Control of the Wetting Ability of a Material by Local Vibration on the Interfacial Layer
- Autores: Golubina E.N.1, Kizim N.F.1
-
Afiliações:
- Новомосковский институт (филиал) Российского химико-технологического университета имени Д.И. Менделеева
- Edição: Volume 86, Nº 5 (2024)
- Páginas: 549-560
- Seção: Articles
- ##submission.dateSubmitted##: 29.11.2024
- ##submission.dateAccepted##: 29.11.2024
- ##submission.datePublished##: 15.09.2024
- URL: https://bakhtiniada.ru/0023-2912/article/view/271745
- DOI: https://doi.org/10.31857/S0023291224050033
- EDN: https://elibrary.ru/AAZRPS
- ID: 271745
Citar
Texto integral
Resumo
The possibility of controlling the wetting ability of a material synthesized in the interfacial layer of a heterogeneous liquid/liquid system by local vibration has been shown. The influence of the nature of the organic acid, metal and solvent on the contact angle of the interfacial layer material adhering to various substrates was studied. It has been established that with local vibration, a material with a more ordered structure, with higher roughness and lower water content, and, as a consequence, with a higher contact angle, is synthesized. On the studied substrates, hydrophobic coatings with contact angles of 100–163° were obtained, which retained their water-repellent properties under atmospheric conditions for a long time.
Palavras-chave
Texto integral
ВВЕДЕНИЕ
Придание водоотталкивающих свойств защитным покрытиям различного назначения является одной из задач коллоидной химии. Гидрофобные покрытия защищают поверхности от обледенения и предотвращают коррозию металлических материалов [1–6]. Образование льда на поверхности технических устройств ухудшает эксплуатационные характеристики и может привести к нарушению соединения материалов, потери мощности, повреждению авиационного, телекоммуникационного, энергетического и транспортного оборудования [3]. Обледенение является одной из важнейших проблем авиации. Образование льда на передних кромках конструкций летательных аппаратов может привести к заметным изменениям их аэродинамических характеристик [3]. Кроме того, особого внимания заслуживает и проблема обледенения линий электропередач. Наличие льда толщиной 6–7 см на проводах приводит к их обрыву [4]. В строительстве применение гидрофобных материалов предотвратит проникновение воды в конструкцию. Это приведет к отсутствию трещин в бетоне и, в конечном счете, к локальному увеличению прочности конструкции [5]. Создание гидрофобных материалов важно и для оборонных технологий, например, для пропитки палаток, повышения антикоррозионных свойств изделий, т. е., для улучшения эксплуатационных и технических характеристик различных средств вооружения [6, 7].
Водоотталкивающие покрытия необходимы для защиты от воздействия вредных водорастворимых веществ в окружающей среде [8–10].
Разработка способов получения гидрофобных покрытий находится в центре внимания исследователей. Методы их создания можно разделить на две группы: в первой в композицию вводят водоотталкивающие добавки; во второй осуществляют модифицирование материала уже готовым покрытием. Одним из методов, позволяющих получать покрытия, стабильные к изменениям рН и устойчивые к растворителям, является метод химической модификации поверхности. Гидрофобизация оксидных и металлических материалов методом химического модифицирования поверхности описана, в частности, в работе [11]. Установлено, что наиболее эффективные модификаторы представляют собой соединения, содержащие алкильный или фторалкильный радикал и функциональную группу, способную к химическому взаимодействию с подложкой. Авторы [12] получили гидрофобное покрытие (141.8°) на основе смеси, содержащей модифицированные наночастицы и нефторированную акриловую смолу, модифицированную кремнием.
Одним из методов получения материалов с заданной смачиваемостью является межфазный синтез, сущность которого заключается во взаимодействии реагентов, растворенных в отдельных фазах двухфазной жидкостной системы. В межфазном синтезе реакция протекает на границе раздела фаз и образующийся в результате продукт реакции локализуется в одной из несмешивающихся жидкостей или на межфазной границе. Возможность получения межфазным синтезом гидрофобных покрытий на основе ди-(2-этилгексил) фосфатов лантаноидов описана в работах [13–15]. В обзоре [13] обобщены результаты исследований в области межфазного синтеза материалов на границе раздела двух несмешивающихся жидкостей, рассмотрены механизмы формирования межфазных образований, описаны свойства материалов межфазных образований на основе ди-(2-этилгексил) фосфатов лантаноидов, полученных как при локальном колебательном воздействии, так и при его отсутствии. Состояние материала на подложке может быть неустойчивым. Проявление неустойчивости состояния Касси-Бакстера и переход к состоянию Венцеля материала межфазных образований на основе ди-(2-этилгексил) фосфатов лантаноидов, синтезированных как при локальном колебательном воздействии, так и при его отсутствии описан в работе [14]. Получение материала межфазных образований на основе ди-(2-этилгексил) фосфатов металлов с заданной величиной краевого угла путем изменения природы растворителя, соли металла и числа нанесений показано в [15].
Кроме изменения химического состава, для получения гидрофобных покрытий необходимо создавать развитый рельеф поверхности с определенной шероховатостью. В работе [16] показано, что для получения химически стойких покрытий необходим подбор режима подготовки образцов для нанесения гидрофобизатора индивидуально для каждого материала. С использованием наносекундной лазерной обработки с последующим химическим осаждением фтороксисилана из паровой фазы авторам удалось получить супергидрофобные покрытия на поверхности вольфрама и сплава алюминия Д16 с краевым углом более 170°.
Частичная или полная потеря гидрофобных свойств является основной проблемой при разработке водоотталкивающих покрытий. Разрушение топографических элементов поверхности, появление дефектов под влиянием термического или химического воздействия [17] являются причинами снижения гидрофобных свойств. Например, авторы работы [18] получили супергидрофобные покрытия на основе полидиметилсилоксана со значением краевого угла 161°, но не обладающие достаточной когезионной прочностью, вследствие наличия множественных трещин и пор. Каждый цикл заморозки-разморозки приводит к удалению гидрофобизирующей добавки или разрушению покрытия, и, как следствие, снижению гидрофобных свойств [19]. Поиск способов сохранности гидрофобности покрытия также находится во внимании исследователей.
Целью настоящей работы является иллюстрация возможности управления смачивающей способностью материалов межфазных образований на основе солей металлов органических кислот локальным колебательным воздействием в межфазном слое гетерогенной жидкостной системы через изменение структуры материала и шероховатости поверхности материала, перенесенного на подложку, а также оценка сохранности гидрофобных свойств покрытий.
На основании проведенных исследований впервые показано, что локальное колебательное воздействие в межфазном слое приводит к изменению структуры материала межфазных образований на основе стеаратов, миристатов металлов и шероховатости поверхности в системах с органическими кислотами, позволяя получать материалы с заданной смачиваемостью. Впервые показано, что материал межфазных образований, адгезированный к различным подложкам, сохраняет свои гидрофобные свойства во времени.
ЭКСПЕРИМЕНТАЛЬНАЯ ЧАСТЬ
При проведении экспериментов использованы хлориды f-элементов: Pr(III) (CAS No. 10361-79-2), Nd(III) (CAS No. 10024-93-8), Ho(III) (CAS No. 14914-84-2), Yb(III) (CAS No. 19423-87-1) и d-элементов квалификации “х. ч.”: Zn(II) (ГОСТ 4529-78), органические растворители квалификации “х. ч.”: гептан (ТУ 2631-179-44493179-2014), толуол (ТУ 2631-02044493179-98), хлороформ (ТУ 2631-066-44493179-01), декан (ТУ 2631-154-44493179-13) и органические кислоты: стеариновая (CAS No. 57-11-4), миристиновая (CAS No. 544-63-8) и ди-(2-этилгексил) фосфорная кислота (Д2ЭГФК) фирмы Аldrich (CAS No. 298-07-7).
Для изучения влияния механических колебаний на краевой угол использовали пластины из стекла, алюминиевого сплава (дюраль марки Д18), меди (марки М2), железа. Кроме того, материал наносили на алюминиевый и медный провод, хлопчатобумажную ткань и кожу. Перед нанесением материала межфазных образований подложки мыли под проточной водой от пыли и грязи, затем промывали дистиллированной водой, сушили и обезжиривали этиловым спиртом.
Материал межфазных образований был получен следующим образом. В стеклянную ячейку цилиндрической формы с площадью межфазной поверхности 14.18 см2 наливали 8 мл жидкости, плотность которой выше (водный раствор соли или раствор органической кислоты в хлороформе). Затем осторожно по стенке ячейки приливали 2 мл раствора жидкости, плотность которой ниже (раствор органической кислоты в гептане (декане) или водный раствор соли). В случае проведения экспериментов при наличии колебательного воздействия на межфазную поверхность воздух/раствор помещали виброэлемент, изготовленный из фторопласта в сечении в виде треугольной призмы размером 8×5×5 мм, высотой 4 мм. Виброэлемент устанавливали ребром на границу раздела в 5 мм от стенки ячейки и приводили в движение электродинамической головкой, напряжение на клеммы которой подавалось от генератора низкочастотных сигналов.
перенесение материала межфазных образований на пластину проводили способом, подобным способу перенесения на носитель пленок Лэнгмюра-Блоджетт с межфазной поверхности жидкость-воздух. В случае нанесения одного слоя материала сначала устанавливали в ячейку пластинку размером 24×16×2 мм, затем приливали более легкую жидкость и через заданное время медленно извлекали пластинку. Для создания двухслойного покрытия ту же пластинку узким торцом вертикально с помощью микрометрической подачи (с постоянной скоростью ~ 1 мм/с) погружали через слой легкой жидкости и межфазную поверхность в тяжелую жидкость на глубину 10 мм. Выдерживали пластинку в течение 20 с в неподвижном состоянии, а затем медленно извлекали из системы. Извлеченный фрагмент материала межфазных образований промывали водой, органическим разбавителем и высушивали на воздухе.
Краевой угол определяли с помощью оптического анализатора контактного угла ОСА 25 (DataPhysics Instruments GmbH, Германия). Объем выдавливаемой капли воды 3 мкл. Измерение краевого угла проводили через 20 с после нанесения капли воды при температуре ~ 20°С и относительной влажности воздуха в лаборатории 35–40%.
Для построения рельефа модифицированной материалом межфазных образований поверхности и определения средней арифметической шероховатости (Ra) использовали нанотехнологический комплекс NanoTutor (ООО “НТ-СПб”, Россия).
Для определения размера частиц, содержания воды, размерно-морфологических характеристик и структуры материала межфазных образований использовали сухие образцы, предварительно снятые с поверхности пластины.
Размерно-морфологические характеристики образцов материала межфазных образований изучали методом сканирующий электронной микроскопии с использованием электронного микроскопа JSM-IT300LV (Jeol, Япония) с диаметром электронного зонда около 5 нм и током зонда менее 0.5 нА (рабочее напряжение 20 кВ). СЭМ-сканирование проводилось с использованием низкоэнергетических вторичных электронов и обратно рассеянных электронов в низком вакууме для устранения заряда. Подготовку образцов для СЭМ проводили следующим образом. Порошки материала межфазных образований наносили на углеродные двусторонние проводящие ленты. Размер структур, наблюдаемых на СЭМ-изображениях, измерялся как максимальный диаметр их сечения.
Для определения структуры материала межфазных образований регистрировали их рентгенограммы на дифрактометре ДРОН-3 (“Буревестник”, Россия) с CuKα-излучением и графитовым монохроматором на отраженном пучке (источник рентгеновского излучения со следующими параметрами: λ = 1.5406 Å, напряжение на электродах 30 кВ, сила тока 30 мА, углы 2θ в диапазоне 3–50°, шаг изменения угла 0.02° с экспозицией 0.6; скорость 2°/мин; графитовый монохроматор перед детектором). Подготовку образцов для РФА проводили следующим образом. Материал межфазных образований измельчали в агатовой ступке и запрессовывали в кювету прибора. Размер кристаллита определяли по уравнению Селякова-Шеррера [21] с поправками на монохроматичность и режим съемки; долю кристалличности с помощью программы, входящей в комплектацию прибора.
Для определения размера частиц сухие образцы диспергировали в соответствующем растворителе при ультразвуковом воздействии в течение 1 ч. Затем на приборе Nanoflex II (Colloid Metrix GmbH, Германия) записывали кривые распределения частиц по размерам диспергированного в соответствующем растворителе материала межфазных образований и фиксировали средний размер частиц с интенсивностью полного распределения (далее – средний радиус).
Для определения содержания воды в материале (титратор Фишера кулонометрический ПЭ-9210, Экрос, Россия) предварительно сухие образцы растворяли в толуоле. Эксперимент проводили следующим образом. На аналитических весах взвешивали пустой шприц и шприц с растворителем, по разности между значениями находили массу пробы, которую вводили в цифровое окно прибора. Закалывали растворитель в порт ввода пробы ячейки с диафрагмой и начинали титрование. По окончании процесса титрования введенной пробы содержание воды отображается в окне результатов измерения. Аналогично определяли содержание воды в исследуемом образце. По разнице между полученными значениями определяли содержание воды в составе материала межфазных образований.
Для оценки стабильности полученных покрытий при резких изменениях температуры были проведены следующие эксперименты. В пластиковые кюветы, заполненные водой, помещали стеклянную, дюралевую, медную или железную пластинки, покрытые материалом межфазных образований. Систему охлаждали до −20°C в морозильной камере и выдерживали при этой температуре в течение 3 часов, чтобы гарантировать, что вода внутри кювет полностью замерзла. По истечении времени кюветы с образцами извлекали и выдерживали на воздухе при комнатной температуре 24 ± 3°С в течение 3 ч. Затем пластины извлекали, высушивали на воздухе и измеряли краевой угол, и цикл заморозки-разморозки повторяли вновь. Все эксперименты проводились при относительной влажности 42 ± 8%.
Выбор составов исследуемых систем обусловлен рядом причин. Выбор солей металлов основывался на ранее опубликованных результатах [21] и предварительно выполненных нами исследованиях с солями бария, алюминия, железа (III) с ди-(2-этиплгексил) фосфорной кислотой, которые, будучи перенесенными на стеклянную подложку, придавали поверхности гидрофильность. Выбор органических кислот обусловлен их потенциальной пригодностью, доступностью, стоимостью, их физико-химических характеристиках (строение молекул) и двухфазных систем с ними (в частности, межфазного натяжения). Выбор растворителей органических кислот основывался на учете интенсивности развиваемой в системе спонтанной поверхностной конвекции, зависящей от энергетической неоднородности формирующейся поверхности, влияющей на рельеф поверхности материала, переносимого на подложку. По нашему мнению, выбранные составы систем являются представительными для отображения основных закономерностей формирования материала межфазных образований в системах с органическими кислотами.
РЕЗУЛЬТАТЫ И ОБСУЖДЕНИЕ
Межфазный синтез материала межфазных образований основан на протекании химической реакции между катионом металла, находящимся в водном растворе, и молекулами органической кислоты, растворенной в органическом растворителе
,
где НА – органическая кислота (стеариновая, миристиновая или ди-(2-этилгексил) фосфорная).
Соль органической кислоты, образующаяся в результате реакции, не растворима ни в водной, ни в органической фазах. Молекулы возникшей соли адсорбируются на межфазной поверхности, агрегируют, образуя в результате самосборки наночастицы. Поскольку рассматриваемые жирные кислоты являются поверхностно-активными веществами, они способны адсорбироваться на поверхности наночастиц. Образующийся структурно-механический барьер подавляет их дальнейший рост. В межфазном слое системы формируется визуально наблюдаемый материал межфазных образований. Такой представляется химическая картина процесса. Однако ситуация осложняется развитием в системе спонтанной поверхностной конвекции (СПК), возникающей ввиду энергетической неоднородности межфазной поверхности. СПК представляет собой спонтанное движение в области межфазного слоя гетерогенной жидкостной системы. Процесс самосборки наночастиц в данном случае является неуправляемым и, как следствие, свойства наноматериала могут меняться. Воздействие силового поля увеличивает интенсивность движения наночастиц и создает условия для стабилизации, препятствующей их слипанию. Локальный подвод энергии к межфазному слою приводит к большому числу вариантов полученных функциональных наноструктурированных материалов, ввиду формирования структур с разной степенью порядка.
При наложении на систему локального колебательного воздействия в межфазном слое синтезируется материал с более высоким значением краевого угла (рис. 1).
Рис. 1. Зависимость краевого угла материала, перенесенного на стеклянную пластинку, и изменение формы капли воды от времени синтеза в системе 0.10 М водный раствор YbCl3 / 0.05 М раствор стеариновой кислоты в хлороформе при наложении на систему локального колебательного воздействия (1) и его отсутствии (2). Резонансная частота 5.1 кГц
Материал межфазных образований, синтезируемый в поле колебаний, содержит большее количество соли (ди-(2-этилгексил) фосфата, миристата или стеарата) металла. Кроме того, он имеет более высокую шероховатость и долю кристалличности, а также в его составе меньше воды (табл. 1). Локальный подвод механической энергии приводит к изменению рельефа поверхности (рис. 2) и формированию в системе материала более упорядоченной структуры (рис. 3, 4).
Таблица 1. Влияние колебательного воздействия на состав и структуру материала*
Исследуемый параметр | Материал межфазных образований на основе стеарата иттербия | Материал межфазных образований на основе ди-(2-этилгексил) фосфата иттербия | ||
без поля | в поле колебаний | без поля | в поле колебаний | |
Содержание Yb, % | 6.04 ± 0.28 | 8.17 ± 0.31 | 15.6 ± 1.12 | 17.4 ± 0.87 |
Средняя арифметическая шероховатость (Ra), нм | 176.6 ± 23.5 | 251.9 ± 27.4 | 317.3 ± 21.3 | 486.2 ± 22.9 |
Содержание воды, % | 4.70 ± 0.20 | 4.00 ± 0.18 | 4.0 ± 0.15 | 2.5 ± 0.11 |
Доля кристалличности, % | 12.7 ± 0.5 | 17.4 ± 0.4 | 29.2 ± 0.5 | 31.3 ± 0.5 |
Средний радиус частиц, нм | 51.0 | 32.5 | 15.5 | 9.9 |
Индекс полидисперсности | 0.23 ± 0.02 | 0.08 ± 0.01 | 0.20 ± 0.02 | 0.07 ± 0.01 |
Краевой угол, ° | 111.2 ± 2 | 123.5 ± 2 | 122.5 ± 2 | 151.4 ± 2 |
* Система 0.10 М водный раствор хлорида иттербия pH 5.3 / 0.05 М раствор кислоты в гептане. Резонансная частота 6.6 кГц.
Рис. 2. Рельеф поверхности материала межфазных образований на основе стеарата иттербия (а, б) или ди-(2-этилгексил) фосфата иттербия (в, г), перенесенного на стеклянную пластинку, при наложении на систему механического воздействия (б, г) и его отсутствии (а, в). Система 0.10 М водный раствор YbCl3 / 0.05 М раствор стеариновой кислоты или Д2ЭГФК в гептане. Резонансная частота 6.6 кГц
Рис. 3. СЭМ-изображения материала межфазных образований на основе ди-(2-этилгексил) фосфата иттербия, синтезированных при наложении механических колебаний (б) и их отсутствии (а). Система 0.10 М водный раствор YbCl3 / 0.05 М раствор Д2ЭГФК в гептане. Резонансная частота 6.6 кГц
Рис. 4. Фотографические изображения материала межфазных образований на основе ди-(2-этилгексил) фосфата неодима, адгезированного к стеклянной пластинке, синтезированного при наложении на систему локального колебательного воздействия (б) и его отсутствии (а). Система 0.10 М водный раствор NdCl3 / 0.05 М раствор Д2ЭГФК в гептане. Резонансная частота 6.6 кГц
Материал межфазных образований, полученный при локальном колебательном воздействии при межфазном синтезе, имеет индекс полидисперсности менее 0.1, что в соответствии с ISO 22412:2008, указывает на то, что наночастицы являются не агрегированными. Это подтверждает ранее высказанное предположение об усилении относительного движения частиц и подавления процесса их слипания.
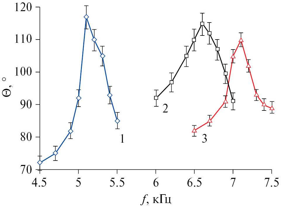
Частоту колебаний виброэлемента, отвечающую точке максимума, на зависимости краевого угла поверхности материала межфазных образований, перенесенного на подложку, назовем “резонансной” (рис. 5). Она сложным образом зависит от свойств системы [21–23]. Величина краевого угла материала межфазных образований на основе стеаратов металлов практически не зависит от природы растворителя. Ранее в работе [23] было показано влияние природы растворителя на краевой угол в системах материала межфазных образований на основе ди-(2-этилгексил) фосфатов металлов при колебательном воздействии.
Рис. 5. Зависимость краевого угла материала, перенесенного на стеклянную пластинку, от частоты колебаний виброэлемента в период его межфазного синтеза в системе 0.10 М водный раствор HoCl3 / 0.05 М раствор стеариновой кислоты в хлороформе (1), гептане (2), декане (3)
В табл. 2, 3 показана возможность модифицирования материалом межфазных образований различных поверхностей. При сохранении одного и того же иона металла материал межфазных образований на основе стеариновой кислоты (С17Н35СООН) имеет более высокие значения краевого угла по сравнению с таковым для миристиновой кислоты (С13Н27СООН), что, по-видимому, обусловлено более длинным углеводородным радикалом, в случае стеариновой кислоты и более высокой гидрофобностью поверхности. Материал межфазных образований на основе Д2ЭГФК (С16Н35РО4) содержит меньше воды (табл. 1) в составе, обладает более высокой шероховатостью и, как следствие, имеет более высокие значения краевого угла. Величина краевого угла материала межфазных образований на основе f-элементов выше по сравнению с d-элементами, что связано с большим количеством соли металла (ди-(2-этилгексил) фосфат, миристат или стеарат металла) и меньшим содержанием воды в составе материала. Кроме того, при использовании солей d-элементов формируется двумерная пленка, а при использовании солей f-элементов – трехмерная, которая является более прочной. Ранее нами [13] было показано, что при переходе от лантана к лютецию материал межфазных образований на основе ди-(2-этилгексил) фосфатов лантаноидов приобретает более гидрофобные свойства, что обусловлено лантаноидным сжатием и, как следствие, более высокой вероятностью образования структуры и более высокой долей кристалличности.
Таблица 2. Модифицирование различных поверхностей материалом межфазных образований, синтезируемым при отсутствии колебательного воздействия*
Материал | Краевой угол (θ), ° | ||||||
без нанесения | при нанесении на поверхность материала на основе | ||||||
стеарата цинка | стеарата иттербия | миристата цинка | миристата иттербия | ди-(2-этил-гексил) фосфата цинка | ди-(2-этил-гексил) фосфата иттербия | ||
Стекло | 27 | 107 ± 2 | 112 ± 2 | 104 ± 2 | 110 ± 2 | 78 ± 2 | 135 ± 3 |
Медный провод | 45 | 105 ± 2 | 108 ± 2 | 103 ± 2 | 108 ± 2 | 81 ± 2 | 115 ± 3 |
Хлопчатобумажная ткань | 0 | 15 ± 2 | 20 ± 2 | 12 ± 2 | 18 ± 2 | 13 ± 2 | 28 ± 1 |
Алюминиевый сплав | 48 | 104 ± 2 | 110 ± 2 | 100 ± 2 | 108 ± 2 | 85 ± 2 | 125 ± 3 |
Кожа | 67 | 99 ± 2 | 107 ± 2 | 93 ± 3 | 100 ± 2 | 84 ± 2 | 115 ± 3 |
Железо | 64 | 105 ± 2 | 107 ± 2 | 102 ± 2 | 108 ± 2 | 79 ± 2 | 112 ± 3 |
* Система 0.10 М водный раствор хлорида металла / 0.05 М раствор кислоты в гептане.
Таблица 3. Модифицирование различных поверхностей материалом межфазных образований, синтезируемым при наложении колебательного воздействия резонансной частоты*
Материал | Краевой угол (θ), ° | ||||||
без нанесения | при нанесении на поверхность материала на основе | ||||||
стеарата цинка | стеарата иттербия | миристата цинка | миристата иттербия | ди-(2-этил-гексил) фосфата цинка | ди-(2-этил-гексил) фосфата иттербия | ||
Стекло | 27 | 112 ± 2 | 118 ± 2 | 105 ± 2 | 112 ± 3 | 89 ± 2 | 163 ± 3 |
Медный провод | 45 | 112 ± 2 | 121± 2 | 107 ± 2 | 110 ± 3 | 90 ± 2 | 121± 2 |
Хлопчатобумажная ткань | 0 | 23 ± 2 | 32 ± 2 | 18 ± 2 | 28 ± 1 | 33 ± 2 | 40 ± 2 |
Алюминиевый сплав | 48 | 110 ± 2 | 115 ± 2 | 105 ± 2 | 112 ± 3 | 89 ± 2 | 122 ± 2 |
Кожа | 67 | 105 ± 2 | 110 ± 2 | 102 ± 3 | 111 ± 3 | 91 ± 2 | 122 ± 2 |
Железо | 64 | 110 ± 2 | 117 ± 2 | 107 ± 2 | 114± 3 | 90 ± 2 | 130 ± 2 |
*Система 0.10 М водный раствор хлорида металла / 0.05 М раствор кислоты в гептане. Резонансная частота 6.6 кГц.
В табл. 4 представлено влияние количества нанесений на величину краевого угла. Второе покрытие увеличивает гидрофобность модифицируемой поверхности, а четвертое – не изменяет значение краевого угла, поскольку ни рельеф поверхности, ни состав приповерхностного слоя после второго покрытия не изменяются.
Таблица 4. Значения краевых углов материалов, перенесенных на стеклянную подложку, через 60 минут от начала опыта*
Материал межфазных образований на основе | Число покрытий | ||
1 | 2 | 4 | |
Краевой угол, ° | |||
ди-(2-этилгексил) фосфата цинка | 72 ± 2 | 78 ± 2 | 78 ± 2 |
ди-(2-этилгексил) фосфата празеодима | 80 ± 3 | 86 ± 2 | 85 ± 3 |
ди-(2-этилгексил) фосфата гольмия | 117 ± 2 | 128 ± 3 | 127 ± 4 |
ди-(2-этилгексил) фосфата иттербия | 132 ± 2 | 135 ± 2 | 137 ± 2 |
стеарата цинка | 102 ± 2 | 104 ± 2 | 104 ± 3 |
стеарата празеодима | 104 ± 2 | 107 ± 2 | 108 ± 2 |
стеарата гольмия | 106 ± 2 | 108 ± 2 | 107 ± 2 |
стеарата иттербия | 107 ± 2 | 110 ± 2 | 111 ± 3 |
* Система: 0.10 М водный раствор хлорида металла рН 5.3 / 0.05 М раствор кислоты в гептане.
После 20 циклов заморозки-разморозки значение краевого угла материала межфазных образований на основе ди-(2-этилгексил) фосфата иттербия, синтезированного при локальном колебательном воздействии, остались постоянными для модифицированной: стеклянной подложки 160 ± 8°, дюралевой и медной 118 ± 7°, железной 127 ± 5°. В случае материала межфазных образований на основе ди-(2-этилгексил) фосфата иттербия, синтезированного при отсутствии локального колебательного воздействия, значение краевого угла уменьшилось для модифицированной: стеклянной подложки со 135 до 118°, дюралевой со 125 до 108°, медной со 115 до 105°, железной со 112 до 105°.
Для полученных покрытий проведен анализ сохранения гидрофобных свойств модифицированных поверхностей и тканей. Материал, нанесенный на алюминиевый и медный провод, хорошо удерживается; гидрофобные свойства модифицированных поверхностей сохраняются в течение длительного времени (рис. 6).
Рис. 6. Изменение краевого угла алюминиевого сплава, модифицированного материалом межфазных образований на основе ди-(2-этилгексил) фосфатов: цинка (1), празеодима (2), гольмия (3), стеаратов: цинка (4), празеодима (5), гольмия (6) от времени. Система 0.10 М водный раствор хлорида металла / 0.05 М раствор стеариновой кислоты или Д2ЭГФК в гептане
Алюминиевый провод, покрытый тонкой пленкой материала межфазного образования, на открытом воздухе (диапазон температур от +10 до –20°C и влажность от 60 до 98%) характеризуется постоянством свойств. Величина краевого угла в течение двух месяцев практически не изменилась, т. е. полученный материал межфазных образований является устойчивым к внешним воздействиям (осадки, солнечные лучи).
Уменьшение краевого угла может быть следствием разрушения топографических элементов и/или вхождением воды в состав материала. Аналогичные данные были получены и для материала межфазных образований на основе стеарата иттербия.
Локальные механические колебания в межфазном слое гетерогенной системы двух несмешивающихся жидкостей оказывают влияние на процесс формирования определенной структуры. Передача энергии вибратора вязкоупругой среде приводит к изменению гидродинамической обстановки в межфазном слое, позволяя создать в системе материал межфазных образований с более упорядоченной структурой и более высоким значением краевого угла. Локальный подвод энергии к межфазному слою разрушает слабые коагуляционные контакты между частицами стеаратов, миристатов или ди-(2-этилгексил) фосфатов металлов. В системе на этой стадии структурообразования преобладают более мелкие наночастицы. Однако энергия механических колебаний недостаточно велика, чтобы воспрепятствовать слипанию более крупных наночастиц, поэтому в системе формируется материал с новой структурой.
Смачивающей способностью материала межфазных образований можно управлять, изменяя параметры внешнего силового поля, природу растворителя, органической кислоты и металла. Полученный межфазным синтезом материал можно использовать для модифицирования изделий, улучшая их функциональные и потребительские качества.
ЗАКЛЮЧЕНИЕ
В работе исследовано влияние локального колебательного воздействия на величину краевого угла материала межфазных образований, полученного методом межфазного синтеза и перенесенного на подложку. Установлено, что в поле колебаний материал межфазных образований является более гидрофобным, что обусловлено более высокой шероховатостью поверхности. В ряду исследуемых органических кислот более высокий краевой угол имеют покрытия на основе ди-(2-этилгексил) фосфатов редкоземельных элементов иттриевой подгруппы. На примере материала межфазных образований на основе стеаратов и ди-(2-этилгексил) фосфатов металлов показано, что растворители для синтеза материала межфазных образований должны быть разными. Материал межфазных образований на основе стеаратов металлов имеет наибольшие значения краевого угла при синтезе в системах с хлороформом, а на основе ди-(2-этилгексил) фосфатов металлов – в системах с гептаном. Показана возможность модифицирования материалом межфазных образований различных поверхностей. Проведен анализ сохранности их гидрофобных свойств. Показано, что материал межфазных образований является устойчивым к внешним воздействиям.
ФИНАНСИРОВАНИЕ РАБОТЫ
Исследование выполнено при финансовой поддержке гранта Правительства Тульской области в сфере науки и техники ДС/104 от 27.09.2023 г. и Министерства науки и высшего образования Российской Федерации в рамках научного проекта “Лаборатория “умных” материалов и технологий”, проект № FSSM-2024-0005.
СОБЛЮДЕНИЕ ЭТИЧЕСКИХ СТАНДАРТОВ
В данной работе отсутствуют исследования человека или животных.
КОНФЛИКТ ИНТЕРЕСОВ
Авторы данной работы заявляют, что у них нет конфликта интересов.
Sobre autores
E. Golubina
Новомосковский институт (филиал) Российского химико-технологического университета имени Д.И. Менделеева
Autor responsável pela correspondência
Email: Elena-Golubina@mail.ru
Rússia, Новомосковск
N. Kizim
Новомосковский институт (филиал) Российского химико-технологического университета имени Д.И. Менделеева
Email: Elena-Golubina@mail.ru
Rússia, Новомосковск
Bibliografia
- Бойнович Л.Б., Емельяненко А.М. Гидрофобные материалы и покрытия: принципы создания, свойства и применение // Успехи химии. 2008. Т. 77. № 7. С. 619–638. https://doi.org/10.1070/RC2008v077n07ABEH003775
- Емельяненко А.М. Супергидрофобные материалы и покрытия: от фундаментальных исследований до практических приложений // Коллоидный журнал. 2022. T. 84. № 4. C. 375–379. https://doi.org/10.31857/S0023291222040036
- Piscitelli F., Chiariello A., Dabkowski D., Corraro G., Marra F., Di Palma L. Superhydrophobic coatings as anti-icing systems for small aircraft // Aerospace. 2020. V. 7. № 1. P. 2. https://doi.org/10.3390/aerospace7010002
- Zhang Z., Xue F., Bai W., Shi X., Liu Ya., Feng L. Superhydrophobic surface on Al alloy with robust durability and excellent self-healing performance // Surface and Coatings Technology. 2021. V. 410. № 3. Р. 126952. https://doi.org/10.1016/j.surfcoat.2021.126952
- Кожухова М.И., Флорес-Вивиан И., Рао С., Строкова В.В., Соболев К.Г. Комплексное силоксановое покрытие для гидрофобизации бетонных поверхностей // Строительные материалы. 2014. № 3. С. 26–30.
- Siengchin S. A review on lightweight materials for defence applications: Present and future developments // Defence Technology. 2023. V. 24. P. 1–17. https://doi.org/10.1016/j.dt.2023.02.025
- Gibson P. Water-repellent treatment on military uniform fabrics: Physiological and comfort implications // Journal of industrial textiles. 2008. V. 38. № 1. Р. 43–54. https://doi.org/10.1177/1528083707087833
- Du X.Q., Liu Y.W., Chen Y. Enhancing the corrosion resistance of aluminum by superhydrophobic silane/graphene oxide coating // Applied Physics A. 2021. V. 127. № 8. Р. 580. https://doi.org/10.1007/s00339-021-04730-3
- Chen Y., Liu Y.W., Xie Y., Zhang H.H., Zhang Z. Preparation and anti-corrosion performance of superhydrophobic silane/graphene oxide composite coating on copper // Surface and Coatings Technology. 2021. V. 423. № 10. P. 127622. https://doi.org/10.1016/j.surfcoat.2021.127622
- Zhe Li, Xinsheng Wang, Haoyu Bai, Moyuan Cao. Advances in bioinspired superhydrophobic surfaces made from silicones: fabrication and application // Polymers. 2023. V. 15. № 3. P. 543. https://doi.org/10.3390/polym15030543
- Лисичкин Г.В., Оленин А.Ю. Гидрофобизация неорганических материалов методом химического модифицирования поверхности // Журнал прикладной химии. 2020. Т. 93. № 1. С. 5–19. https://doi.org/10.31857/S0044461820010016
- Bin Yu, Huicong Liu, Haining Chen, Weiping Li, Liqun Zhu, Weitao Liang A wear and heat-resistant hydrophobic fluoride-free coating based on modified nanoparticles and waterborne-modified polyacrylic resin // RSC Advance. 2023. № 7. P. 4542–4552. https://doi.org/10.1039/D2RA07237H
- Голубина Е.Н., Кизим Н.Ф. Межфазный синтез: морфология, структура и свойства межфазных образований в системах жидкость-жидкость // Журнал физической химии. 2021. Т. 95. № 4. C. 508–528. https://doi.org/10.31857/S0044453721040075
- Kizim N.F., Golubina E.N. Interfacial synthesis of materials with specified hydrophobicity based on REE salts // Surface Review and Letters. 2023. V. 30. № 2. Р. 2350004. https://doi.org/10.1142/S0218625X2350004X
- Кизим Н.Ф., Голубина Е.Н. Гидрофобные материалы на основе солей ди-(2-этилгексил) фосфорной кислоты // Журнал физической химии. 2018. Т. 92. № 3. С. 457–461. https://doi.org/10.7868/S004445371803010X
- Кузина Е.А., Омран Ф.Ш., Емельяненко А.М., Бойнович Л.Б. О важности подбора режима гидрофобизации для получения стойких супергидрофобных покрытий // Коллоидный журнал. 2023. Т. 85. № 1. С. 63–70. https://doi.org/10.31857/S0023291222600614
- Ellinas K., Tserepi A., Gogolides E. Durable superhydrophobic and superamphiphobic polymeric surfaces and their applications: A review // Advances in Colloid and Interface Science. 2017. V. 250. P. 132–157. https://doi.org/10.1016/j.cis.2017.09.003
- Arukalam I. O., Oguzie E. E., Li Y. Nanostructured superhydrophobic polysiloxane coating for high barrier and anticorrosion applications in marine environment // J. Colloid Interface Science. 2018. V. 512. P. 674–685. https://doi.org/10.1016/j.jcis.2017.10.089
- Barthwal S., Lee B., Lim S.-H. Fabrication of robust and durable slippery anti-icing coating on textured superhydrophobic aluminum surfaces with infused silicone oil // Applied Surface Science. 2019. V. 496. ID 143677. https://doi.org/10.1016/j.apsusc.2019.143677
- Кизим Н.Ф., Голубина Е.Н. Спонтанная поверхностная конвекция и скорость экстракции (реэкстракции) в системах с трибутилфосфатом и ди-(2-этилгексил)-фосфорной кислотой // Журнал прикладной химии. 2020. Т. 93. № 7. С. 1005–1011. https://doi.org/10.31857/S0044461820070117
- Голубина Е.Н., Кизим Н.Ф. Практикум и задачник по нанохимии. Тула: Аквариус. 2018. 128 с.
- Рябов Д.Д., Голубина Е.Н., Кизим Н.Ф. Смачиваемость материалов на основе ди-(2-этилгексил) фосфатов металлов // Успехи в химии и химической технологии. 2018. Т. XXXII. № 10. С. 47–49.
- Голубина Е.Н., Кизим Н.Ф. От гидрофильности к гидрофобности поверхности. Варьирование смачиваемости материала на подложке за счет локального колебательного воздействия при межфазном синтезе материала // Журнал физической химии. 2023. Т. 97. № 1. C. 75–80. https://doi.org/10.31857/S0044453723010107
Arquivos suplementares








