Adsorption properties of single gold, nickel and platinum nanoparticles deposited on the silicon surface
- Authors: Gatin A.K.1, Ozerin S.A.1, Ignateva P.K.1,2, Kharitonov V.A.1, Sarvadii S.Y.1, Grishin M.V.1
-
Affiliations:
- Федеральный исследовательский центр химической физики им. Н.Н. Семенова РАН
- Федеральное государственное автономное образовательное учреждение высшего образования “Московский физико-технический институт (национальный исследовательский университет)”
- Issue: Vol 86, No 4 (2024)
- Pages: 436-445
- Section: Articles
- Submitted: 21.11.2024
- Accepted: 21.11.2024
- Published: 15.07.2024
- URL: https://bakhtiniada.ru/0023-2912/article/view/270837
- DOI: https://doi.org/10.31857/S0023291224040031
- EDN: https://elibrary.ru/carqwu
- ID: 270837
Cite item
Full Text
Abstract
Gold, nickel and platinum nanoparticles were synthesized by impregnating the monocrystalline silicon surface with precursors (an aqueous solution of the corresponding salt). The morphology of formed nanostructured coatings has been studied, the electronic structure and adsorption properties of synthesized nanoparticles with respect to H2, O2, and H2O have been determined. It was found that oxidized nickel nanoparticles are reduced by molecular hydrogen, and unalloyed platinum nanoparticles are oxidized by molecular oxygen already at room temperature, which is not observed for particles deposited in a similar way on highly oriented pyrolytic graphite. We also found that the formation of water molecules on gold nanoparticles in interaction with H2 and O2 proceeds in two stages, unlike the three-stage process (sequential exposure in H2, O2, H2) which is characteristic of nanoparticles deposited on graphite. Differences in the adsorption properties of nanoparticles of the same type deposited on graphite and silicon are associated with the adsorption of a significant amount of test gases on the latter.
Keywords
Full Text
ВВЕДЕНИЕ
Использование наночастиц в качестве катализаторов в химической промышленности становится все более широким. При этом новые каталитические системы на основе наночастиц превосходят традиционные как по реакционной способности, так и по селективности. В то же время каталитические свойства наночастиц зависят от ряда факторов: размера, формы, состава, расстояния между нанесенными частицами, степени окисления и природы подложки (носителя) [1, 2]. Причем именно свойства подложки, на которую нанесены наночастицы, во многом определяют их физико-химические свойства. Несмотря на многолетние исследования, механизм влияния подложки на свойства нанесенных наночастиц остается предметом острых дискуссий. Как правило, выделяют следующие факторы: перенос заряда между подложкой и наночастицами [3–9], участие дефектов подложки в протекающих в системе химических процессах [10–18], химический состав подложки [16, 18, 19], перестройка структуры наночастиц [20] и покрытия в целом [21–24]. Однако соотношение вкладов этих факторов для конкретных наноструктурированных систем остается все еще не ясным.
Ранее мы изучали взаимодействие единичных наночастиц золота, никеля и платины, нанесенных на поверхность высокоупорядоченного пиролитического графита (ВОПГ), с тестовыми газами – молекулярными водородом и кислородом, монооксидом углерода, закисью азота. В результате исследований определены продукты адсорбции и взаимодействия газообразных реагентов. Например, установлено, что адсорбция Н2 на золотых наночастицах происходит диссоциативно, начинается на границе золото–ВОПГ и приводит к трансформации их электронного строения от металлического типа к полупроводниковому [25]. Последовательная экспозиция частиц сначала в Н2, затем в О2 и, наконец, снова в Н2 приводит к образованию на их поверхности молекул Н2О [26]. Показано, что окисление наночастиц никеля начинается с вершины – области, наиболее удаленной от интерфейса с подложкой – ВОПГ [25]. Установлено, что при Т = 300 К наночастицы платины слабо подвержены окислению с помощью О2, но активно взаимодействуют с N2O [27]. В то же время восстановление окисленных наночастиц платины с помощью Н2 и СО возможно и при Т = 300 К. Причем в обоих случаях процесс начинается с вершины наночастицы [28]. Исследовано взаимодействие покрытия из золотых и никелевых наночастиц на графите с Н2 и СО в присутствии электрического поля. Установлено, что с помощью электрического поля можно управлять адсорбцией водорода на золоте и восстановлением окисленной поверхности наночастиц никеля монооксидом углерода [29]. Выявлены эффекты, связанные, по нашему мнению, с влиянием подложки на химическую активность наночастиц: заряжение из-за контактной разности потенциалов, искажение атомной решетки примыкающей к подложке области частиц. Роль этих факторов особенно ярка в процессах окисления наночастиц никеля [25]. Цель настоящей работы состояла в определении морфологии наноструктурированных покрытий из золота, никеля и платины, нанесенных на монокристаллический кремний: формы и размеров, а также электронного строения наночастиц. Кроме того, необходимо было определить адсорбционные свойства наночастиц по отношению к Н2, О2 и Н2О.
ЭКСПЕРИМЕНТАЛЬНАЯ ЧАСТЬ
Подробно экспериментальная установка и методы исследования описаны в работе [27]. Эксперименты проведены в сверхвысоковакуумной установке (давление остаточных газов – 2 ⋅ 10–10 торр). Основной инструмент для определения физико-химических свойств единичных наночастиц – сканирующий туннельный микроскоп (СТМ).
Морфология поверхности образцов, форма и размеры единичных наночастиц как в исходном состоянии, так и после взаимодействия с тестовыми газами определены по результатам топографических измерений в СТМ. Для определения электронного строения наночастиц проводились измерения вольт-амперных зависимостей (ВАХ) наноконтактов СТМ как включавших участок поверхности с наночастицей (ВАХ металла), так и без наночастицы (ВАХ кремния) [27]. При этом изменение химического состава наночастиц приводит к изменению формы кривых ВАХ. На каждой наночастице проводились измерения в десятках различных точек поверхности. Кроме того, полученные на одной наночастице данные сопоставлялись с данными, полученными на других наночастицах образцов из той же серии. В качестве зондов СТМ использовались вольфрамовые острия, подготовленные стандартными методами и очищенные в вакууме от оксида и случайных адсорбатов.
Образцы представляли собой пластины полированного монокристаллического кремния марки КДБ, покрытые тонким слоем оксида естественного происхождения с нанесенными на него наночастицами. Для нанесения наночастиц на кремний использовался метод пропитки. Для этого вначале при комнатных условиях на промытую дистиллированной водой поверхность кремния наносили соответствующий прекурсор: водный раствор HAuCl4 – для синтеза наночастиц золота, водный раствор Ni(NO3)2 – для синтеза наночастиц никеля, водный раствор H2PtCl6 – для синтеза наночастиц платины с концентрацией металла 2–2.5 мг/л. После высыхания прекурсора образцы устанавливались в сверхвысоковакуумную камеру и в течение 28–30 ч отжигались при Т = 500–700 К. Было изготовлено 3 серии образцов с наночастицами каждого типа.
Контроль газовой среды внутри сверхвысоковакуумной камеры на всех этапах работы проводили посредством масс-спектрометра. Экспозиция образцов в тестовых газах измерялась в Ленгмюрах (Л), 1 Л = 1 ⋅ 10–6 торр‧с.
РЕЗУЛЬТАТЫ И ИХ ОБСУЖДЕНИЕ
Исследование морфологии наноструктурированных покрытий в СТМ показало, что на подложках образовались многочисленные скопления наночастиц, занимающих приблизительно 10% поверхности кремния.
Наночастицы золота
Методами СТМ определены характеристики золотого наноструктурированного покрытия на кремнии. На рис. 1 приведено изображение поверхности образца, профиль вдоль выделенной линии, а также усредненные ВАХ золота и ВАХ кремния. Единичная наночастица золота имела округлую форму с характерным латеральным диаметром 4–5 нм и высотой до 1 нм. ВАХ золота и кремния обладают практически одинаковой асимметричной формой: правая ветвь кривой растет значительно быстрее левой ветви. Подобная форма характерна для структур типа металл–диэлектрик–полупроводник (МДП-структуры) и отражает распределение носителей заряда в металле (золоте или вольфраме) и прилегающей к нему области кремния [30]. Наблюдаемая ширина области нулевого тока на ВАХ наночастиц составляет 1 В, а величина этого же параметра для подложки – 2 В. Необходимо также отметить, что, согласно литературным данным, работа выхода электрона из кремния φSi = 4.6–4.9 эВ меньше работы выхода электрона из золота φAu = 5.3–5.47 эВ [31], т.е. наночастицы золота на кремнии заряжены отрицательно.
Рис. 1. Наночастицы золота, нанесенные методом пропитки на поверхность окисленного кремния: а – топографическое изображение участка поверхности, б – профиль вдоль линии, указанной на топографическом изображении, в – усредненные ВАХ кремния (кривая 1) и золота (кривая 2).
Результаты спектроскопических измерений в СТМ, выполненных после экспозиции образцов с охарактеризованными выше наночастицами в тестовых газах и демонстрирующие их адсорбционные свойства по отношению к молекулярным водороду и кислороду, а также парам воды, представлены на рис. 2.
Рис. 2. ВАХ наночастиц золота, измеренные после экспозиции в Н2 (а), О2 (б) и Н2О (в).
После экспозиции в Н2 существенных изменений формы ВАХ наночастиц золота не произошло. Из сравнения кривых на рис. 1в и рис. 2а видно, что ни форма кривых, ни соотношение туннельных токов, измеренных на кремнии (кривая 1) и золотых наночастицах (кривая 2) качественно не изменились. Тем не менее после экспозиции в Н2 ширина области нулевого тока на ВАХ наночастиц увеличилась и составила примерно 2 В. Аналогичные результаты получены при исследовании взаимодействия с Н2 наночастиц золота, нанесенных на ВОПГ [26]. В этой работе показано, что в результате адсорбции атомов Н на поверхности золотых наночастиц происходит локальная перестройка электронного строения наночастиц. При больших экспозициях (порядка 2000 Л) адатомы водорода покрывают всю поверхность наночастицы, вызывая трансформацию ее электронного строения. Таким образом, можно заключить, что наночастицы золота, нанесенные на окисленный кремний, в результате экспозиции в Н2 покрылись слоем адатомов водорода.
После экспозиции в О2 на некоторых ВАХ наночастиц проявились характерные особенности – локальные максимумы. Пример таких кривых приведен на рис. 2б. Расстояние между локальными максимумами составляет приблизительно 0.44 В, что близко к значению кванта электронно-колебательного возбуждения О–Н связи (0.42 эВ). На кривых ВАХ также присутствуют особенности меньшего масштаба, расстояния между которыми приблизительно равны 0.2 В, что соответствует кванту деформационного колебания молекулы воды (0.2 эВ). Следовательно, на поверхности наночастиц в результате взаимодействия адсорбированных водорода и кислорода образовались единичные молекулы Н2О. Такой же результат получен ранее при исследовании взаимодействия Н2 и О2 на золотых наночастицах, нанесенных на ВОПГ [32]. Однако подложка вносит существенный вклад в ход реакции на золотых наночастицах, нанесенных на ВОПГ и окисленный кремний. В первом случае молекулы Н2О образуются в результате трехстадийного процесса (последовательная выдержка в Н2, затем в О2 и снова в Н2), а во втором Н2О образуется в ходе описанного выше двухстадийного процесса. По-видимому, это различие обусловлено химической активностью кремния по отношению к использованным тестовым газам. В частности, подложка может стать источником атомарных водорода и кислорода [33–35]. Образование воды на кремнии с последующей миграцией молекул на золотые наночастицы маловероятно, т.к. на кремнии ВАХ с характерными особенностями не зафиксированы. Также следует отметить, что количество ВАХ золота с локальными максимумами невелико, а подавляющее большинство ВАХ золота соответствует кривой 2 на рис. 1в. Это означает, что поверхность золотых наночастиц в основном освободилась от адатомов водорода и на золоте осталось незначительное количество молекул Н2О, которые, по-видимому, связаны с дефектами на поверхности частиц.
Перед следующим экспериментом образец был прогрет в вакууме, в результате чего он вернулся в состояние, которое охарактеризовано на рис. 1в. После экспозиции в парах воды (выдержка – 2000 Л) на ВАХ золота появились те же особенности, что возникли на предыдущем этапе экспериментов после последовательной экспозиции образца в Н2 и О2. Таким образом, этот эксперимент подтверждает вывод о возможности нахождения молекул воды, образовавшихся из адсорбированных на поверхности золотых наночастиц атомов Н и О.
Наночастицы никеля
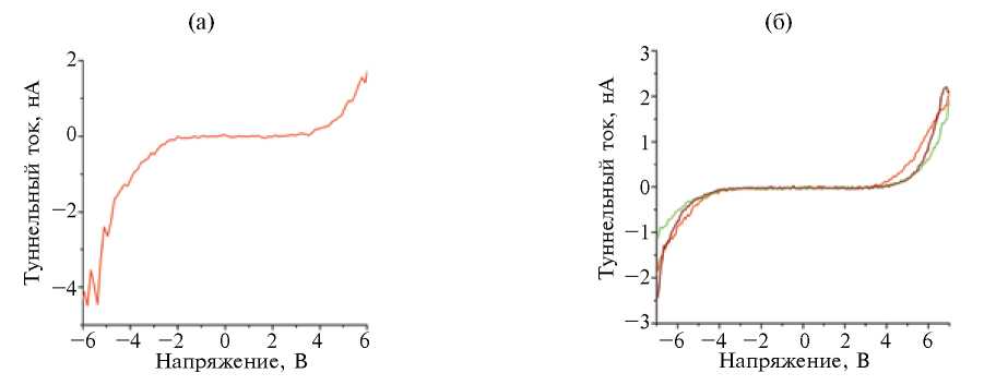
При исследовании поверхности окисленного кремния, содержавшей наноструктурированный никель, обнаружены многочисленные наночастицы округлой формы диаметром 3–4 нм и высотой около 1.5 нм (рис. 3). На ВАХ никеля, представленных на рис. 3в, имеется участок нулевого тока шириной 3.2 В. Это указывает на то, что электронное строение наночастиц имеет полупроводниковый тип. Действительно, эксперименты с наноструктурированным никелевым покрытием на ВОПГ показали, что наночастицы никеля покрыты слоем оксида NiO с шириной запрещенной зоны порядка 3.2 эВ [36]. Ветви кривых ВАХ никеля и кремния практически симметричны относительно V = 0 В. В соответствии с данными [31], работы выхода электрона из кремния и никеля (φNi = = 5–5.4 эВ) довольно близки. С учетом того обстоятельства, что значение запрещенной зоны кремния составляет 1.12 эВ [37], заряжение наночастиц никеля практически не происходит.
Рис. 3. Окисленный монокристалл кремния с нанесенными наночастицами никеля: а –топографическое изображение участка поверхности, б – профиль вдоль линии, указанной на топографическом изображении, в – ВАХ подложки (кривая 1) и наночастиц (кривая 2).
Экспозиция образца в Н2 (выдержка – 2000 Л) привела к сокращению участка нулевого тока на кривой ВАХ никеля до 2 В (рис. 4а). Согласно литературным данным [38, 39], водород адсорбируется на окисленной поверхности НЧ никеля, нанесенных на кремний, и взаимодействует с атомами кислорода, восстанавливая оксид никеля на поверхности наночастиц. Этот процесс сопровождается уменьшением ширины участка нулевого тока до 2 В, т.е. значения участка нулевого тока на ВАХ, измеренной на окисленном кремнии. Кроме того, кривые ВАХ никеля приобрели асимметричную форму, что косвенно свидетельствует об образовании контакта типа металл-полупроводник, подобно описанного выше для золотых наночастиц на кремнии. Вероятно, в результате взаимодействия водорода с окисленными наночастицами никеля произошло полное восстановление последних. Необходимо отметить, что в условиях нашего эксперимента при Т = 300 К подобные наночастицы Ni, нанесенные на поверхность ВОПГ, не восстанавливались [40]. По-видимому, причиной восстановления поверхностного оксида на наночастицах никеля является химическая активность подложки – окисленного кремния.
Рис. 4. ВАХ никеля, нанесенных на поверхность окисленного кремния (а) после экспозиции в Н2 и (б) после экспозиции в H2O.
В результате экспозиции в парах воды (выдержка – 2000 Л) на ВАХ никеля появился участок нулевого тока шириной более 3 В, что соответствует оксиду с запрещенной зоной шириной 3 эВ (рис. 4б). Кроме того, кривые ВАХ стали опять симметричными относительно начала координат. Эти два обстоятельства свидетельствуют о том, что наночастицы никеля вернулись в окисленное состояние. Действительно, согласно результатам исследования [41], на поверхности никеля происходит диссоциативная адсорбция воды с выделением газообразного молекулярного водорода и химически активного адсорбированного кислорода. Таким образом, в результате взаимодействия с Н2О наночастицы никеля могут покрываться оксидом, возможно, нестехиометрическим.
Наночастицы платины
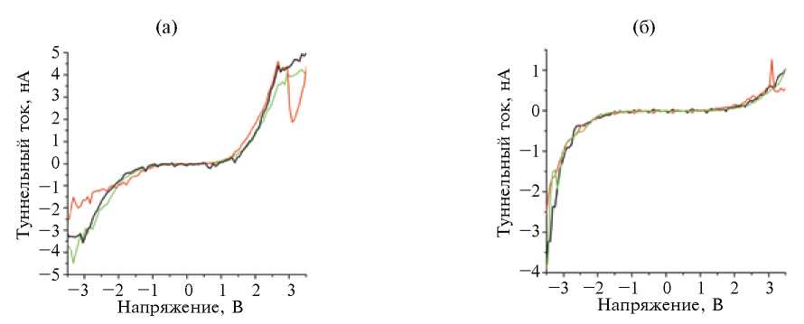
Исследование в СТМ поверхности образцов с платиной, нанесенной методом пропитки, показало, что на окисленной поверхности монокристаллического кремния образовались многочисленные сфероидные наночастицы диаметром около 5 нм и высотой 0.8–1.2 нм (рис. 5а и б). Электронное строение наночастиц определено по результатам спектроскопических измерений и соответствует полупроводнику с шириной запрещенной зоны около 1.8–2.0 эВ: на ВАХ виден участок нулевого тока шириной 1.8–2 В (рис. 5в). В наибольшей степени такому полупроводнику соответствует оксид платины – β-PtO2 [42]. Следует отметить, что в отличие от наночастиц золота и никеля вблизи контакта наночастиц платины с подложкой – монокристаллом кремния – возможно образование силицида платины PtSi [43]. При этом отмечено, что кислород, в том числе в составе оксидной пленки, резко снижает вероятность образования силицида платины.
Рис. 5. Окисленный монокристалл кремния с нанесенными наночастицами платины: а –топографическое изображение участка поверхности, б – профиль вдоль линии, указанной на топографическом изображении, в – ВАХ подложки (кривая 1) и наночастиц (кривая 2).
Исследования взаимодействия наночастиц платины с молекулярными водородом и кислородом показали, что в результате экспозиции в Н2 (выдержка – 2000 Л) происходит уменьшение участка нулевого тока до 1.1 В (рис. 6а). На этом рисунке представлены несколько кривых ВАХ платины, измеренные на разных наночастицах. Однако дальнейшая экспозиция образца в водороде не оказывает существенного влияния на форму кривой ВАХ. Вероятно, это означает, что произошло восстановление поверхностного оксида на наночастицах Pt (полное или частичное), а указанная область нулевого тока связана с электронной структурой монокристаллического кремния, ширина запрещенной зоны которого составляет 1.12 эВ [37]. Следовательно, адсорбционные характеристики окисленных НЧ Pt на кремнии по отношению к Н2 аналогичны таковым, нанесенным на ВОПГ.
Рис. 6. ВАХ наночастиц платины, нанесенных на поверхность окисленного кремния (а) после экспозиции в Н2, (б) после экспозиции в O2.
Возникает закономерный вопрос: почему кривая ВАХ в данном случае имеет симметричный вид и резко отличается от подобных зависимостей, измеренных для наночастиц золота и никеля? Скорее всего это связано с образованием силицида платины на интерфейсе двух материалов [44]. При этом соотношение концентраций атомов Si и Pt на интерфейсе меняется не скачком, а довольно плавно, что и обеспечивает достаточно хорошую проводимость контакта наночастицы и подложки.
Взаимодействие наночастиц Pt с О2 (экспозиция – 2000 Л) приводит к увеличению ширины участка нулевого тока на ВАХ платины до 2–2.2 В, примеры кривых приведены на рис. 6б. На рисунке представлены кривые ВАХ, измеренные на разных наночастицах платины. Это означает, что на поверхности наночастиц образовался полупроводник с шириной запрещенной зоны 2–2.2 эВ. Полупроводником с такими характеристиками может являться β-PtO2. Т.е. произошло повторное образование оксида на поверхности наночастиц платины. Их окисление оказалось возможным уже при Т = 300 К в отличие от окисления наночастиц платины на ВОПГ, которое возможно только при увеличении температуры образца до Т = 700 К [27]. Как и в случае наночастиц никеля, наиболее вероятной причиной различия адсорбционных и реакционных свойств наночастиц платины, нанесенных на ВОПГ и кремний, стала химически активная подложка – окисленный кремний.
Таким образом, можно заключить, что взаимодействие наночастиц, нанесенных на подложки различной природы, с тестовыми газами происходит по-разному. Например, нанесенные на кремний наночастицы платины окисляются кислородом, а окисленные наночастицы никеля восстанавливаются водородом в сравнительно мягких условиях (при Т = 300 К), что не происходит с этими же наночастицами, нанесенными на ВОПГ. Также на поверхности нанесенных на кремний наночастиц золота оказывается возможным синтез воды в результате двухэтапного процесса, в отличие от трехэтапного, протекающего на наночастицах золота на ВОПГ. Наиболее значимым фактором, отличающим графит и кремний, является химическая активность подложки. Поверхность ВОПГ инертна ко всем использованным в работе тестовым газам, а окисленная поверхность кремния способна адсорбировать значительное количество водорода [33, 34]. Избыток атомарного водорода может стать причиной как двухэтапного процесса образования воды на наночастицах золота, так и восстановления окисленной поверхности наночастиц никеля при Т = 300 К. Эти соображения справедливы и в отношении кислорода [35], что позволяет объяснить “легкое” окисление наночастиц платины при Т = 300 К. Таким образом, химическая активность подложки – окисленного кремния – оказалась значимым фактором, определяющим адсорбционные свойства нанесенных наночастиц.
ЗАКЛЮЧЕНИЕ
Определены форма и размеры, а также электронное строение и адсорбционные свойства наночастиц золота, никеля и платины, нанесенных на поверхность окисленного кремния методом пропитки по отношению к Н2, О2, Н2О. Наночастицы всех трех типов имеют округлую форму с характерным диаметром 3–5 нм и высотой 1–2 нм. Наночастицы золота не содержат примесей и адсорбатов на своей поверхности, а наночастицы никеля и платины окислены. Установлено, что молекулярный водород адсорбируется на наночастицах всех трех типов. При этом окисленные наночастицы никеля и платины восстанавливаются до металлического состояния, а электронное строение золотых наночастиц трансформируется от металлического к полупроводниковому. Экспозиция образцов с металлическими наночастицами золота и платины в молекулярном кислороде приводит к образованию на золоте молекул Н2О и оксидного слоя на поверхности платины. Вода может адсорбироваться на металлических наночастицах золота без диссоциации, но в то же время пары воды окисляют металлические наночастицы никеля. Показано, что адсорбционные свойства наночастиц зависят от природы подложки. В частности, нанесенные на кремний окисленные наночастицы никеля восстанавливаются молекулярным водородом, а беспримесные наночастицы платины окисляются молекулярным кислородом уже при Т = 300 К, что не наблюдается для частиц, нанесенных аналогичным способом на ВОПГ. Кроме того, образование молекул воды на наночастицах золота при взаимодействии с Н2 и О2 протекает в две стадии в отличие от трехстадийного процесса (последовательная экспозиция в Н2, О2, и повторно в Н2), характерного для наночастиц, нанесенных на ВОПГ. Наиболее вероятной причиной различия адсорбционных свойств наночастиц одного элементного состава, нанесенных на подложки различной природы (ВОПГ и кремний), является способность подложки адсорбировать тестовые газы в значительном количестве на своей поверхности.
ФИНАНСИРОВАНИЕ РАБОТЫ
Работа выполнена при финансовой поддержке РНФ (грант 21-73-20010).
СОБЛЮДЕНИЕ ЭТИЧЕСКИХ СТАНДАРТОВ
В данной работе отсутствуют исследования человека или животных.
КОНФЛИКТ ИНТЕРЕСОВ
Авторы заявляют, что у них нет конфликта интересов.
About the authors
A. K. Gatin
Федеральный исследовательский центр химической физики им. Н.Н. Семенова РАН
Email: mvgrishin68@yandex.ru
Russian Federation, ул. Косыгина, 4, корп. 1, Москва, 119991
S. A. Ozerin
Федеральный исследовательский центр химической физики им. Н.Н. Семенова РАН
Email: mvgrishin68@yandex.ru
Russian Federation, ул. Косыгина, 4, корп. 1, Москва, 119991
P. K. Ignateva
Федеральный исследовательский центр химической физики им. Н.Н. Семенова РАН; Федеральное государственное автономное образовательное учреждение высшего образования “Московский физико-технический институт (национальный исследовательский университет)”
Email: mvgrishin68@yandex.ru
Russian Federation, ул. Косыгина, 4, корп. 1, Москва, 119991; пер. Институтский, 9, Долгопрудный, Московская обл., 141701
V. A. Kharitonov
Федеральный исследовательский центр химической физики им. Н.Н. Семенова РАН
Email: mvgrishin68@yandex.ru
Russian Federation, ул. Косыгина, 4, корп. 1, Москва, 119991
S. Y. Sarvadii
Федеральный исследовательский центр химической физики им. Н.Н. Семенова РАН
Email: mvgrishin68@yandex.ru
Russian Federation, ул. Косыгина, 4, корп. 1, Москва, 119991
M. V. Grishin
Федеральный исследовательский центр химической физики им. Н.Н. Семенова РАН
Author for correspondence.
Email: mvgrishin68@yandex.ru
Russian Federation, ул. Косыгина, 4, корп. 1, Москва, 119991
References
- Roldan Cuenya B. Synthesis and catalytic properties of metal nanoparticles: Size, shape, support, composition, and oxidation state effects // Thin Solid Films. 2010. V. 518. № 12. P. 3127–3150. https://doi.org/10.1016/j.tsf.2010.01.018
- Joudeh N., Linke D. Nanoparticle classification, physicochemical properties, characterization, and applications: A comprehensive review for biologists // Journal of Nanobiotechnology. 2022. V. 20. № 1. P. 262. https://doi.org/10.1186/s12951-022-01477-8
- Hakkinen H., Abbet W., Sanchez A., Heiz U., Landman U. Structural, electronic, and impurity-doping effects in nanoscale chemistry: Supported gold nanoclusters // Angewandte Chemie International Edition. 2003. V. 42. № 11. P. 1297–1300. https://doi.org/10.1002/anie.200390334
- Pillay D., Hwang G.S. Growth and structure of small gold particles on rutile TiO2 (110) // Phys. Rev. B. 2005. V. 72. № 20. P. 205422. https://doi.org/10.1103/PhysRevB.72.205422
- Sanchez A., Abbet S., Heiz U., Schneider W.D., Hakkinen H., Barnett R.N., Landman U. When gold is not noble: nanoscale gold catalysts // The Journal of Physical Chemistry A. 1999. V. 103. № 48. P. 9573–9578. https://doi.org/10.1021/jp9935992
- Rodriguez J.A., Liu G., Jirsak T., Hrbek J., Chang Z.P., Dvorak J., Maiti A. Activation of gold on titania: Adsorption and reaction of SO2 on Au/TiO2 (110) // Journal of the American Chemical Society. 2002. V. 124. № 18. P. 5242–5250. https://doi.org/10.1021/ja020115y
- Liu P., Nørskov J.K. Ligand and ensemble effects in adsorption on alloy surfaces // Physical Chemistry Chemical Physics. 2001. V. 3. № 17. P. 3814–3818. https://doi.org/10.1039/B103525H
- Carlsson A.F., Naschitzki M., Bäumer M., Freund H.-J. The structure and reactivity of Al2O3-supported cobalt–palladium particles: A CO-TPD, STM, and XPS study // The Journal of Physical Chemistry B. 2003. V. 107. № 3. P. 778–785. https://doi.org/10.1021/jp021966v
- Besenbacher F., Chorkendorff I., Clausen B.S., Hammer B., Molenbroek A.M., Nørskov J.K., Stensgaard I. Design of a surface alloy catalyst for steam reforming // Science. 1998. V. 279. № 5358. P. 1913–1915. https://doi.org/10.1126/science.279.5358.1913
- Rodriguez J.A., Liu P., Hrbek J., Evans J., Perez M. Water gas shift reaction on Cu and Au nanoparticles supported on CeO2 (111) and ZnO (000): Intrinsic activity and importance of support interactions // Angewandte Chemie International Edition. 2007. V. 46. № 8. P. 1329–1332. https://doi.org/10.1002/anie.200603931
- Yoon B., Hakkinen H., Landman U., Worz A.S., Antonietti J.M., Abbet S., Judai K., Heiz U. Charging effects on bonding and catalyzed oxidation of CO on Au8 clusters on MgO // Science. 2005. V. 307. № 5708. P. 403–407. https://doi.org/10.1126/science.1104168
- Yan Z., Chinta S., Mohamed A.A., Fackler J.P., Goodman D.W. The role of F-centers in catalysis by Au supported on MgO // Journal of the American Chemical Society. 2005. V. 127. № 6. P. 1604–1605. https://doi.org/10.1021/ja043652m
- Esch F., Fabris S., Zhou L., Montini T., Africh C., Fornasiero P., Comelli G., Rosei R. Electron localization determines defect formation on ceria substrates // Science. 2005. V. 309. № 5735. P. 752–755. https://doi.org/10.1126/science.1111568
- Farfan-Arribas E., Madix R.J. Different binding sites for methanol dehydrogenation and deoxygenation on stoichiometric and defective TiO2 (110) surfaces // Surface Science. 2003. V. 544. № 2–3. P. 241–260. https://doi.org/10.1016/j.susc.2003.08.025
- Rodriguez J.A., Wang X., Liu P., Wen W., Hanson J.C., Hrbek J., Perez M., Evans J. Gold nanoparticles on ceria: Importance of O vacancies in the activation of gold // Topics in Catalysis. 2007. V. 44. № 1–2. P. 73–81. https://doi.org/10.1007/s11244-007-0280-1
- Ono L.K., Sudfeld D., Cuenya B.R. In situ gas-phase catalytic properties of TiC-supported size-selected gold nanoparticles synthesized by diblock copolymer encapsulation // Surface Science. 2006. V. 600. № 23. P. 5041–5050. https://doi.org/10.1016/j.susc.2006.08.025
- Yan W., Chen B., Mahurin S.M., Dai S., Overbury S.H. Brookite-supported highly stable gold catalytic system for CO oxidation // Chemical Communications. 2004. V. 17. P. 1918–1919. https://doi.org/10.1039/B405434B
- Rodriguez J.A., Liu P., Viñes F., Illas F., Takahashi Y., Nakamura K. Dissociation of SO2 on Au/TiC (001): Effects of Au–C interactions and charge polarization // Angewandte Chemie. 2008. V. 120. № 35. P. 6787–6791. https://doi.org/10.1002/ange.200801027
- Ono L.K., Roldan Cuenya B. Effect of interparticle interaction on the low temperature oxidation of CO over size-selected Au nanocatalysts supported on ultrathin TiC films // Catalysis Letters. 2007. V. 113. № 3–4. P. 86–94. https://doi.org/10.1007/s10562-007-9027-7
- Sanchez S.I., Menard L.D., Bram A., Kang J.H., Small M.W., Nuzzo R.G., Frenkel A.I. The emergence of nonbulk properties in supported metal clusters: Negative thermal expansion and atomic disorder in Pt nanoclusters supported on γ-Al2O3 // Journal of the American Chemical Society. 2009. V. 131. № 20. P. 7040–7054. https://doi.org/10.1021/ja809182v
- Croy J.R., Mostafa S., Liu J., Sohn Y., Roldan Cuenya B. Size dependent study of MeOH decomposition over size-selected Pt nanoparticles synthesized via micelle encapsulation // Catalysis Letters. 2007. V. 118. № 1–2. P. 1–7. https://doi.org/10.1007/s10562-007-9162-1
- Shaikhutdinov S.K., Meyer R., Naschitzki M., Baumer M., Freund H.J. Size and support effects for CO adsorption on gold model catalysts // Catalysis Letters. 2003. V. 86. № 4. P. 211–219. https://doi.org/10.1023/A:1022616102162
- Ferreira P.J., Ia O’ G.J., Shao-Horn Y., Morgan D., Makharia R., Kocha S., Gasteiger H.A. Instability of Pt ∕ C electrocatalysts in proton exchange membrane fuel cells: A mechanistic investigation // Journal of The Electrochemical Society. 2005. V. 152. № 11. P. A2256. https://doi.org/10.1149/1.2050347
- Mostafa S., Croy J.R., Heinrich H., Roldan Cuenya B. Catalytic decomposition of alcohols over size-selected Pt nanoparticles supported on ZrO2: A study of activity, selectivity, and stability // Applied Catalysis A: General. 2009. V. 366. № 2. P. 353–362. https://doi.org/10.1016/j.apcata.2009.07.028
- Gatin A.K., Sarvadii S.Y., Dokhlikova N.V., Ozerin S.A., Kharitonov V.A., Baimukhambetova D., Grishin M.V. Less and less noble: Local adsorption properties of supported Au, Ni, and Pt nanoparticles // Nanomaterials. 2023. V. 13. № 8. P. 1365. https://doi.org/10.3390/nano13081365
- Гатин А.К., Гришин М.В., Гуревич С.А., Дохликова Н.В., Кирсанкин А.А., Кожевин В.М., Колченко Н.Н., Ростовщикова Т.Н., Харитонов В.А., Шуб Б.Р., Явсин Д.А. Взаимодействие водорода и кислорода на поверхности единичных наночастиц золота // Известия Академии наук. Серия химическая. 2014. № 8. С. 1696−1702.
- Баймухамбетова Д., Гатин А.К., Озерин С.А., Гришин М.В. Взаимодействие синтезированных на графите наночастиц платины с закисью азота // Коллоидный журнал. 2023. Т. 85. № 4. С. 403–409. https://doi.org/10.31857/S0023291223600219
- Гатин А.К., Дохликова Н.В., Мухутдинова Р.Г., Озерин С.А., Гришин М.В. Особенности взаимодействия окисленных наночастиц платины с молекулярным водородом и монооксидом углерода // Коллоидный журнал. 2022. Т. 84. № 6. С. 705–714. https://doi.org/ 10.31857/S0023291222600110
- Гришин М.В., Гатин А.К., Голубев Е.К., Дохликова Н.В., Озерин С.А., Сарвадий С.Ю., Степанов И.Г., Слуцкий В.Г., Харитонов В.А., Шуб Б.Р. Взаимодействие наночастиц золота и никеля с молекулярным водородом и монооксидом углерода в присутствии электрического поля // Коллоидный журнал. 2023. Т. 85. № 1. С. 19–27. https://doi.org/ 10.31857/S0023291222600407
- Смирнов В.И. Физика полупроводниковых приборов: учебное пособие. Ульяновск: УлГТУ, 2022.
- Бабичев А.П., Бабушкина Н.А., Братковский А.М. и др.; под ред. Григорьева И.С. и Мейлихова Е.З. Физические величины: Справочник. Москва: Энергоатомиздат, 1991.
- Гришин М.В., Гатин А.К., Дохликова Н.В., Кирсанкин А.А., Харитонов В.А., Шуб Б.Р. Адсорбционные свойства наночастиц // Известия Академии наук. Серия химическая. 2013. № 7. С. 1525−1532.
- Hilf M., Brenig W. Hydrogen adsorption and desorption on silicon revisited // The Journal of Chemical Physics. 2000. V. 112. № 7. P. 3113–3116. https://doi.org/10.1063/1.480895.
- Давыдов C.Ю. Адсорбция атомов водорода на кремнии // Журнал технической физики. 2005. Т. 75. № 1. С. 141–142.
- Tsuda Ya., Yoshigoe A., Ogawa Sh., Sakamoto T., Takakuwa Yu. Observation of chemisorbed O2 molecule at SiO2/Si(001) interface during Si dry oxidation // e-Journal of Surface Science and Nanotechnology. 2023. V. 21. № 1. P. 30−39. https://doi.org/10.1380/ejssnt.2023-005
- Davar F., Fereshteh Z., Salavati-Niasari M. Nanoparticles Ni and NiO: Synthesis, characterization and magnetic properties // Journal of Alloys and Compounds. 2009. V. 476. № 1–2. P. 797–801. https://doi.org/10.1016/j.jallcom.2008.09.121
- Зи С.М. Физика полупроводниковых приборов: В 2 книгах. Кн. 1. Пер. с англ. Москва: Мир, 1984.
- Слинкин А.А., Кучеров А.В., Рубинштейн А.М. О кинетике адсорбции и природе необратимой хемосорбции водорода на нанесенных микрокристаллах никеля // Кинетика и катализ. 1978. Т. 19. № 2. С. 520–523.
- Li J.; Li P.; Li J.; Tian Z.; Yu F. Highly-dispersed Ni-NiO nanoparticles anchored on an SiO2 support for an enhanced CO methanation performance // Catalysts. 2019. V. 9. № 6. P. 506. https://doi.org/10.3390/catal9060506
- Гатин А.К., Гришин М.В., Гуревич С.А., Дохликова Н.В., Кирсанкин А.А., Кожевин В.М., Локтева Е.С., Ростовщикова Т.Н., Сарвадий С.Ю., Шуб Б.Р., Явсин Д.А. Адсорбция водорода на наночастицах никеля с различной кристалличностью // Российские нанотехнологии. 2015. Т. 10. № 11–12. С. 45–49.
- Renouprez A.J., Fouilloux P., Candy J.P., Tomkinson J. Chemisorption of water on nickel surfaces // Surface Science. 1979. V. 83. № 1. P. 285–295. https://doi.org/10.1016/0039-6028(79)90493-x
- Zhensheng J., Chanjuan X., Qingmei Z., Feng Y., Jiazheng Zh., Jinzhen X. Catalytic behavior of nanoparticle α-PtO2 for ethanol oxidation // Journal of Molecular Catalysis A: Chemical. 2003. V. 191. № 1. P. 61–66. https://doi.org/10.1016/S1381-1169(02)00029-8
- Pant A.K., Muraka S.P., Shepard C., Lanford W. Kinetics of platinum silicide formation during rapid thermal processing // Journal of Applied Physics. 1992. V. 72. № 5. P. 1833–1836. https://doi.org/10.1063/1.351654
- Zhu J., Somorjai G.A. Formation of platinum silicide on a platinum nanoparticle array model catalyst deposited on silica during chemical reaction // Nano Letters. 2001. V. 1. № 1. P. 8–13. https://doi.org/10.1021/nl005512q
Supplementary files








