nylon 6,6) and low-density polyethylene. A method has been proposed for determining the rate of ionic liquid removal from an ionogel upon contact with water, with this method being based on continuous measuring the conductivity of an aqueous phase. The results of the conductometric measurements have been confirmed by high-performance liquid chromatography data. It has been shown that the stability of ionogels upon contact with water is determined by both the hydrophobicity of a polymer matrix and the solubility of an ionic liquid in water. The highest degree of ionic liquid removal (more than 80%) has been observed for composites based on porous polyamide 6,6 (hydrophilic matrix) and dicyanimide 1-butyl-3-methylimidazolium (completely miscible with water). Ionogels based on lowdensity polyethylene (hydrophobic matrix) and bis(trifluoromethylsulfonyl)imide 1-butyl-3-methylimidazolium (poorly soluble, <1 wt %, in water) have shown the highest stability (washout degree of no more than 53% over 24 h). The method proposed for analyzing the rate of ionic liquid dissolution in water has been used to discuss the mechanism of this process.
Keywords
Full Text
ВВЕДЕНИЕ
Ионные жидкости (ИЖ) представляют собой соли, содержащие объемные органические катионы с разветвленной структурой, благодаря чему они остаются жидкими при относительно низких температурах – до 100°C [1] или уже при комнатной температуре [2] (в зависимости от используемого определения). К уникальным свойствам ионных жидкостей относится сочетание высокой ионной проводимости (10–5–10 мСм/см), пренебрежимо малого давления насыщенных паров, высокой термической (до 400°C), химической и электрохимической стабильности, и высокой растворяющей способности по отношению к веществам, имеющим молекулярное или ионное строение [3, 4]. Совокупность свойств ионных жидкостей обусловливает широкие возможности их практического применения для экстракции и разделения неорганических и органических соединений [5], в качестве растворителей при осуществлении тонкого органического синтеза [6], каталитических процессов [7], электрохимического осаждения [8], для создания химических источников тока [9], энергоемких материалов [10], смазок [11] и др.
Существующие области практического применения ионных жидкостей зачастую подразумевают их непосредственный контакт с водной фазой. Ионные жидкости могут очень хорошо растворяться в воде (вплоть до полного смешения), однако при направленном изменении их структуры (например, введении в состав катионов длинных углеводородных цепочек и неполярных фрагментов) их растворимость в воде существенно снижается [12–14] (например, растворимость бис(трифторометилсульфонил)имида (TFSI) 3-метил-1-октилимидазолия составляет 16 мг/л [15]). Было показано, что растворимость ионных жидкостей на основе 1-алкилзамещенного-3-метилимидазолия (CnMIM) в воде определяется особенностями формирования водородных связей между катионами и молекулами воды с последующей сольватацией [16]. При высоких концентрациях малорастворимые в воде ионные жидкости ведут себя подобно поверхностно-активным веществам, способны формировать мицеллы [17, 18] и жидкие кристаллы [19, 20].
Иммобилизация ионных жидкостей в твердофазных пористых матрицах приводит к получению композитных материалов, называемых ионогелями [21–23]. Ключевым преимуществом ионогелей перед ионными жидкостями является способность сохранять определенную форму, что расширяет спектр возможных применений таких материалов. Как правило, материалы на основе ионогелей не меняют своих характеристик в течение длительного времени [24–29], они зачастую обладают высокой упругостью и эластичностью [30, 31] в сочетании со способностью к самозалечиванию [32]. В то же время наиболее перспективные области применения ионогелей (компоненты носимой электроники [33, 34] и микрофлюидных устройств [35–38], материалы для экстракции и разделения [25, 39], очистки воды [40, 41] и ее опреснения [39], подводных датчиков [42–44]) подразумевают их непосредственный контакт с парами воды или погружение в водную фазу. Такой контакт может приводить к вымыванию ионных жидкостей (даже имеющих крайне низкую растворимость в воде) из объема ионогелей и тем самым к существенному изменению их физико-химических и функциональных свойств. Несмотря на высокую вероятность такого процесса, особенности его протекания остаются практически неизученными.
К настоящему времени известны лишь единичные работы, посвященные анализу факторов, определяющих стабильность ионогелей при контакте с водной фазой. Существенное вымывание ионных жидкостей наблюдалось для ионогелей, созданных на основе пористого диоксида кремния [45, 46] и пористых полимерных материалов [44, 47–49]. В то же время отмечалось, что иммобилизация ионных жидкостей в пористой матрице может приводить к снижению их растворимости в водной фазе по сравнению с чистыми ионными жидкостями. Например, растворимость дицианимида тетрагексиламмония уменьшалась в два раза при его иммобилизации в пористом диоксиде кремния [45]. Повышению стабильности ионогелей в воде также способствует использование гидрофобных пористых матриц [47, 48] или ионных жидкостей с низкой растворимостью [44], однако иммобилизация даже низкорастворимых ионных жидкостей (например, бис(трифторметилсульфонил)имида 1-гексил-3-метилимидазолия) в гидрофильной матрице (например, в гидрофильном пористом SiO2) может приводить к получению материалов, полностью разрушающихся водой [46]. Следует особо отметить подход Янга и др., который позволяет практически полностью предотвратить вымывание ионной жидкости из ионогелей за счет нанесения на их поверхность эластомерного покрытия [50]. К сожалению, такой подход неприемлем в случаях, когда ионная жидкость в составе ионогеля должна непосредственно контактировать с водной фазой.
Вымывание ионной жидкости в водную фазу является принципиальным недостатком практически всех созданных к настоящему времени ионогелей, однако данное обстоятельство практически не обсуждается в литературе. Создание материалов на основе ионогелей с улучшенной стабильностью требует детального анализа процессов разрушения таких материалов, включая анализ вымывания из них ионной жидкости. В настоящей работе предложено использовать кондуктометрический метод для анализа процессов вымывания ионных жидкостей из ионогелей. Этот метод был использован для оценки скорости удаления ионных жидкостей, характеризующихся различной растворимостью в воде, дицианимида 3-метил-1-бутилимидазолия (смешивается с водой [51]) и бис(трифторометилсульфонил)имида 3-метил-1-бутилимидазолия (растворимость ~1 масс. % [51]) из пористых полимерных матриц, имеющих различную гидрофобность – гидрофильного полиамида-6,6 и гидрофобного полиэтилена высокого давления.
ЭКСПЕРИМЕНТАЛЬНАЯ ЧАСТЬ
Реагенты
Для получения высокопористых полимерных матриц использовали гранулированный полиэтилен высокого давления (ПЭВД, ГОСТ 16 337-77, марка “ПЭВД 15803”) и полиамид-6,6 (ПА, Merck, #429171), о-ксилол (ч, 95-47-6, Реахим), N,N-диметилацетамид (ч, АО “Экос-1”), хлорид лития (Alfa Aesar, безводный, 98%) и изопропанол (х.ч., ООО ТД “Химмед”). В качестве ионных жидкостей (ИЖ) использовали дицианимид 3-бутил-1-метилимидазолия (BMIM DCA, CAS 448245-52-1, Macklin, Китай, 97%) и бис(трифторометилсульфонил)имид 3-бутил-1-метилимидазолия (BMIM TFSI, CAS 174899-83-3, Merck, Германия, 98%). Во всех экспериментах использовали деионизованную (Milli-Q) воду.
Получение высокопористых полимеров
Высокопористые полимеры получали растворением исходного гранулированного полимера при нагревании в соответствующем растворителе, его охлаждении и получении лиогеля с последующей сверхкритической сушкой лиогеля.
Лиогели ПА. 1 г гранул ПА добавляли к раствору 0.8 г LiCl в 10 мл N,N-диметилацетамида, нагревали до 130°C при перемешивании, и, после растворения, медленно охлаждали до комнатной температуры. Для очистки от хлорида лития к лиогелям добавляли 30 мл изопропанола, через сутки проводили замену изопропанола. Промывку повторяли 5 раз.
Лиогели ПЭВД. 1 г гранул ПЭВД добавляли к 10 мл о-ксилола, нагревали до 130°C при перемешивании, дожидались растворения, после чего медленно охлаждали. После получения растворитель заменяли на изопропанол аналогично лиогелям ПА.
Полученные лиогели ПА и ПЭВД сушили в сверхкритическом диоксиде углерода. Сверхкритическую сушку проводили в установке, состоящей из насоса высокого давления Supercritical 24 (SSI, США), стального реактора емкостью 50 мл и регулятора обратного давления BPR (Goregulator, Waters, США). Промывку лиогелей сверхкритическим CO2 (150 бар) проводили при температуре 50°C в течение 3 ч. Затем в течение 30–40 мин снижали давление в нагретом автоклаве до атмосферного, автоклав охлаждали и вскрывали.
Получение ионогелей
Из высокопористых полимеров, полученных методом сверхкритической сушки, были приготовлены примерно одинаковые по размерам цилиндрические образцы массой около 100 мг каждый. К ним добавляли ионную жидкость (BMIM DCA или BMIM TFSI), после чего образцы выдерживали в течение суток при 50°C. Образцы ионогелей ПА-DCA, ПА-TFSI и ПЭВД-TFSI готовили при соотношении ионной жидкости и полимера 1 ммоль на 1 г. В связи с тем, что высокопористый гидрофобный ПЭВД (контактный угол смачивания водой 138 ± 1°) не впитывал BMIM DCA, для приготовления образца ПЭВД-DCA высокопористый ПЭВД пропитывали 50 об. % раствором BMIM DCA в ацетонитриле, после чего ацетонитрил удаляли нагревом образца при 70°С под вакуумом.
Дополнительно получили образцы ионогелей с максимально возможным содержанием ионной жидкости (ПА-DCA-M, ПА-TFSI-M и ПЭВД-TFSI-M, для чего высокопористые полимеры погружали в соответствующую ионную жидкость объемом 5 мл и извлекали через 12 ч. Отметим, что согласно предварительно проведенным оценкам, время, необходимое для полного поглощения ионных жидкостей образцами пористых полимеров используемого размера, составляет около 3 ч. Образец ПЭВД-DCA-M получали аналогичным образом, используя 50 об. % раствор BMIM DCA в ацетонитриле.
В табл. 1 указан состав образцов, полученных в настоящей работе.
Таблица 1. Состав образцов ионогелей и высокопористых полимеров
Название образца | Полимер | Ионная жидкость | Масса полимера, г | Масса ИЖ, г | Концентрация ИЖ, ммоль на 1 г полимера |
ПЭВД | ПЭВД | – | 0.1030 | – | – |
ПЭВД-DCA | BMIM DCA | 0.1010 | 0.0207 | 1.0 | |
ПЭВД-DCA-M | BMIM DCA | 0.0963 | 0.3384 | 17.1 | |
ПЭВД-TFSI | BMIM TFSI | 0.1057 | 0.045 | 1.0 | |
ПЭВД-TFSI-M | BMIM TFSI | 0.1038 | 0.6027 | 13.8 | |
ПА | ПА | – | 0.0774 | – | – |
ПА-DCA | BMIM DCA | 0.1018 | 0.0209 | 1.0 | |
ПА-DCA-M | BMIM DCA | 0.1027 | 0.6869 | 32.6 | |
ПА-TFSI | BMIM TFSI | 0.1041 | 0.0437 | 1.0 | |
ПА-TFSI-M | BMIM TFSI | 0.0965 | 1.0342 | 25.6 |
Методика кондуктометрических измерений
Для оценки скорости перехода в водную фазу ионных жидкостей, находящихся в составе ионогелей, использовали кондуктометр Эксперт 002 (НПП “Эконикс”, Россия). Образцы ионогелей, помещенные в стальные крупноячеистые (~16 меш) контейнеры, погружали в 500 мл деионизованной воды при перемешивании на магнитной мешалке (300 об/мин). Датчик кондуктометра помещали в ту же емкость, показания регистрировали в течение 24 ч. Концентрацию ионных жидкостей в водных растворах определяли по предварительно построенным калибровочным зависимостям (рис. 1). Полученные значения коэффициентов, связывающих электропроводность и концентрацию водных растворов ИЖ, k([мкСм/см]/[ммоль/л]), составили 87.9 ± 0.3 (R2 = 0.999, BMIM DCA) и 71.2 ± 0.2 (R2 = 0.999, BMIM TFSI).
Рис. 1. Калибровочные зависимости электропроводности водных растворов ионных жидкостей BMIM DCA (1) и BMIM TFSI (2) (толщина линии соответствует 95% доверительному интервалу)
Дополнительно концентрации ионных жидкостей в воде были измерены методом высокоэффективной жидкостной хроматографии. Анализ проводили с использованием хроматографа Knauer (Германия), снабженного диодно-матричным детектором PDA Smartline 2800 и насосом Smartline 1000. Использовали колонку NanoChrome ChromCore 120 C18 (250×4.6 мм, размер частиц неподвижной фазы 5 мкм), температура колонки 25°С. В качестве подвижной фазы использовали раствор вода : ацетонитрил: трифторуксусная кислота 86.5 : 12.0 : 1.5 (об.), разделение проводили в изократическом режиме, скорость потока составляла 1.1 мл/мин, объем пробы – 20 мкл. Детектирование осуществляли при λ = 212 нм. Количественный анализ проводили согласно ранее опубликованной методике [52].
Методы физико-химического анализа образцов
Скелетную плотность (ρск) образцов определяли с помощью гелиевого пикнометра Thermofisher Pycnomatic ATC (США) при 20°C. Геометрическую плотность (ρгеом) образцов оценивали путем измерения их линейных размеров и массы. Для расчета объемной пористости использовали соотношение:
.
Угол смачивания поверхности образцов водой измеряли с помощью установки Lonroy SDC-350 (КНР) с горизонтальной (0°) стойкой. На анализируемую поверхность помещали каплю объемом ~5 мкл, выдерживали в течение 1 мин, после чего регистрировали изображение. Расчета угла смачивания проводили аппроксимацией формы капли эллипсом по 5 точкам.
Дифрактограммы образцов были получены с использованием порошкового рентгеновского дифрактометра Haoyuan DX2700BH (КНР) в диапазоне дифракционных углов 5–60 °2θ (CuKα излучение).
ИК-спектры получали в режиме нарушенного полного внутреннего отражения (НПВО) с использованием спектрометра Perkin Elmer 65 (США), оборудованного приставкой НПВО Quest ATR (Specac, Великобритания) в диапазоне волновых чисел 400–4000 см–1.
РЕЗУЛЬТАТЫ И ОБСУЖДЕНИЕ
Получение полимерных ионогелей
После сверхкритической сушки образцы высокопористых полимеров ПА и ПЭВД представляли собой монолиты цилиндрической формы белого цвета (рис. 2). В результате их пропитки ионными жидкостями существенных изменений их размера не наблюдали, за исключением образцов ПА-TFSI-M и ПА-DCA-M, продемонстрировавших увеличение линейных размеров, связанное с высокой сорбционной емкостью высокопористого полиамида-6.6 по отношению к соответствующим ионным жидкостям (11 и 7 г/г соответственно). Внешний вид ионогелей после их выдерживания в воде в течение суток несколько изменился по сравнению с исходным состоянием – в них появились макротрещины (например, образец ПА-TFSI), поверхность стала более шероховатой.
Рис. 2. Внешний вид образцов пористых полимеров, а также соответствующих ионогелей до и после контакта с водной фазой в течение 24 ч
Пропитка высокопористых полимеров ионными жидкостями привела к изменению их физических свойств (табл. 2). Во всех случаях такая пропитка приводила к существенному уменьшению объемной пористости, что, очевидно, связано с заполнением жидкостью пор полимера. Наиболее заметное уменьшение пористости полимеров происходило в результате их пропитки максимально возможным количеством ионной жидкости.
Таблица 2. Физические свойства образцов пористых полимерных матриц и полимерных ионогелей
Образец | Геометрическая плотность, ρгеом, г/см3 | Скелетная плотность, ρск, г/см3 | Объемная пористость, P, % | Угол смачивания водой, θc, ° |
Высокопористый ПА | 0.096 ± 0.002 | 1.278 ± 0.004* | 93 ± 3 | 0*** |
ПА-DCA | 0.27 ± 0.01 | 1.37 ± 0.12 | 80 ± 3 | 0*** |
После выдерживания в воде | 0.73 ± 0.09 | 1.31 ± 0.01 | 44 ± 5 | 29 ± 9 |
ПА-DCA-M | 0.81 ± 0.05 | 1.14 ± 0.01 | 29 ± 2 | 14 ± 1 |
После выдерживания в воде | 0.79 ± 0.09 | 1.08 ± 0.01 | 27 ± 3 | 21 ± 2 |
ПА-TFSI | 0.23 ± 0.01 | 1.46 ± 0.05 | 85 ± 7 | 46 ± 1 |
После выдерживания в воде | 0.89 ± 0.05 | 1.11 ± 0.01 | 23 ± 1 | 59 ± 4 |
ПА-TFSI-M | 1.3 ± 0.1 | 1.46 ± 0.01 | 60 ± 2 | 11 ± 1 |
После выдерживания в воде | 0.9 ± 0.1 | 1.12 ± 0.01 | 16 ± 2 | 65 ± 3 |
Высокопористый ПЭВД | 0.184 ± 0.005 | 0.957 ± 0.002** | 81 ± 2 | 138 ± 1 |
ПЭВД-DCA | 0.26 ± 0.02 | 1.09 ± 0.01 | 76 ± 7 | 137 ± 3 |
После выдерживания в воде | 0.49 ± 0.02 | 1.07 ± 0.01 | 54 ± 2 | 112 ± 12 |
ПЭВД-DCA-M | 0.96 ± 0.03 | 1.12 ± 0.01 | 14 ± 1 | 23 ± 2 |
После выдерживания в воде | 0.91 ± 0.06 | 1.07 ± 0.01 | 15 ± 1 | 81 ± 1 |
ПЭВД-TFSI | 0.34 ± 0.01 | 1.06 ± 0.01 | 68 ± 3 | 133 ± 1 |
После выдерживания в воде | 0.32 ± 0.01 | 1.26 ± 0.01 | 75 ± 3 | 144 ± 1 |
ПЭВД-TFSI-M | 1.25 ± 0.01 | 1.37 ± 0.03 | 9 ± 1 | 67 ± 5 |
После выдерживания в воде | 0.21 ± 0.01 | 1.02 ± 0.01 | 79 ± 4 | 138 ± 2 |
* ρск для исходных полимерных гранул ПА-6.6 1.1434 ± 0.004 г/см3.
** ρск для исходных полимерных гранул ПЭВД 0.91364 ± 0.0005 г/см3.
*** Образец быстро впитывал воду.
Угол смачивания ионогелей водой в значительной степени зависел от их состава и составлял от 0 до 138°. В целом, более высокие величины угла смачивания характерны для ионогелей на основе высокопористого ПЭВД или ионогелей, содержащих BMIM TFSI. Это связано как с гидрофобными свойствами, присущими поверхности полиолефинов, в частности, ПЭВД, так и с низкой растворимостью в воде BMIM TFSI (отметим, что низкорастворимые в воде ионные жидкости нередко называют гидрофобными [14]).
Выдерживание ионогелей в воде в течение 24 ч приводило к заметному изменению их характеристик (табл. 2). Для всех образцов, кроме ПЭВД-TFSI и ПЭВД-TFSI-M, наблюдали уменьшение объемной пористости, связанное, по-видимому, с проникновением воды в объем образцов. Отметим, что скелетная плотность таких образцов после выдерживания в воде была достаточно близка к плотности воды (1 г/см3). Напротив, для образцов ПЭВД-TFSI и ПЭВД-TFSI-M выдерживание в воде приводило к увеличению объемной пористости на 7 и 70% соответственно. Данное наблюдение указывает, что погружение этих ионогелей в воду приводило только к удалению из них ионной жидкости, а поглощения воды практически не происходило. Отметим, что после выдерживания ионогелей в воде наибольшие значения углов смачивания были также характерны для материалов на основе ПЭВД или содержащих BMIM TFSI.
Рентгенофазовый анализ образцов (рис. 3) показал, что пропитка высокопористых полимерных матриц ионными жидкостями не приводит к изменению фазового состава полимера. На дифрактограммах высокопористых ПА-6.6 и ПЭВД, а также полученных из них ионогелей, наблюдаются рефлексы, характерные для соответствующих полимеров в кристаллическом состоянии – орторомбической модификации полиэтилена [53] и триклинной (α) модификации полиамида-6.6 [54, 55]. Дифрактограммы индивидуальных ионных жидкостей содержат гало с двумя сильно уширенными компонентами (A и B), соответствующими средним радиусам межчастичных корреляций для ионов с одинаковыми (компонента A) и разными зарядами (компонента B) [56, 57]. Указанные радиусы больше для BMIM TFSI (4.6 Å и 7.1 Å, соответственно), чем для BMIM DCA (3.9 Å и 5.7 Å), что соответствует меньшему размеру дицианимид-иона по сравнению с бис(трифторсульфонил)имид-ионом.
Рис. 3. Дифрактограммы высокопористых полимерных матриц ПА и ПЭВД, а также полученных их них ионогелей, содержащих ионные жидкости BMIM DCA или BMIM TFSI, и ионогелей после длительного (24 ч) контакта с водой. (а) BMIM DCA, (б) BMIM TFSI, (в) ПЭВД, (г) ПА-6,6, (д) ПЭВД-DCA-М, (е) ПЭВД-TFSI-М, (ж) ПЭВД-DCA-M, (з) ПЭВД-TFSI-M. Дифрактограммы: 1 – ионогели до контакта с водой, 2 – ионогели после выдерживания в воде
Дифрактограммы ионогелей являются суперпозицией дифрактограмм индивидуальных высокопористых полимеров и ионных жидкостей. Необходимо подчеркнуть, что для дифрактограмм ионогелей, содержащих BMIM TFSI, максимум компоненты А гало смещен в область больших углов относительно свободной ионной жидкости (12.6–13.5° и 12.2°2θ, соответственно). Такое различие может указывать на меньшие значения радиусов межчастичных корреляций (6.5–7 Å) для ионной жидкости, находящейся в ограниченном пространстве пор полимера (эффект конфайнмента [58–62]) по сравнению со свободной ионной жидкостью (7.1 Å). Дифрактограммы образцов, полученных в результате выдерживания ионогелей в воде, также содержали рефлексы кристаллических полимеров и гало ионной жидкости, однако относительная интенсивность гало была заметно меньше, чем для исходных ионогелей – очевидно, это связано с уменьшением содержания ионной жидкости в результате ее частичного перехода в водную фазу. Отметим, что величина смещения максимума компоненты А гало для образцов, выдержанных в воде, относительно ее положения для исходной ионной жидкости, была максимальной, что может указывать на то, что в таких ионогелях ионная жидкость сохраняется только в порах с наименьшим диаметром.
К сожалению, неразрешенность компонент А и B гало для ионной жидкости BMIM DCA не позволяет сделать заключения о возможном изменении ее структуры при иммобилизации в порах полимерной матрицы.
ИК-спектры ионогелей содержат полосы поглощения соответствующих полимеров и ионных жидкостей (рис. 4). Спектр высокопористого ПЭВД содержит полосы, соответствующие валентным колебаниям CH2-групп (маятниковое при 722 см–1, ножничное при 1466 см–1, симметричное при 2848 см–1 и асимметричное при 2016 см–1) и концевых CH3-групп (зонтичное деформационное при 1374 см–1) [63]. Спектр высокопористого ПА-6.6 содержит полосы, соответствующие колебаниям амидных связей (амид IV/V при 686 см–1, амид III при 1368 см–1 и 1198 см–1, амид II при 1534 см–1), C–N связей (валентные при 1274 см–1, деформационные при 534 см–1), N–C=O групп (валентные при 1144 см–1), C=O групп (валентные при 1632 см–1, веерные при 784 см–1, деформационные при 1468 см–1), N–H связей (валентные при 3298 см–1) и колебаниям связей в углеводородных фрагментах (валентное C–C при 934 см–1, деформационное C–C при 578 см–1 и 934 см–1, веерное CH2 при 1418 см–1 и 1440 см–1, валентное CH2 при 2860 см–1, 2932 см–1, 3072 cм–1) [64–67].
Рис. 4. ИК-спектры высокопористых полимеров, а также соответствующих ионогелей до и после выдерживания в воде в течение суток. Оптическая плотность ионогелей нормирована на интенсивность полос 1466 см–1 (ПЭВД) или 1632 (ПА) см–1. (а) BMIM DCA, (б) ПЭВД-DCA-M, (в) ПА-DCA-М, (г) BMIM TFSI, (д) ПЭВД-TFSI-M, (е) ПА-TSFI-M. Кривые 1 – ионогели до контакта с водой, 2 – ионогели после выдерживания в воде, 3 – спектры соответствующих полимеров
Отнесение полос поглощения в ИК-спектрах образцов ионогелей (рис. 4) приведено в табл. 3 и табл. 4. В целом, положение основных полос поглощения для ионных жидкостей в составе ионогелей соответствует индивидуальным ионным жидкостям. В то же время, для ионогелей на основе BMIM DCA положение полос поглощения аниона (νas(N–C), νas(C≡N), νs(C≡N)) несколько отличается от положения соответствующих полос в ИК-спектре индивидуальной ионной жидкости, что может указывать на взаимодействие между матрицей ионогеля и ионной жидкостью [58]. Отметим, что в ИК-спектрах всех ионогелей, кроме ПЭВД-TFSI-M, приготовленного с использованием гидрофобного высокопористого полиэтилена и малорастворимой в воде ионной жидкости BMIM TFSI, присутствовали колебания молекул воды (3300–3600 см–1).
Таблица 3. Отнесение колебаний в ИК-спектрах ионогелей, относящихся к ионной жидкости (BMIM TFSI)
Частоты максимумов полос поглощения, см–1 | Отнесение полос поглощения | ||||
BMIM TFSI | ПА-TFSI-M | ПЭВД-TFSI-M | |||
До контакта с водой | После выдерживания в воде | До контакта с водой | После выдерживания в воде | ||
510 | 510 | 510 | 512 | 512 | Неатрибутированное колебание в анионе [69] |
570 | 570 | 572 | 570 | 572 | Деформационное CF3 [69] |
610 | 612 | 612 | 616 | 618 | Деформационное SO2 [69] |
652 | 654 | 656 | 654 | 653 | Деформационное S–N–S [69] |
740 | 738 | 734 | 724* | 722* | Валентное симметричное S–N–S [69] |
790 | 790 | 790 | 790 | 788 | Валентное С–S [69] |
842 | 842 | 842 | 844 | 844 | Маятниковое CH3, CH2 [70] |
950 | 936* | 934* | 950 | – | Асимметричные валентные C–N и С–С [69] |
1052 | 1054 | 1054 | 1056 | 1058 | Неатрибутированное колебание TFSI [69] |
1136 | 1136 | 1138 | 1138 | 1140 | Валентное симметричное SO2 [69] |
1178 | 1182 | 1186 | 1190 | 1196 | Деформационные H–C–C и H–C–N в имидазолиевом кольце [71] |
1346 | 1348 | 1350 | 1350 | 1352 | Валентное асимметричное SO2 [69] |
1464 | 1470* | 1470* | 1466* | 1466* | Комбинированное ρ(CH3)+ν(CN) [22] |
1570 | 1572 | 1570 | 1572 | 1572 | Валентное CH2(N) и CH3(N) [22] |
2878 | 2870* | 2864* | 2850* | 2850* | Симметричное валентное CH2 [71] |
2942 | – | 2936* | 2914* | 2914* | Асимметричное валентное CH2 [71] |
2968 | – | – | 2964 | 2960 | Симметричное валентное CH3 [71] |
3122 | 3068* | 3098* | 3118 | – | Валентное C2–H в имидазолиевом кольце [72] |
3158 | 3162 | 3164 | 3140 | 3158 | Валентные C4–H и С5–H в имидазолиевом кольце [72] |
* Наложение на полосу полосы поглощения, обусловленной колебаниями функциональных групп полимера.
Таблица 4. Отнесение колебаний в ИК-спектрах ионогелей, относящихся к ионной жидкости BMIM DCA
Частоты максимумов полос поглощения, см–1 | Отнесение полос поглощения | ||||
BMIM DCA | ПА-DCA-M | ПЭВД-DCA-М | |||
До контакта с водой | После выдерживания в воде | До контакта с водой | После выдерживания в воде | ||
520 | 524 | – | 522 | – | Внеплоскостное асимметричное (N–C≡N) [69] |
622 | 620 | – | 622 | – | |
650 | 654 | – | 652 | – | Деформационное C–N–C [69] |
698 | 688 | – | – | – | Крутильное CH2 [70] |
752 | 750 | – | 752 | – | Асимметричное деформационное H–C–C–H в имидазолиевом кольце + νs(S–N–S) [73] |
844 | 846 | – | 848 | – | Маятниковое CH3, CH2 [70] |
900 | 906 | 906 | 902 | – | Симметричное валентное C–C–C бутильного фрагмента [73] |
948 | 934* | 934* | 946 | – | Асимметричные валентные C–N и С–С [69] |
1024 | – | – | 1024 | – | Комбинированное ä(H–C–C–H) + ñ(CH3) + í(C–N) [70] |
1114 | 1114 | – | 1112 | – | Асимметричное валентное N–C–O [70] |
1166 | 1168 | – | 1168 | 1172 | Крутильное CH2 [70] |
1304 | 1310 | – | 1310 | 1316 | Асимметричное валентное N–C [69] |
1382 | 1372 | – | 1376* | 1374* | Полносимметричное колебание имидазолиевого цикла [22] |
1462 | 1468* | 1468* | 1466* | – | Комбинированное ñ(CH3) + í(CN)[22] |
1570 | 1564 | – | 1570 | – | Валентное CH2(N) и CH3(N) [22] |
1630 sh | – | – | 1642 | 1642 | Деформационное H–O–H [68] |
1742 | 1738 | – | 1742 | – | |
2126 | 2134 | 2146 | 2134 | 2152 | Асимметричное валентное C≡N [٦٩] |
2192 | 2198 | – | 2194 | 2208 | Симметричное валентное C≡N [69] |
2872 | 2868* | 2860* | 2848* | 2848* | Симметричное валентное CH2 [71] |
2938 | 2936* | 2934* | 2916* | 2916* | Асимметричное валентное CH2 [71] |
2962 | – | – | – | – | Симметричное валентное CH3 [71] |
3020 | – | – | 3020 | – | Валентное C2–H в имидазолиевом кольце [72] |
3100 | 3100 | – | 3104 | – | Валентные C4–H и С5–H в имидазолиевом кольце[72] |
3146 | 3152 | – | 3150 | – | Симметричное валентное CH2 [71] |
* Наложение на полосу полосы поглощения, обусловленной колебаниями функциональных групп полимера.
Рассмотрим ИК-спектры образцов ионогелей после выдерживания в воде в течение суток (рис. 4). Можно видеть, что относительная интенсивность колебаний ионных жидкостей снижается относительно исходных ионогелей, что подтверждает удаление ионной жидкости из их состава. Наиболее заметное уменьшение интенсивности полос поглощения наблюдалось для ионогелей, содержащих BMIM DCA, хорошо растворимый в воде. О присутствии в их составе ионной жидкости после выдерживания в воде свидетельствовало наличие в ИК-спектре только лишь полосы поглощения νas(C≡N) при 2146–2152 см–1 (табл. 4). Кроме того, в таких ионогелях присутствовало значительное количество воды (полосы поглощения ν(OH) при ~3380 см–1, δ(H–O–H) при 1640 и 560 см–1) [68]. Напротив, ИК-спектры ионогелей, содержащих BMIM TFSI, после контакта с водой содержали интенсивные полосы поглощения ионной жидкости (в т.ч. δ(CF3), δ(SO2), δ(S–N–S) и др., см. табл. 3), а интенсивность полос поглощения молекул воды оставалась низкой.
Анализ вымывания ионных жидкостей из ионогелей
Необходимо подчеркнуть, что метод кондуктометрии не является специфичным по отношению к растворам ионных жидкостей в воде, поскольку позволяет определить только суммарную электропроводность раствора вне зависимости от природы находящихся в нем ионов. В частности, в ходе синтеза ионогелей на основе высокопористого полиамида-6.6 использовали хлорид лития, присутствие которого в анализируемых образцах может привести к существенному искажению интерпретации данных. Проведенные оценки показывают, что для образцов ионогелей с невысоким содержанием ионной жидкости (1 ммоль/г) электропроводность за счет примесных солей лития (5–10 мкСм/см) может быть сопоставима с электропроводностью за счет растворенной ионной жидкости (15–20 мкСм/см). В связи с этим результаты определения содержания ионных жидкостей в водных растворах, полученные методом кондуктометрии в результате выдерживания в воде всех ионогелей в течение 24 ч, были дополнительно верифицированы методом высокоэффективной жидкостной хроматографии. Эта проверка показала удовлетворительное соответствие экспериментальных данных, полученных двумя независимыми методами (P > 0.95), результаты находились в пределах оцененной погрешности кондуктометрического метода, которая составила ~4%.
Анализ кинетики удаления ионной жидкости из состава ионогелей был проведен для ионогелей, содержащих 1 ммоль/г ионной жидкости (примерно в 15–30 раз меньше сорбционной емкости высокопористых полимеров по отношению к анализируемым ионным жидкостям). Можно ожидать, что в таких ионогелях значительная доля ионной жидкости будет находиться на поверхности пор полимерной матрицы, а не в их объеме.
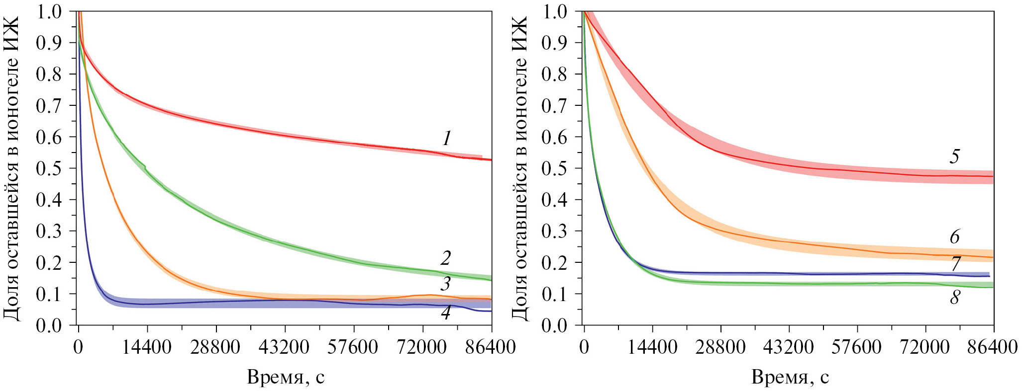
После погружения в воду ионогелей ПА-DCA, ПА-TFSI, ПЭВД-DCA или ПЭВД-TFSI наблюдалось увеличение электропроводности, указывающее на переход ионной жидкости в раствор (рис. 5а). Максимальная скорость удаления ионной жидкости наблюдалась для образца ПА-DCA на основе гидрофильного высокопористого полиамида-6.6, содержащего хорошо растворимый в воде BMIM DCA. Степень удаления ионной жидкости для данного образца превысила 90% менее чем за 2 ч. Для других ионогелей, полученных либо на основе гидрофобного высокопористого полиэтилена высокого давления, либо содержащих малорастворимый в воде BMIM TFSI, вымывание ионной жидкости происходило в существенно меньшей степени. Наибольшую стабильность при контакте с водой продемонстрировал образец ПЭВД-TFSI на основе гидрофобного полимера и малорастворимой ионной жидкости BMIM TFSI, для него степень удаления ионной жидкости за сутки эксперимента составила лишь 53%. Отметим, что данный образец характеризовался и максимальным для всех полученных ионогелей углом смачивания (130–140°, см. табл. 2).
Рис. 5. Зависимости относительного содержания ионных жидкостей в составе ионогелей от продолжительности их выдерживания в воде, построенные на основании данных кондуктометрии, для образцов: а) с исходным содержанием ионных жидкостей 1 ммоль/г; б) с максимально возможным содержанием ионной жидкости. 1 – ПЭВД-TFSI, 2 – ПЭВД-DCA, 3 – ПА-TFSI, 4 – ПА-DCA, 5 – ПЭВД-TFSI-М, 6 – ПА-TFSI-M, 7 – ПЭВД-DCA-M, 8 – ПЭВД-DCA-M. Ширина линий соответствует 95% доверительному интервалу
Процесс вымывания ионной жидкости из состава ионогелей при их контакте с водой можно рассматривать как последовательную диффузию ионной жидкости из объема ионогеля на его поверхность, которая описывается кинетическим уравнением псевдовторого порядка [25, 74–76], и растворение ионной жидкости в воде, протекающее в соответствии с кинетическим уравнением псевдо-первого порядка [77, 78]. В связи с этим для количественного описания кинетики удаления ионных жидкостей из ионогелей использовали следующее кинетическое уравнение [79]:
;
где t (с) – время, n – порядок процесса, kn – константа скорости, qt – текущая концентрация ионной жидкости в водном растворе, qe – максимальная степень удаления ионной жидкости из ионогеля.
Результаты кинетического анализа экспериментальных данных приведены в табл. 5, они удовлетворительно соответствуют сделанным выше наблюдениям. В частности, наибольшую стабильность при контакте с водой показывает образец ПЭВД-TFSI, для которого максимальная степень удаления ионной жидкости составляет 0.49, тогда как для остальных образцов она достигает 0.94–0.95. Следует отметить, что порядок процесса удаления ионной жидкости для ионогелей на основе гидрофобного ПЭВД составляет 2.0, что указывает на то, что данный процесс с высокой вероятностью лимитируется диффузией ионной жидкости в объеме ионогеля к его поверхности. Напротив, для ионогелей на основе высокопористого полиамида-6.6 порядок процесса составляет примерно 1.7, что с учетом физико-химических характеристик соответствующих материалов (пористость, угол смачивания, результаты ИК-спектроскопии и рентгенофазового анализа) позволяет предположить следующий механизм из взаимодействия с водой.
Таблица 5. Параметры кинетического описания результатов удаления ионных жидкостей из ионогелей при выдерживании в воде, приведенных на рис. 5
Образец | Порядок процесса, n | Константа скорости, kn, 1/cn–1∙104 | Максимальная степень удаления ИЖ, qe | R2 |
ПА-DCA | 1.7 | 4.30 | 0.94 | 0.977 |
ПЭВД-DCA | 2.0 | 0.90 | 0.95 | 0.985 |
ПА-TFSI | 1.7 | 0.14 | 0.95 | 0.992 |
ПЭВД-TFSI | 2.0 | 2.48 | 0.49 | 0.949 |
ПА-DCA-M | 1.8 | 1.14 | 0.85 | 0.985 |
ПЭВД-DCA-M | 1.9 | 1.88 | 0.89 | 0.982 |
ПА-TFSI-M | 1.6 | 5.63‧10–3 | 0.80 | 0.998 |
ПЭВД-TFSI-M | 1.6 | 1.23‧10–3 | 0.55 | 0.995 |
При контакте с водой ионогелей на основе гидрофильного полимера (полиамид-6.6) молекулы воды проникают в объем материала, что приводит к гидратации компонентов ионной жидкости, а также к ее вытеснению из ионогеля. В этом случае растворение ионной жидкости происходит уже в объеме ионогеля, что в значительной степени снимает диффузионные ограничения на протекание процесса. Напротив, диффузия молекул воды в объем ионогелей на основе гидрофобного полимера (ПЭВД) в значительной степени затруднена, что и обусловливает описание кинетики растворения ионной жидкости в этом случае уравнением псевдовторого порядка.
Кинетический анализ показывает, что поведение ионогелей с высоким содержанием ионной жидкости при контакте с водой несколько сложнее (рис. 5б), что проявляется в более низком значении величины порядка процесса. По-видимому, основное различие связано с тем, что в ионогелях данного типа ионная жидкость в значительной степени локализована в объеме пор, а не на их поверхности, что значительно облегчает ее диффузию к поверхности материала. В то же время для ионогелей ПЭВД-DCA-М, ПА-DCA-М и ПА-TFSI-М также наблюдаются высокие значения максимальной степени удаления ионной жидкости (0.80–0.89), значительно превосходящие аналогичную величину для ионогеля ПЭВД-TFSI-М (0.55).
ЗАКЛЮЧЕНИЕ
Предложен метод количественного анализа процессов растворения в воде ионных жидкостей, иммобилизованных в составе ионогелей, основанный на изучении проводимости водной фазы, находящейся в контакте с ионогелем. Показано, что ионогели на основе высокопористых полимеров (полиамида-6.6 и полиэтилена высокого давления) и имидазолиевых ионных жидкостей (дицианимида 1-бутил-3-метилимидазолия и бис-(трифторметилсульфонил)имида 1-бутил-3-метилимидазолия) могут при погружении в воду терять более 90% ионной жидкости. Закономерности удаления ионной жидкости из состава ионогелей при контакте с водой (скорость и максимальная степень вымывания) определяются их составом, а именно гидрофобностью полимерной матрицы материала и растворимостью ионной жидкости в воде. Наибольшей стабильностью при контакте с водой обладают полимерные ионогели на основе гидрофобных полимеров и малораствормых ионных жидкостей (например, полиэтилена высокого давления и бис-(трифторметилсульфонил)имида 1-бутил-3-метилимидазолия).
Полученные результаты расширяют арсенал методов анализа практически важных свойств ионогелей и позволяют определить способы создания ионогелей, проявляющих повышенную стабильность при контакте с водой, на основании количественных измерений.
ФИНАНСИРОВАНИЕ РАБОТЫ
Работа выполнена при поддержке проекта РНФ 23-73-00028. Исследования проводили с использованием оборудования ЦКП ФМИ ИОНХ РАН.
СОБЛЮДЕНИЕ ЭТИЧЕСКИХ СТАНДАРТОВ
В данной работе отсутствуют исследования человека или животных.
КОНФЛИКТ ИНТЕРЕСОВ
Авторы данной работы заявляют, что у них нет конфликта интересов.
About the authors
S. Yu. Kotsov
Институт общей и неорганической химии им. Н.С. Курнакова РАН
Email: a.baranchikov@yandex.ru
Russian Federation, Москва
A. O. Badulina
Институт общей и неорганической химии им. Н.С. Курнакова РАН; Московский государственный университет им. М.В. Ломоносова
Email: a.baranchikov@yandex.ru
Russian Federation, Москва; Москва
E. A. Trufanova
Институт общей и неорганической химии им. Н.С. Курнакова РАН; Высшая школа экономики
Email: a.baranchikov@yandex.ru
Russian Federation, Москва; Москва
G. S. Taran
Институт общей и неорганической химии им. Н.С. Курнакова РАН
Email: a.baranchikov@yandex.ru
Russian Federation, Москва
A. E. Baranchikov
Институт общей и неорганической химии им. Н.С. Курнакова РАН
Author for correspondence.
Email: a.baranchikov@yandex.ru
Russian Federation, Москва
A. V. Nelyubin
Институт общей и неорганической химии им. Н.С. Курнакова РАН
Email: a.baranchikov@yandex.ru
Russian Federation, Москва
A. N. Malkova
Федеральный исследовательский центр проблем химической физики и медицинской химии
Email: a.baranchikov@yandex.ru
Russian Federation, Черноголовка
M. E. Nikiforova
Институт общей и неорганической химии им. Н.С. Курнакова РАН
Email: a.baranchikov@yandex.ru
Russian Federation, Москва
S. A. Lermontov
Федеральный исследовательский центр проблем химической физики и медицинской химии
Email: a.baranchikov@yandex.ru
Russian Federation, Черноголовка
V. K. Ivanov
Институт общей и неорганической химии им. Н.С. Курнакова РАН
Email: a.baranchikov@yandex.ru
Russian Federation, Москва
References
- Kaur G., Kumar H., Singla M. Diverse applications of ionic liquids: a comprehensive review // J. Mol. Liq. 2022. V. 351. 118556. https://doi.org/10.1016/j.molliq.2022.118556
- Pandey S. Analytical applications of room-temperature ionic liquids: a review of recent efforts // Anal. Chim. Acta. 2006. V. 556. P. 38–45. https://doi.org/10.1016/j.aca.2005.06.038
- Singh S.K., Savoy A.W. Ionic liquids synthesis and applications: an overview // J. Mol. Liq. 2020. V. 297. 112038. https://doi.org/10.1016/j.molliq.2019.112038
- Välbe R. et al. A novel route of synthesis of sodium hexafluorosilicate two component cluster crystals using BF4- containing ionic liquids // J. Cryst. Growth. 2012. V. 361. P. 51–56. https://doi.org/10.1016/j.jcrysgro.2012.08.043
- AliAkbari R. et al. Recent studies on ionic liquids in metal recovery from e-waste and secondary sources by liquid-liquid extraction and electrodeposition: a review // Mater. Circ. Econ. 2020. V. 2. 10. https://doi.org/10.1007/s42824-020-00010-2
- Itoh T. Ionic liquids as tool to improve enzymatic organic synthesis // Chem. Rev. 2017. V. 117. P. 10567–10607. https://doi.org/10.1021/acs.chemrev.7b00158
- Steinrück H.-P., Wasserscheid P. Ionic liquids in catalysis // Catal. Letters. 2015. V. 145, P. 380–397. https://doi.org/10.1007/s10562-014-1435-x
- Zhang Q. et al. Electrodeposition in ionic liquids // ChemPhysChem. 2016. V. 17(3). P. 335–351. https://doi.org/10.1002/cphc.201500713
- Tang X. et al. Recent development of ionic liquid-based electrolytes in lithium-ion batteries // J. Power Sources. 2022. V. 542. 231792. https://doi.org/10.1016/j.jpowsour.2022.231792
- Zhang Q., Shreeve J.M. Energetic ionic liquids as explosives and propellant fuels: a new journey of ionic liquid chemistry // Chem. Rev. 2014. V. 114, № 20. С. 10527–10574. https://doi.org/10.1021/cr500364t
- Cai M. et al. Ionic liquid lubricants: when chemistry meets tribology // Chem. Soc. Rev. 2020. V. 49(21). P. 7753–7818. https://doi.org/10.1039/D0CS00126K
- Ranke J. et al. Explaining ionic liquid water solubility in terms of cation and anion hydrophobicity // Int. J. Mol. Sci. 2009. V. 10(3). P. 1271–1289. https://doi.org/10.3390/ijms10031271
- Kohno Y., Ohno H. Ionic liquid/water mixtures: from hostility to conciliation // Chem. Commun. 2012. V. 48(57). P. 7119. https://doi.org/10.1039/C2CC31638B
- Freire M.G. et al. Mutual solubilities of water and hydrophobic ionic liquids // J. Phys. Chem. B. 2007. V. 111(45). P. 13082–13089. https://doi.org/10.1021/jp076271e
- Freire M.G. et al. Mutual solubilities of water and the [c n mim][tf 2 n] hydrophobic ionic liquids // J. Phys. Chem. B. 2008. V. 112(6). P. 1604–1610. https://doi.org/10.1021/jp7097203
- Kabanda M.M., Bahadur I. Hydrogen bonding between 1-ethyl-3-methyl-imidazolium dicyanamide ionic liquid and selected co-solvents with varying polarity: a dft study // J. Mol. Liq. 2022. V. 360. 119418. https://doi.org/10.1016/j.molliq.2022.119418
- Jungnickel C. et al. Micelle formation of imidazolium ionic liquids in aqueous solution // Colloids Surfaces A Physicochem. Eng. Asp. 2008. V. 316, P. 278–284. https://doi.org/10.1016/j.colsurfa.2007.09.020
- Vicent-Luna J.M. et al. Micelle formation in aqueous solutions of room temperature ionic liquids: a molecular dynamics study // J. Phys. Chem. B. 2017. V. 121(35). P. 8348–8358. https://doi.org/10.1021/acs.jpcb.7b05552
- Palumbo O. et al. Crystallization of mixtures of hydrophilic ionic liquids and water: evidence of microscopic inhomogeneities // J. Colloid Interface Sci. 2019. V. 552. P. 43–50. https://doi.org/10.1016/j.jcis.2019.05.034
- Ishii Y. et al. Molecular insights on confined water in the nanochannels of self-assembled ionic liquid crystal // Sci. Adv. 2021. V. 7(31). https://doi.org/10.1126/sciadv.abf0669
- Andrzejewska E., Marcinkowska A., Zgrzeba A. Ionogels – materials containing immobilized ionic liquids // Polimery. 2017. V. 62(5). P. 344-352. https://doi.org/10.14314/polimery.2017.344
- Grishina E.P. et al. Composite nanomaterials based on 1-butyl-3-methylimidazolium dicianamide and clays // J. Mater. Res. Technol. 2019. V. 8(5). P. 4387–4398. https://doi.org/10.1016/j.jmrt.2019.07.050
- Noskov A. V. et al. Synthesis, structure and thermal properties of montmorillonite/ionic liquid ionogels // RSC Adv. 2020. V. 10(57). P. 34885–34894. https://doi.org/10.1039/D0RA06443B
- Fan X. et al. Ionogels: recent advances in design, material properties and emerging biomedical applications // Chem. Soc. Rev. 2023. V. 52(7). P. 2497–2527. https://doi.org/10.1039/D2CS00652A
- Kottsov S.Y. et al. Aliquat 336@SiO2 ionogels: synthesis of, and insight into, iron(iii) extraction mechanisms // J. Mol. Liq. 2024. V. 399. 124354. https://doi.org/10.1016/j.molliq.2024.124354
- Agafonov A. V. et al. Effect of synthesis conditions on the properties of an ionic liquid in the 1-butyl-3-methylimidazolium acetate -Na-bentonite ionogel, steric stabilization and con fi nement // J. Mol. Liq. 2020. V. 315. 113703. https://doi.org/10.1016/j.molliq.2020.113703
- Asbani B. et al. High temperature solid-state supercapacitor designed with ionogel electrolyte // Energy Storage Mater. 2019. V. 21. P. 439–445. https://doi.org/10.1016/j.ensm.2019.06.004
- Alekseeva O. et al. Structural and thermal properties of montmorillonite/ionic liquid composites // Materials. 2019. V. 12(16). 2578. https://doi.org/10.3390/ma12162578
- Alekseeva O. V. et al. Enhancing the thermal stability of ionogels: synthesis and properties of triple ionic liquid/halloysite/MCC ionogels // Molecules. 2021. V. 26(20). 6198. https://doi.org/10.3390/molecules26206198
- Liu X. et al. Elastic ionogels with freeze-aligned pores exhibit enhanced electrochemical performances as anisotropic electrolytes of all-solid-state supercapacitors // J. Mater. Chem. A. 2015. V. 3(30). P. 15408–15412. https://doi.org/10.1039/C5TA03184B
- Agafonov A.V. et al. Ionogels: squeeze flow rheology and ionic conductivity of quasi-solidified nanostructured hybrid materials containing ionic liquids immobilized on halloysite // Arab. J. Chem. 2022. V. 15(1). 103470. https://doi.org/10.1016/j.arabjc.2021.103470
- Zhang M. et al. Self-healing, mechanically robust, 3D printable ionogel for highly sensitive and long-term reliable ionotronics // J. Mater. Chem. A. 2022. V. 10(22). P. 12005–12015. https://doi.org/10.1039/D1TA09641A
- Hu A. et al. Wearable sensors adapted to extreme environments based on the robust ionogel electrolytes with dual hydrogen networks // ACS Appl. Mater. Interfaces. 2022. V. 14(10). P. 12713–12721. https://doi.org/10.1021/acsami.2c01137
- Li W. et al. Self-powered wireless flexible ionogel wearable devices // ACS Appl. Mater. Interfaces. 2023. V. 15(11). P. 14768–14776. https://doi.org/10.1021/acsami.2c19744
- Benito-Lopez F. et al. Modular microfluidic valve structures based on reversible thermoresponsive ionogel actuators // Lab Chip. 2014. V. 14(18). P. 3530–3538. https://doi.org/10.1039/C4LC00568F
- Catalan-Carrio R. et al. Ionogel-based hybrid polymer-paper handheld platform for nitrite and nitrate determination in water samples // Anal. Chim. Acta. 2022. V. 1205. 339753. https://doi.org/10.1016/j.aca.2022.339753
- Akyazi T. et al. Fluidic flow delay by ionogel passive pumps in microfluidic paper-based analytical devices // Sensors Actuators B Chem. 2016. V. 233. P. 402–408. https://doi.org/10.1016/j.snb.2016.04.116
- Saez J. et al. Microfluidics and materials for smart water monitoring: a review // Anal. Chim. Acta. 2021. V. 1186. 338392. https://doi.org/10.1016/j.aca.2021.338392
- Rizzo C. et al. Carbohydrate-supramolecular gels: adsorbents for chromium(vi) removal from wastewater // J. Colloid Interface Sci. 2019. V. 548. P. 184–196. https://doi.org/10.1016/j.jcis.2019.04.034
- Marullo S. et al. Ionic liquids gels: soft materials for environmental remediation // J. Colloid Interface Sci. 2018. V. 517. P. 182–193. https://doi.org/10.1016/j.jcis.2018.01.111
- Marullo S., D’Anna F. How ionic liquid gels work on the removal of bisphenol a from wastewater // ACS Mater. Au. 2023. V. 3(2). P. 112–122. https://doi.org/10.1021/acsmaterialsau.2c00066
- Yu Z., Wu P. Underwater communication and optical camouflage ionogels // Adv. Mater. 2021. V. 33(24). 2008479. https://doi.org/10.1002/adma.202008479
- Kang B. et al. Multi-environmentally stable and underwater adhesive dna ionogels enabling flexible strain sensor // Polymer. 2023. V. 272. 125844. https://doi.org/10.1016/j.polymer.2023.125844
- Xu L. et al. A transparent, highly stretchable, solvent‐resistant, recyclable multifunctional ionogel with underwater self‐healing and adhesion for reliable strain sensors // Adv. Mater. 2021. V. 33(51). 2105306. https://doi.org/10.1002/adma.202105306
- Boudesocque S., Viau L., Dupont L. Selective cobalt over nickel separation using neat and confined ionic liquids // J. Environ. Chem. Eng. 2020. V. 8(5). 104319. https://doi.org/10.1016/j.jece.2020.104319
- Horowitz A.I., Wang Y., Panzer M.J. Reclamation and reuse of ionic liquids from silica-based ionogels using spontaneous water-driven separation // Green Chem. 2013. V. 15(12). 3414. https://doi.org/10.1039/C3GC41661E
- Huang T.-Y. et al. Ethanol recovery from dilute aqueous solution by perstraction using supported ionic liquid membrane (silm) // J. Clean. Prod. 2021. V. 298. 126811. https://doi.org/10.1016/j.jclepro.2021.126811
- Jean E. et al. Heavy metal ions extraction using new supported liquid membranes containing ionic liquid as carrier // Sep. Purif. Technol. 2018. V. 201. P. 1–9. https://doi.org/10.1016/j.seppur.2018.02.033
- Zhao Y. et al. Ultra‐Stretchable, adhesive, and anti‐swelling ionogel based on fluorine‐rich ionic liquid for underwater reliable sensor // Adv. Mater. Technol. 2023. V. 8(7). 2201566. https://doi.org/10.1002/admt.202201566
- Yang H., Li C., Tang J. Soft elastomer coatings for ionogels // Extrem. Mech. Lett. 2022. V. 54. 101761. https://doi.org/10.1016/j.eml.2022.101761
- Papaiconomou1 N. et al. Properties of some ionic liquids based on 1-methyl-3-octylimidazolium and 4-methyl-n-butylpyridinium cations. Berkeley, 2005. 12 p.
- Stepnowski P. et al. Reversed-phase liquid chromatographic method for the determination of selected room-temperature ionic liquid cations // J. Chromatogr. A. 2003. V. 993. P. 173–178. https://doi.org/10.1016/S0021-9673(03)00322-4
- Pereira R.A. et al. Comparative study on the lamellar crystal structure of high and low density polyethylenes // Polym. Bull. 1997. V. 38(6). P. 707–714. https://doi.org/10.1007/s002890050109
- Nasr-Esfahani M., Mehrabanian M. HA/nylon 6,6 porous scaffolds fabricated by salt-leaching/solvent casting technique: effect of nano-sized filler content on scaffold properties // Int. J. Nanomedicine. 2011. 1651. https://doi.org/10.2147/IJN.S21203
- Liu X., Wu Q., Berglund L.A. Polymorphism in polyamide 66/clay nanocomposites // Polymer. 2002. V. 43(18). P. 4967–4972. https://doi.org/10.1016/S0032-3861(02)00331-2
- Rocha M.A.A. et al. Alkylimidazolium based ionic liquids: impact of cation symmetry on their nanoscale structural organization // J. Phys. Chem. B. 2013. V. 117(37). P. 10889–10897. https://doi.org/10.1021/jp406374a
- Russina O. et al. Mesoscopic organization in ionic liquids // Top. Curr. Chem. 2017. V. 375(3). 58. https://doi.org/10.1007/s41061-017-0147-2
- Agafonov A.V. et al. The confinement and anion type effect on the physicochemical properties of ionic liquid/halloysite nanoclay ionogels // Arab. J. Chem. 2020. V. 13(12). P. 9090–9104. https://doi.org/10.1016/j.arabjc.2020.10.033
- Borghi F., Podestà A. Ionic liquids under nanoscale confinement // Adv. Phys. X. 2020. V. 5(1). 1736949. https://doi.org/10.1080/23746149.2020.1736949
- Ivanov M.Y., Surovtsev N. V., Fedin M. V. Ionic liquid glasses: properties and applications // Russ. Chem. Rev. 2022. V. 91(3). P. RCR5031. https://doi.org/10.1070/rcr5031
- Agafonov A. V. et al. Cation effects on the properties of halloysite-confined bis(trifluoromethylsulfonyl)imide based ionic liquids // RSC Adv. 2021. V. 11(61). P. 38605–38615. https://doi.org/10.1039/d1ra05466j
- Alekseeva O. et al. Ionic liquid/Na-bentonite/microcrystalline cellulose ionogels as conductive multifunctional materials // Coatings. 2023. V. 13(8). 1475. https://doi.org/10.3390/coatings13081475
- Smith B.C. The infrared spectra of polymers II: polyethylene // Spectroscopy. 2021. P. 24–29. https://doi.org/10.56530/spectroscopy.xp7081p7
- Farias-Aguilar J.C. et al. Low pressure and low temperature synthesis of polyamide-6 (PA6) using Na0 as catalyst // Mater. Lett. 2014. V. 136. P. 388–392. https://doi.org/10.1016/j.matlet.2014.08.071
- Jia F. et al. Thermal, physical and mechanical properties of hydrogenated dimer acid-based nylon 636/nylon 66 copolymers // Chinese Chem. Lett. 2013. V. 24(7). P. 654–658. https://doi.org/10.1016/j.cclet.2013.04.012
- Jasni M.J.F. et al. Fabrication, characterization and application of laccase–nylon 6,6/Fe3+ composite nanofibrous membrane for 3,3′-dimethoxybenzidine detoxification // Bioprocess Biosyst. Eng. 2017. V. 40(2). P. 191–200. https://doi.org/10.1007/s00449-016-1686-6
- Charles J. et al. FTIR and thermal studies on nylon-66 and 30% glass fibre reinforced nylon-66 // E-Journal Chem. 2009. V. 6(1). P. 23–33. https://doi.org/10.1155/2009/909017
- Socrates G. Infrared and raman characteristic group frequencies: tables and charts. Third. Ed. Wiley, 2004. 368 p. https://doi.org/10.1002/jrs.1238
- Paschoal V.H., Faria L.F.O., Ribeiro M.C.C. Vibrational spectroscopy of ionic liquids // Chem. Rev. 2017. V. 117(10). P. 7053–7112. https://doi.org/10.1021/acs.chemrev.6b00461
- Liu J. et al. Molecular dynamics simulations and product vibrational spectral analysis for the reactions of no 2 with 1-ethyl-3-methylimidazolium dicyanamide (EMIM+DCA-), 1-butyl-3-methylimidazolium dicyanamide (BMIM+DCA- ), and 1-allyl-3-methylimidazolium dicya // J. Phys. Chem. B. 2020. V. 124(21). P. 4303–4325. https://doi.org/10.1021/acs.jpcb.0c02253
- Elmahdy M.M. et al. Optical and antibacterial properties of 1-butyl-3-methylimidazolium ionic liquids with trifluoromethanesulfonate or tetrafluoroborate anion // Mater. Chem. Phys. 2021. V. 264. 124369. https://doi.org/10.1016/j.matchemphys.2021.124369
- Liu Z., El Abedin S.Z., Endres F. Raman and ftir spectroscopic studies of 1‐ethyl‐3‐methylimidazolium trifluoromethylsulfonate, its mixtures with water and the solvation of zinc ions // ChemPhysChem. 2015. V. 16(5). P. 970–977. https://doi.org/10.1002/cphc.201402831
- Noack K. et al. The role of the C2 position in interionic interactions of imidazolium based ionic liquids: a vibrational and NMR spectroscopic study // Phys. Chem. Chem. Phys. 2010. V. 12(42). P. 14153. https://doi.org/10.1039/c0cp00486c
- Plazinski W., Dziuba J., Rudzinski W. Modeling of sorption kinetics: the pseudo-second order equation and the sorbate intraparticle diffusivity // Adsorption. 2013. V. 19(5). P. 1055–1064. https://doi.org/10.1007/s10450-013-9529-0
- Lu D. et al. Ionic liquid-functionalized magnetic metal–organic framework nanocomposites for efficient extraction and sensitive detection of fluoroquinolone antibiotics in environmental water // ACS Appl. Mater. Interfaces. 2021. V. 13(4). P. 5357–5367. https://doi.org/10.1021/acsami.0c17310
- Kamaruddin N.A.L., Taha M.F., Wilfred C.D. Synthesis and characterization of novel thiosalicylate-based solid-supported ionic liquid for removal of Pb(II) ions from aqueous solution // Molecules. 2023. V. 28(2). 830. https://doi.org/10.3390/molecules28020830
- Cao Y. et al. Water sorption in ionic liquids: kinetics, mechanisms and hydrophilicity // Phys. Chem. Chem. Phys. 2012. V. 14(35). 12252. https://doi.org/10.1039/c2cp41798g
- Cao Y. et al. Water sorption in functionalized ionic liquids: kinetics and intermolecular interactions // Ind. Eng. Chem. Res. 2013. V. 52(5). P. 2073–2083. https://doi.org/10.1021/ie302850z
- Atkins P., De Paula J., Keeler J. Phsyical chemistry. 12th Ed. Oxford: Oxford University Press, 2023. 976 p.
Supplementary files







