Параметры предельно тонкого поверхностного слоя жидкого аргона
- Authors: Саввин В.С.1
-
Affiliations:
- Национальный исследовательский ядерный университет “Московский инженерно-физический институт”
- Issue: Vol 86, No 3 (2024)
- Pages: 390-396
- Section: Articles
- Submitted: 01.09.2024
- Accepted: 01.09.2024
- Published: 15.05.2024
- URL: https://bakhtiniada.ru/0023-2912/article/view/262854
- DOI: https://doi.org/10.31857/S0023291224030085
- EDN: https://elibrary.ru/BMEIPS
- ID: 262854
Cite item
Full Text
Abstract
Предложена методика расчета наименьшей возможной толщины поверхностного слоя однокомпонентной системы жидкость/насыщенный пар. Рассматривается модель слоя, однородного по отношению к тензору давления. Для жидкого аргона на линии насыщения в интервале от тройной точки до температур, близких к критической, рассчитаны наименьшая толщина поверхностного слоя и молярные объемы для частей поверхностного слоя, прилегающих к жидкой и паровой фазам. На примере сведений, взятых из литературных источников, показана возможность приведения данных о распределении вещества в поверхностном слое к параметрам предложенной модели.
Full Text
ВВЕДЕНИЕ
Объектом рассмотрения в предлагаемой работе является двухфазная однокомпонентная система жидкость/пар с плоской поверхностью раздела. В качестве такой системы рассмотрен жидкий аргон в равновесии с насыщенным паром. Переход от одной фазы к другой происходит постепенно, благодаря чему возникает представление о поверхностном слое – неоднородной области, внутри которой не выполняется закон Паскаля. Поверхностное натяжение, измеряемая физическая величина, связано с тензором давления формулой Баккера [1]:
(1)
где ось Z проведена вдоль нормали к поверхности раздела, рN – нормальная составляющая тензора давления, равная гидростатическому давлению, создаваемому насыщенным паром, pT(z) – тангенциальная составляющая тензора давления, отличная от рN в области поверхностного слоя.
В ряде работ зону перехода исследуют экспериментально [2–9], теоретически [10–12] или с помощью компьютерного моделирования. Метод молекулярной динамики или метод Монте–Карло применяли, в частности, для моделирования двухфазного равновесия в простых жидкостях [13–17]. В результате моделирования получают распределение вещества в переходной зоне.
Для интерпретации результатов, сравнения результатов между собой и наблюдения их зависимости от задаваемых условий требуется параметр, характерный для некоторой простой модели. Таким параметром может служить толщина поверхностного слоя. По определению [18], поверхностный слой для плоской поверхности раздела ограничен плоскостями с координатами zl и zν, расположенными в каждой из объемных фаз, но максимально близко между собой. В этом случае формула (1) приобретает вид
(2)
и толщина поверхностного слоя Очевидно, что указанное условие является неопределенным, так как переход от одной фазы к другой происходит плавно, то есть для локализации поверхностного слоя необходимы дополнительные требования.
В работах А.И. Русанова (например, [19]) введены средние значения состава, молярных объема и энтропии, относящиеся ко всему поверхностному слою. Тем самым построена модель однородного поверхностного слоя конечной толщины, то есть межфазный слой рассматривается как фаза. Модель однородного поверхностного слоя используется при анализе результатов исследования поверхностных свойств растворов [19–24].
Для поверхностного слоя растворов А.И. Русановым сформулирован принцип, аналогичный третьему закону Коновалова: вдали от критического состояния состав поверхностного слоя раствора изменяется симбатно составу жидкой фазы [19, 20, 25–27]. Критерий симбатности Русанова позволяет, в принципе, рассчитать минимально возможную толщину однородного поверхностного слоя и тем самым оценить справедливость результатов исследования поверхностного слоя экспериментальными методами, методами статистической механики или методами компьютерного моделирования. Подчеркнем, что минимальная толщина поверхностного слоя является параметром состояния реального слоя, подобно относительной адсорбции Гиббса, являющейся параметром для модели, в которой контактирующие фазы распространяются до геометрической разделяющей поверхности [28].
Целью представляемой работы является построение модели предельно тонкого поверхностного слоя однокомпонентной системы жидкость/насыщенный пар. Актуальность построения такой модели обусловлена возможностью описания состояния поверхности раздела фаз однокомпонентной системы параметрами модели и оценки справедливости результатов исследования поверхностного слоя различными методами. Объектом исследования служит система жидкий аргон/насыщенный пар.
МЕТОДИКА РАСЧЕТА НАИМЕНЬШЕЙ ТОЛЩИНЫ ПОВЕРХНОСТНОГО СЛОЯ В ОДНОКОМПОНЕНТНОЙ СИСТЕМЕ
Формулы (1) и (2) предполагают деформацию вещества поверхностного слоя в тангенциальном направлении по сравнению с нормальным. Выясним, какое давление следует приложить к жидкости, чтобы достичь заданного объема.
Энергию Гельмгольца жидкости в расчете на один моль представим, как сумму энергии невзаимодействующих атомов fid и энергии взаимодействия, то есть потенциальной энергии u:
(3)
Энергия Гельмгольца одного моля невзаимодействующих частиц равна
(4)
где ν – молярный объем вещества при температуре T.
Выразим потенциальную энергию взаимодействия двух частиц с помощью потенциала Леннард–Джонса
(5)
где r – расстояние между центрами частиц, ε0 и r0 – постоянные. Так как то для потенциальной энергии одного моля взаимодействующих частиц выражение (5) примет вид
(6)
где ε и ν0 – постоянные. Поскольку давление может быть выражено как
(7)
то из выражений (3), (4), (6) и (7) получим
(8)
Для определения постоянных из формулы (8) выразим изотермическую сжимаемость
(9)
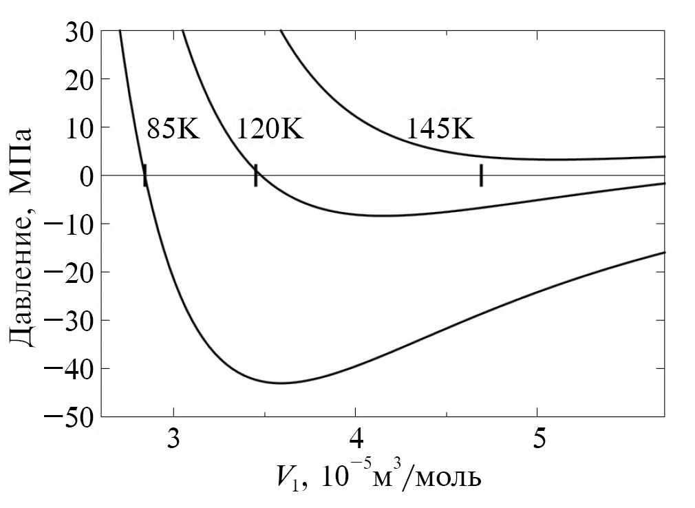
Подставим в (8) и (9) известные из опыта значения давления pN, молярного объема жидкости νl и изотермической сжимаемости βT на линии насыщения при заданной температуре T и определим искомые постоянные ε и ν0. Результаты расчета для аргона приведены в табл. 1. Для расчетов использованы данные [29, 30]. Зависимость p(ν) при некоторых температурах показана на рис. 1.
Таблица 1. Значения исходных параметров и постоянные уравнения (8)
Т, К | σ, мН/м | pN,105Па | νl,10–5м3 /моль | βT,10–9/Па | ε, кДж/моль | ν0,10–5м3 /моль |
85 | 13.12 | 0.7898 | 2.839 | 2.022 | 2.299 | 2.717 |
90 | 11.86 | 1.337 | 2.904 | 2.282 | 2.168 | 2.763 |
95 | 10.63 | 2.134 | 2.974 | 2.757 | 1.960 | 2.801 |
100 | 9.42 | 3.243 | 3.049 | 3.261 | 1.814 | 2.844 |
105 | 8.24 | 4.727 | 3.131 | 3.905 | 1.682 | 2.887 |
110 | 7.10 | 6.652 | 3.222 | 4.755 | 1.561 | 2.930 |
115 | 6.01 | 9.088 | 3.226 | 5.916 | 1.451 | 2.976 |
120 | 4.95 | 12.11 | 3.445 | 7.566 | 1.352 | 3.024 |
125 | 3.94 | 15.78 | 3.585 | 10.04 | 1.264 | 3.076 |
130 | 2.99 | 20.20 | 3.755 | 13.98 | 1.189 | 3.134 |
135 | 2.10 | 25.45 | 3.966 | 20.77 | 1.128 | 3.206 |
140 | 1.28 | 31.64 | 4.242 | 33.41 | 1.080 | 3.308 |
145 | 0.57 | 38.90 | 4.686 | 56.34 | 1.043 | 3.533 |
Рис. 1. Гидростатическое давление в жидком аргоне как функция молярного объема жидкого аргона при температурах 85, 120 и 145 К. Полужирные метки на оси абсцисс показывают значения молярного объема жидкого аргона при двухфазном равновесии жидкость–пар при соответствующей температуре.
Наименьшая толщина поверхностного слоя, согласно (2), реализуется при условии, что тангенциальная составляющая тензора давления pT принимает наименьшее возможное значение, то есть при pT = pmin, где pmin – минимальное возможное значение давления, существование которого при заданной температуре следует из (8) (рис. 1). Соответствующий поверхностный слой однороден относительно тензора давления, а толщина такого поверхностного слоя равна
(10)
По формуле (10) произведен расчет наименьшей возможной толщины поверхностного слоя жидкого аргона в широком интервале температур. Аргон в стабильном жидком состоянии существует от тройной точки при 83.81 К до критической точки при 150.86 К. Использованы результаты измерений поверхностного натяжения жидкого аргона [31]. Необходимые для расчетов данные взяты из [30] и табл. 1. Результаты расчета показаны на рис. 2.
Рис. 2. Наименьшая толщина поверхностного слоя жидкого аргона в зависимости от температуры. На оси ординат слева толщина слоя выражена в ангстремах, справа – по отношению к расчетному значению диаметра атома аргона, d = 142 пм [32], где в качестве такового принято удвоенное расстояние между атомным ядром и самой дальней из стабильных орбит электронов в электронной оболочке аргона.
Наименьшая толщина поверхностного слоя составляет несколько атомных диаметров и растет по мере приближения к критической температуре. Этой тенденции не соответствует точка, полученная для 145 К. Можно предположить, что наблюдаемое при 145 К отклонение от указанной закономерности обусловлено повышенной чувствительностью результатов расчета по формуле (10)к погрешностям измерений по мере приближения к критической температуре, когда и числитель, и знаменатель (10) стремятся к нулю.
МОЛЯРНЫЙ ОБЪЕМ ВЕЩЕСТВА ПОВЕРХНОСТНОГО СЛОЯ НАИМЕНЬШЕЙ ТОЛЩИНЫ
Рассматриваемая здесь модель однородного относительно тензора давления поверхностного слоя наименьшей толщины может быть полезна в том случае, если существует возможность приведения результатов исследований распределения вещества в межфазной области к параметрам этой модели. Для этого необходимы сведения о молярном объеме вещества поверхностного слоя.
При расчете молярного объема вещества поверхностного слоя учтем, что слой по сравнению с объемными фазами деформирован в тангенциальном направлении. Будем исходить из того, что среднее расстояние между атомами поверхностного слоя в тангенциальном направлении соответствует расстоянию между атомами при гидростатическом давлении, принятом в качестве тангенциального pT.
Условием равновесия фаз является равенство давлений в жидкости и в паре. Из рис. 1 видно, что в области сосуществования фаз изобара пересечет изотерму p(ν) дважды – в области жидкости и в области пара. При этом молярные объемы, соответственно и средние расстояния между атомами, в фазах разные. Нормальная составляющая давления pN в поверхностном слое равна давлению в жидкости и в паре. Исследования распределения вещества в поверхностном слое [2, 3, 10, 11, 13–17] показывают, что наблюдаются плавные переходы как со стороны жидкости, так и со стороны пара. Для учета этого факта естественно принять двузонную модель слоя: в одной части слоя средние расстояния между атомами в направлении нормали такие, как в жидкости, в другой – как в паре. Тогда молярные объемы в соответствующих частях поверхностного слоя равны
(11)
где νl и νν – молярные объемы жидкости и пара, νT – молярный объем, соответствующий тангенциальному давлению, то есть минимуму на кривой p(ν) (рис. 1), νωl и νων – молярные объемы частей поверхностного слоя, прилегающих к жидкости и пару, соответственно. При этом слой в целом является изотропным относительно тензора давления: в обеих частях слоя нормальная составляющая тензора давления pN равна давлению в фазах, тангенциальная составляющая pT равна минимальному давлению, определяемому уравнением (8) (рис. 1).
Температурный ход молярного объема вещества всех составляющих системы показан на рис. 3. Отношение молярного объема пара к молярному объему вещества прилегающей части поверхностного слоя изменяется от 39 при 85 К до 2.8 при 140 К.
Вещество жидкоподобной части поверхностного слоя имеет молярный объем, мало отличающийся от жидкости: отношение соответствующих величин изменяется от 1.17 до 1.08 в указанном интервале температур.
Быстрое температурное изменение отношения молярного объема пара к молярному объему вещества прилегающей части поверхностного слоя обусловлено в основном быстрым ростом плотности пара с ростом температуры. Согласно (11), указанное отношение равно
(12)
С ростом температуры происходит быстрое уменьшение молярного объема пара (числитель дроби в скобках выражения (12)) – в десятки раз в рассматриваемом интервале температур (рис. 3). Молярный объем νТ, соответствующий тангенциальному давлению, то есть минимальному значению давления на изотерме молярного объема (рис. 1), имеет порядок, сравнимый с молярным объемом жидкости, и сравнительно медленно растет с температурой. В итоге наблюдается быстрое уменьшение значения (12) с ростом температуры. Для жидкоподобной части поверхностного слоя отношение νwl /νl мало изменяется с температурой, сравниваемые величины имеют один и тот же порядок и слабо зависят от температуры (рис. 1, рис. 3).
Рис. 3. Молярный объем вещества: 1 – жидкость, 2 – жидкоподобная часть поверхностного слоя, 3 – пароподобная часть поверхностного слоя, 4 – пар. Отмечена критическая точка.
Модель двузонного поверхностного слоя будет завершена, если сформулировать правило построения поверхности, отделяющей пароподобную часть слоя от жидкоподобной. В качестве таковой примем эквимолярную поверхность, которую, вслед за Гиббсом, используют в качестве поверхности, разделяющей фазы в однокомпонентной системе [1, 18, 19, 21, 28]. Эквимолярная поверхность строится таким образом, чтобы недостаток вещества в жидкоподобной части поверхностного слоя по сравнению с тем же объемом жидкости был равен избытку вещества в парообразной части поверхностного слоя по сравнению с тем же объемом пара:
(13)
где nl, nν, nωl и nων – молярная концентрация вещества в объемных фазах и прилегающих участках поверхностного слоя, τl_min и τν_min – толщина прилегающих к соответствующим объемным фазам частей поверхностного слоя, причем
(14)
Соотношения (13) и (14) позволяют выяснить, как изменяются толщины каждой из частей поверхностного слоя с изменением температуры (рис. 4). Толщина поверхностного слоя растет c температурой за счет части, прилегающей к жидкости, в то время как толщина пароподобной части практически не изменяется.
Рис. 4. Положение границ предельно тонкого однородного по тензору давления поверхностного слоя аргона с жидкостью, z < 0, и паром, z > 0, в зависимости от температуры. За начало отсчета, z = 0, принято положение эквимолярной поверхности.
ПРИВЕДЕНИЕ РАСПРЕДЕЛЕНИЯ ВЕЩЕСТВА В ПОВЕРХНОСТНОМ СЛОЕ К МОДЕЛЬНЫМ ПАРАМЕТРАМ
Если распределение вещества n(z) в поверхностном слое известно, то можно рассчитать избыток/недостаток вещества в частях слоя, прилегающих к паровой и жидкой фазам соответственно. Далее, используя модельные значения молярных объемов (11), можно получить приведенные толщины частей поверхностного слоя:
(15)
и сопоставить их со значениями, рассчитанными для модели слоя наименьшей толщины однородного относительно тензора давления.
Техника расчета по формулам (15) зависит от формы представления данных n(z). Если зависимость n(z) дана в аналитической форме, то для расчета по (15) следует произвести численное интегрирования. Используемые здесь исходные данные в оригинальных работах [14–17] представлены в виде графиков распределения вещества в поверхностном слое. В этом случае для расчета величин по (15) необходимо произвести графическое интегрирование. Для этого на линии графика были расставлены точки (25–40 точек) и определены их координаты. По этим точкам строился сглаженный график с дальнейшей сплайн-интерполяцией. Затем определялось положение эквимолярной поверхности, производилось численное интегрирование и расчет по формулам (15).
Результаты расчета приведенной толщины частей поверхностного слоя представлены в табл. 2. Там же приведены значения толщины частей предельно тонкого поверхностного слоя жидкого аргона при тех же температурах. Как и следовало ожидать, во всех рассмотренных случаях приведенная толщина поверхностного слоя больше минимально возможной.
Таблица 2. Приведенная и модельная толщина частей поверхностного слоя жидкого аргона
Температура, К | Приведенная толщина частей поверхностного слоя, по (15), 10–10 м | Модельная толщина частей поверхностного слоя, 10–10 м | |||
Источник | τl | τν | τl_min | τν_min | |
123 | [14] | 16.4 | 6.3 | 4.0 | 1.5 |
90 | [15] | 5.0 | 5.0 | 1.6 | 1.6 |
86 | [17] | 5.9 | 5.8 | 1.4 | 1.6 |
102 | [16] | 10.0 | 6.7 | 2.3 | 1.6 |
121 | [16] | 15.3 | 6.3 | 3.8 | 1.5 |
130 | [16] | 25.1 | 7.3 | 5.1 | 1.6 |
ЗАКЛЮЧЕНИЕ
Предложена модель поверхностного слоя жидкость/пар для однокомпонентной системы. Параметром модели является наименьшая толщина поверхностного слоя, которой соответствует минимальное значение тангенциальной составляющей тензора давления в поверхностном слое. Произведен расчет для жидкого аргона, находящегося в равновесии с насыщенным паром. Тангенциальная составляющая давления найдена с применением уравнения ван-дер-ваальсовского типа, постоянные которого определены с помощью справочных данных по давлению, объему и изотермической сжимаемости аргона. Рассчитанная наименьшая возможная толщина поверхностного слоя аргона растет от трех до девяти с половиной ангстрем в интервале температур от тройной точки до 140 К.
Предложенная модель слоя предполагает наличие двух зон, разделенных эквимолярной поверхностью и различающихся по плотности, что отражает присутствие в реальном слое областей, близких по плотности как к жидкости, так и к пару. Показана методика приведения распределения вещества в поверхностном слое, полученного экспериментально, теоретически или в результате моделирования, к параметрам предложенной модели, что позволяет сравнивать получаемые результаты и наблюдать зависимость результатов от задаваемых условий.
Значения приведенной толщины поверхностного слоя, рассчитанные по данным компьютерного моделирования [14–17], и наименьшая толщина поверхностного слоя в системе жидкий аргон/насыщенный пар сопоставимы по порядку величин и отвечают последовательности, требуемой предложенной моделью, то есть толщина предельно тонкого поверхностного слоя меньше приведенной толщины.
ФИНАНСИРОВАНИЕ РАБОТЫ
Данная работа финансировалась за счет средств бюджета ИАТЭ НИЯУ МИФИ. Никаких дополнительных грантов на проведение или руководство данным конкретным исследованием получено не было.
СОБЛЮДЕНИЕ ЭТИЧЕСКИХ СТАНДАРТОВ
В данной работе отсутствуют исследования человека или животных.
КОНФЛИКТ ИНТЕРЕСОВ
Автор заявляет об отсутствии конфликта интересов.
About the authors
В. С. Саввин
Национальный исследовательский ядерный университет “Московский инженерно-физический институт”
Author for correspondence.
Email: savvin-vs@yandex.ru
Институт атомной энергетики
Russian Federation, 249040, Обнинск, Студгородок, д. 1References
- Оно С., Кондо С. Молекулярная теория поверхностного натяжения в жидкостях. М.: ИИЛ, 1963.
- Beaglehole D. Thickness of the surface of liquid argon near the triple point // Phys. Rev. Lett. 1979. V. 43. № 27. P. 2016–2018. https://doi.org/10.1103/PhysRevLett.43.2016
- Beaglehole D. Ellipsometric Study of the surface of simple liquids // Physica B+C. 1980. V. 100. № 2. P. 163–174. https://doi.org/10.1016/0378-4363(80)90003-0
- Gribsky O.P., Poperenko L.V., Sarsembaeva A.Z. Ellipsometric research of pure water and aqueous solutions surfaces // Funct. Mater. 2003. V. 10. № 3. P. 460–463.
- Файнерман В.Б., Miller R. Равновесные и динамические характеристики адсорбционных слоев белков на межфазных границах жидкость-газ: теория и эксперимент // Коллоид. журн. 2005. Т. 67. № 4. С. 437–449.
- Ильина С.Г., Алексеева Е.А. Определение параметров поверхностного слоя чистых жидкостей по данным эллипсометрии // Вест. МГУ. Сер. 3: Физика. Астрономия. 2016. № 2. С. 68–73.
- Ковальчук А.В., Митина А.А., Полушкин Е.А., Гальперин Э.И., Дюжева Т.Г., Семененко И.А., Семененко А.И., Шаповал С.Ю. О возможностях и особенностях метода эллипсометрии при исследовании поверхности жидкостей // Научное приборостроение. 2016. Т. 26. № 4. С. 3–12.
- Makaia L, Kalas B, Tiborcz G. Spectroscopic ellipsometry investigation of free liquid-liquid and liquid-air interfaces // Thin Solid Films. 2023. V. 764. P. 139634. https://doi.org/10.1016/j.tsf.2022.139634
- Longford F.G.J. Modelling surface thermodynamics and intrinsic optical properties of the air-water interface. University of Southampton. Doctoral Thesis. 2017.
- Kirkwood J.G., Buff F.P. The statistical theory of surface tension // J. Chem. Phys. 1949. V. 17. № 3. P. 338–343. https://doi.org/10.1063/1.1747248
- Куни Ф.М., Русанов А.И. Асимптотика молекулярных функций распределения в поверхностном слое жидкости // Докл. АН СССР. 1967. Т. 174. № 2. С. 406–409.
- Toxυaerd S. Statistical mechanical and quasithermodynamic calculations of surface densities and surface tension // Mol. Phys. 1973. V. 26. № 1. P. 91–99. https://doi.org/10.1080/00268977300101401
- Evans R. Oscillatory behaviour of density profiles: Relevance for fluid interfacial phenomena // Ber. Bunsen-Ges. Phys. Chem. 1994. V. 98. № 3. P. 345–352. https://doi.org/10.1002/bbpc.19940980312
- Trokhymchuk A., Alejandre J. Computer simulations of liquid/vapor interface in Lennard-Jones fluids: Some questions and answers // J. Chem. Phys. 1999. V. 111. № 18. P. 8510–8523. https://doi.org/10.1063/1.480192
- Belashchenko D.K., Ostroskii O.I. Molecular dynamics simulations of the surface properties of melts: Liquid argon and KCl // Russ. J. Phys. Chem. A. 2004. V. 78. № 8. P. 1302–1308.
- Bo Shi. Molecular dynamics simulation of the surface tension and contact angle of argon and water. A dissertation submitted in partial satisfaction of the requirements for the degree Doctor of Philosophy in Mechanical Engineering. 2006. University of California. Los Angeles.
- Rivera J.L, Douglas J.F. Reducing uncertainty in simulation estimates of the surface tension through a two-scale finite-size analysis: Thicker is better // RSC Adv. 2019. V. 9. № 61. P 35803–35812. https://doi.org/10.1039/C9RA07058C
- Guggenheim E.A. Thermodynamic. Amsterdam, Oxford, New York, Tokyo: North-Holland, 1967.
- усанов А.И. Фазовые равновесия и поверхностные явления. Ленинград: Химия, 1967.
- Русанов А.И. Развитие фундаментальных положений термодинамики поверхностей // Коллоид. журн. 2012. Т. 74. № 2. С. 148–166.
- Дадашев Р.Х. Термодинамика поверхностных явлений. М.: ФМ, 2007.
- Юров В.М, Гученко С.А., Лауринас В.Ч. Толщина поверхностного слоя, поверхностная энергия и атомный объем элемента // Физико–химические аспекты изучения кластеров, наноструктур и наноматериалов. 2018. № 1. С. 691–699.
- Дадашев Р.Х., Джамбулатов Р.С., Элимханов Д.З. Поверхностные свойства и молярные объемы растворов ацетон–этанол // ЖФХ. 2023. T. 97. № 4. С. 500–504. https://doi.org/10.31857/S004445372304009X
- Степанов В.П. Межфазный слой в расслаивающихся ионных расплавах // Расплавы. 2023. № 3. С. 223–240
- Русанов А.И. Лекции по термодинамике поверхностей. СПб.: «Лань», 2013.
- Русанов А.И. Распространение законов Коновалова на поверхностные явления // Вест. СПбГУ. Физика и химия. 2013. № 1. С. 9–15.
- Русанов А.И. Мои открытия (Обзор) // ЖОХ. 2022. Т. 92. № 4. С. 497–546.
- Гиббс Дж.В. О равновесии гетерогенных веществ. С. 61–349. В кн. «Джозайя Виллард Гиббс. Термодинамика. Статистическая механика». М.: «Наука», 1982.
- Вассерман А.А., Рабинович В.А. Теплофизические свойства жидкого воздуха и его компонентов. М.: Издательство стандартов, 1968.
- Варгафтик Н.Б. Справочник по теплофизическим свойствам газов и жидкостей. М.: Наука, 1972.
- Stansfield D. The surface tensions of liquid argon and nitrogen // Proc. Phys. Soc. 1958. V. 72. № 5. P. 854–866. https://doi.org/10.1088/0370-1328/72/5/321
- Clementi E., Raimondi D.L., Reinhardt W.P. Atomic screening constants from SCF functions // J. Chem. Phys. 1967. V. 47. № 4. P. 1300–1307. https://doi.org/10.1063/1.1712084
Supplementary files






