Влияние гомогенной нуклеации на интенсивность процессов испарения/конденсации
- Authors: Левашов В.Ю.1, Крюков А.П.1,2, Шишкова И.Н.2
-
Affiliations:
- Институт Механики МГУ
- Национальный исследовательский университет “МЭИ”
- Issue: Vol 86, No 2 (2024)
- Pages: 218-226
- Section: Articles
- Submitted: 08.07.2024
- Accepted: 08.07.2024
- Published: 15.03.2024
- URL: https://bakhtiniada.ru/0023-2912/article/view/259159
- ID: 259159
Cite item
Full Text
Abstract
Предложен подход, основанный на прямом численном решении кинетического уравнения Больцмана, позволяющий учитывать влияние процесса гомогенной нуклеации на интенсивность переноса массы в задаче о переконденсации. На базе сравнения масштабов времени образования капли критического размера, а также времени распространения пересыщения показана возможность осуществлять описание рассматриваемой задачи в два этапа – без учета влияния капель на первом и с учетом на втором. Результаты расчетов показали, что в случае неподвижных капель наблюдается сильное влияние объемной конденсации на интенсивность процесса испарения/конденсации.
Keywords
Full Text
ВВЕДЕНИЕ
Несмотря на то, что процессы испарения и конденсации различной степени интенсивности исследуются достаточно продолжительное время (см., например, [1]), модели, учитывающие все особенности этих процессов, до настоящего времени отсутствуют. Так, например, образующийся вблизи поверхности испарения пар является пересыщенным, при этом степень пересыщения (S) растет с увеличением интенсивности процесса испарения [2]. Известно, что в условиях, при которых S > 1, возможен процесс гомогенной нуклеации, т. е. образование зародышей новой фазы в исходной [3]. В то же время существуют условия, при которых процесс нуклеации может оказывать влияние на интенсивность испарения [4, 5].
Ниже будет показано, что состояние пара со степенью пересыщения больше 1 может возникать не только при испарении в полубесконечное пространство, как в [2], но и при реализации процесса переконденсации. В этом случае происходит испарение вещества с одной поверхности и его последующая конденсация на другой поверхности. Такого рода явления имеют место во время сушки различных тел, при формировании защитных покрытий элементов энергетического оборудования, при перегонке веществ в условиях пониженного давления (vacuum distillation, chemical vapor deposition). Следует отметить, что при этом в исследуемой области могут реализовываться такие режимы движения пара, при которых применение методов механики сплошной среды становится некорректным [6]. В этой связи становится важным предложить метод, позволяющий, с одной стороны, моделировать изменение макропараметров в исследуемой области с учетом столкновений молекул пара, а с другой стороны, учитывать влияние нуклеации на интенсивность процесса.
Отсутствие информации о влиянии объемной конденсации на интенсивность массопереноса объясняется, вероятно, трудностями, возникающими при одновременном применении методов кинетической теории газов для описания процессов с испарением/конденсацией, а также подходов, позволяющих учесть образование, рост и влияние образующихся капель на параметры потока. Одним из основных уравнений кинетической теории газов является уравнение Больцмана для функции распределения молекул по скоростям. Взаимодействие образующихся в области течения капель с окружающим паром должно быть описано с учетом эволюции этой функции в рассматриваемых процессах.
В настоящей работе рассматривается подход, основанный на прямом численном решении кинетического уравнения Больцмана, учитывающий как взаимодействие пара с центрами конденсации, так и межмолекулярные столкновения [7, 8]. При этом считаются возможными рост и уменьшение размера зародыша новой фазы в результате процессов конденсации и испарения. Процедура, позволяющая учитывать изменение функции распределения, а следовательно, и макропараметров пара, в результате взаимодействий с каплями подробно описана в [9]. С помощью предложенного подхода исследуется задача о переконденсации и, в частности, анализируется вопрос о влиянии центров конденсации на параметры пара в этом процессе. Цель данного исследования состоит в выяснении того, при каких условиях, допущениях и параметрах задачи, капли будут влиять на течение водяного пара.
ПОСТАНОВКА ЗАДАЧИ И МАТЕМАТИЧЕСКОЕ ОПИСАНИЕ
Рассматривается задача об испарении и конденсации воды в присутствии центров конденсации (капель), распределенных в объеме. Схема задачи представлена на рис. 1. Исследуемая область ограничена слева и справа межфазными поверхностями, имеющими известные температуры TS1 и TS2 соответственно. Предполагается, что TS1 > TS2. Заданными также считаются равновесные числовые плотности пара nS1 и nS2, соответствующие по линии насыщения температурам левой и правой поверхностей, а также расстояние между ними. Водяной пар поступает в исследуемую область с ограничивающих границ раздела фаз. Предполагается, что в начальный момент времени расчетная область заполнена водяным паром, концентрация и температура которого равны nS2 и TS2. Через некоторое время в исследуемой области образуются жидкие капли, размеры которых определяются степенью пересыщения пара.
Рис. 1. Схема задачи.
Далее везде все величины приводятся в безразмерном виде. В качестве базовых приняты следующие параметры: концентрация молекул пара n0 = 1.015 ∙ 1024 м–3, температура T0 = 303.0 K, давление p0 = 4242.563 Па, диаметр молекулы воды d0 = 4.6 ∙ 10–10 м, средняя длина свободного пробега при n0 и T0 – l0 = 1.048 ∙ 10–6 м, масштаб времени, характерный для процессов, описываемых уравнением Больцмана – t0 = 2.803 ∙ 10–9 с. Введение безразмерной скорости осуществляется делением на величину u0 = (RgT0)1/2, где Rg – газовая постоянная для водяного пара. Базовая величина для потока частиц – j0 = n0u0.
В настоящей работе изучение процессов течения пара в присутствии центров конденсации базируется на кинетическом уравнении Больцмана (КУБ), которое в одномерной нестационарной постановке имеет вид [10]:
(1)
где fg – функция распределения молекул газа (пара) по скоростям, Jgg – интеграл столкновений, описывающий взаимодействие молекул газа между собой, Jgp – интеграл столкновений, описывающий взаимодействие молекул газа с каплями.
В качестве граничных условий для этого уравнения на ограничивающих исследуемую область поверхностях задается функция распределения для молекул, покидающих границы раздела фаз. В качестве таковых использовалось полумаксвелловское распределение с нулевой переносной скоростью, концентрацией и температурой для левой (nS1 и TS1) и правой (nS2 и TS2) поверхностей соответственно.
Безразмерные значения температур и плотностей на левой и правой поверхности имеют следующие значения: левая (горячая) поверхность: nS1 = 4.298, TS1 = 1.099; правая (холодная) поверхность: nS2 = 1, TS2 = 1.
Поскольку по постановке задачи в рассматриваемой области могут образовываться капли жидкости, размеры которых существенно больше размеров молекул водяного пара, т. е. смесь состоит из частиц различных масштабов, нахождение Jgp сопряжено с большими трудностями. Чтобы их избежать, в настоящей работе используется подход, позволяющий рассмотреть столкновения молекул с центрами конденсации как взаимодействие молекул с телом относительно больших размеров, в частности с его поверхностью, используя различные модели отражения молекул газа [9]. В результате решения КУБ находится функция распределения молекул по скоростям. Макропараметры: плотность, температура, давление, потоки массы, энергии и другие моменты функции распределения определяются интегрированием по трехмерному скоростному пространству.
При решении КУБ используется численная процедура, которая включает консервативную конечно-разностную аппроксимацию дифференциальной части уравнения и специальные кубатурные формулы Коробова для вычисления пятикратного интеграла столкновений пар-пар с удовлетворительной точностью. В рамках дискретной модели предполагается, что молекулы могут иметь значения скоростей, определенные фиксированной скоростной сеткой. Основное уравнение заменяется системой большого числа (порядка нескольких сотен или тысяч) конечно-разностных уравнений с нелинейной правой частью. Более подробно метод решения КУБ представлен в [11].
Вычисление изменения функции распределения для пара в результате его взаимодействия с жидкими частицами является центральным местом предлагаемого подхода.
В рамках дискретной модели предполагается, что молекулы могут иметь значения скоростей , определенные фиксированной скоростной сеткой. За конечный промежуток времени ∆t с жидкой частицей столкнется только часть nr от всех молекул газа n. Таким образом, функция распределения молекул по скоростям fk будет складываться из двух частей: первая – неизменная часть fkn – соответствует тем молекулам, которые не успеют провзаимодействовать с центрами конденсации, вторая – fkr – часть функции распределения, трансформирующаяся в результате столкновения. Индекс k означает k-тую точку скоростной сетки.
(2)
Количество молекул газа в единице объема, столкнувшихся с капельками в течение времени ∆t, определяется выражением:
(3)
здесь D* = Dp + d, Dp – диаметр жидкой частицы, d – диаметр молекулы пара, g – модуль относительной скорости движения центров конденсации и молекул пара, Np – концентрация капель, nk = fkDξ3 – концентрация молекул пара, обладающих скоростью .
Из выражения (3) для количества молекул, столкнувшихся с капельками в течение времени ∆t, можно определить функцию распределения fkr.
При взаимодействии с жидкой поверхностью центра конденсации происходит рассеивание молекул, согласно принятой модели, например, диффузной. Молекулы, имевшие до взаимодействия одинаковую скорость , после столкновения приобретут различные скорости в соответствии с максвелловским распределением. Плотность отраженных молекул газа nk определяется из условия непротекания (равенства падающего и отраженного потоков), которое для произвольного коэффициента конденсации β имеет следующий вид:
(4)
где Tp – температура жидкой частицы. Аналогичная процедура должна быть выполнена для каждой точки скоростной сетки.
Функция распределения по скоростям для молекул пара после столкновения с жидкими частицами fkr * находится в результате суммирования по всем значениям отраженных функций f *(ξn) для всех скоростных точек ξn:
(5)
где K – общее число точек скоростной сетки. Выражение (5) показывает, что каждая группа молекул, имеющих перед столкновением скорость ξn, дает свой вклад в определение функции распределения fkr * после столкновения.
Определяя по приведенному выше алгоритму fkr *, можно найти функцию распределения молекул пара по скоростям после столкновений с центрами конденсации:
(6)
В результате осуществления этой процедуры для всех скоростных точек определяется функция распределения во всем фазовом пространстве.
Предложенный подход может быть обобщен на случай, когда размеры капель меняются, причем это изменение зависит от количества молекул пара, попавших на капельку, которое определяется в ходе решения.
Если коэффициент конденсации β ≠ 0, то увеличение размеров жидких частиц из-за конденсации молекул газа (пара) может оказаться существенным, что должно быть учтено при описании взаимодействия пар-капля. Одновременно с процессом конденсации размер может изменяться в результате процесса испарения. Описание этого процесса проводится аналогично испарению с межфазных границ, т. е. предполагается, что функция распределения молекул пара, покидающих поверхность капли, представляет собой полумаксвеллиан с температурой капли Tp и плотностью, соответствующей Tp по линии насыщения. При этом диаметр центра конденсации зависит от времени и определяется следующим образом:
(7)
Vm = Vконд – Vисп, где Vконд, Vисп – объем, сконденсировавшихся и испарившихся молекул за время ∆t соответственно, V – объем капельки на предыдущем шаге, т. е. при времени t – ∆t. Таким образом, в выражение (3) должно подставляться D* = Dp(t) + d на каждом временном шаге, где d – толщина сферического слоя, объем которого равен Vm. Важно отметить, что величина Vm может быть как положительной, так и отрицательной. Это накладывает достаточно строгое условие на выбор шага по времени при решении КУБ, что добавляет сложности к численному решению кинетического уравнения Больцмана, существенно увеличивая время вычислений.
РЕЗУЛЬТАТЫ РЕШЕНИЯ
Сначала рассматривалась задача об испарении и конденсации воды без центров конденсации. Результаты для изменения степени пересыщения в различные моменты времени представлены на рис. 2. На рис. 2а приведены расчетные данные по распределению пересыщения в исследуемой области в различные моменты времени от 0t0 до 300t0 с интервалом времени 10t0. На рис. 2б представлены аналогичные данные, но с более крупным временным шагом (100t0).
Рис. 2. Изменение степени пересыщения в различные моменты времени. (а) – интервал времени между линиями 10t0, (б) – интервал времени между линиями 100t0.
Из рис. 2а видно, что через время 10t0 после начала процесса вблизи «горячей» поверхности образуется область протяженностью примерно 5λ0 с максимальным значением пересыщения 8. Причем этот максимум располагается на расстоянии λ0 от испарительной поверхности. Интересно отметить, что через интервал времени 10t0 максимум степени пересыщения увеличивается (Smax ≈14), сдвигается от поверхности испарения вправо, а сама область пересыщения расширяется. Такого рода процесс продолжается примерно 60t0 после начала испарения. К этому моменту времени максимальная величина пересыщения составляет 20 и находится на координате 10λ0. Далее наблюдается уменьшение степени пересыщения вблизи горячей поверхности и ее увеличение вблизи холодной поверхности. Как видно из рис. 2, ко времени 300t0 в расчетной области устанавливается стационарный профиль пересыщения. При этом, начиная с момента времени 10t0 и до момента времени 110t0, в половине исследуемой области находится пар со степенью пересыщения S > 10. Таким образом, результаты решения задачи об испарении/конденсации подтверждают наличие пересыщения у поверхности испарения, аналогично данным [2, 12].
Данные по временным эволюциям макропараметров (плотности и температуры) в исследуемой области представлены на рис. 3. Из сравнения временного поведения пересыщения (рис. 2а) и макропараметров видно, что “фронт” пересыщения распространяется в исследуемой области медленнее, чем волна температуры и плотности. Так, например, из рис. 3 видно, что к моменту времени 30t0 возмущение плотности и температуры достигло холодной поверхности, а максимальное значение пересыщения находится на координате ~4λ0. Координата же половины этой величины равна ~10λ0.
Рис. 3. Временные эволюции макропараметров в исследуемой области: (а) – плотность, (б) – температура.
При решении задачи о влиянии капель на интенсивность массопереноса необходимо знать время образования кластера критического размера, так как становится важным вопрос – успеет ли сформироваться кластер в исследуемой области за время существования пересыщения пара? Оценим характерное время образования кластера критического размера, точнее время роста шарообразной капли от близкого к нулю радиуса до критического радиуса Rcr. Если рассматривать только поток частиц на поверхность кластера и не учитывать поток с поверхности кластера, то можно записать следующее соотношение для изменения радиуса капли во времени:
(8)
где t – время, M – молярная масса, NA – постоянная Авогадро, rliq – плотность жидкости, T – температура газа.
Решение этого уравнения с начальным условием: при t = 0, R = 0 имеет вид:
(9)
При t = t и R = Rcr, из (2) следует:
(10)
Соотношение (10) позволяет лишь оценить порядок времени формирования кластера. Для определения этой величины могут быть также использованы и другие подходы. Например, в [12] отмечается, что для образования комплекса хотя бы из двух частиц требуется время, не меньшее времени между тройными столкновениями. В [13, 14] время образования кластера обратно пропорционально потоку частиц на единицу поверхности, причем эта величина из статьи [14] с точностью до коэффициента совпадает с выражением, используемым при получении (10).
Для оценок будем считать, что на протяжении времени 60t0 существует область со степенью пересыщения S = 10. В этом случае критический радиус может быть определен по формуле Томсона [3].
(11)
здесь s – коэффициент поверхностного натяжения.
Необходимо отметить, что использование макроскопических термодинамических величин, а как следствие, и выражения (11), для кластеров малых размеров не является корректным [13, 15]. Одним из возможных путей корректного описания процесса образования малых кластеров являются методы молекулярной динамики [16, 17]. Результаты применения молекулярно-динамического подхода к моделированию процесса гомогенной нуклеации пересыщенного пара показывают, что первоначально в исследуемой области может образовываться большое число малых кластеров, размеры которых меньше критического [18]. В то же время, поскольку сам процесс формирования кластеров не является целью настоящей работы, выражение (11) дает возможность оценить размер кластеров, присутствующих в расчетной области на начальном этапе.
Предположим, что температура водяного пара равна средней температуре между горячей и холодной поверхностями, т. е. 318 K. Давление, соответствующее этой температуре по линии насыщения, составляет примерно 9549 Па. Так как S = 10, то числовая плотность n = 2.18 ∙ 1024 м–3. Критический радиус в этих условиях равен 4.2 ∙ 10–10 м.
Согласно (10), время образования кластера данного радиуса составляет τ1 = 4.2 ∙ 10–9 c. При этом время существования зоны пересыщения с величиной S = 10 составляет примерно 60 единиц, т. е. τS = 60t0, что соответствует размерному времени 1.7 ∙ 10–7 c. Следовательно, поскольку τS > τ1, за время 60t0 успевают образовываться кластеры критического размера. Приведенные оценки дают основания в первом приближении считать, что к моменту времени 300t0 исследуемая область заполнена кластерами, размер которых определяется по стационарной степени пересыщения (красная линия на рис. 2б).
Очевидно, что в реальной ситуации процесс образования кластеров может начинаться в любой момент времени сразу же, как только степень пересыщения будет больше 1. Так, например, как видно из рис. 2а, через время 10t0 (в размерных величинах t = 2.803 ∙ 10–8 с) после начала процесса испарения вблизи межфазной поверхности образуется область с максимальной степенью пересыщения S = 8. Если использовать выражение (10) для оценки времени образования зародыша критического радиуса при данной степени пересыщения, то можно получить, что для образования зародыша критического размера необходимо время 1.08 ∙ 10–7 с. Очевидно, что при увеличении степени пересыщения размер критического зародыша, а следовательно, и время его формирования уменьшаются, т. е. при степени пересыщения S = 20 могут быстро появляться кластеры малого размера, однако представление такого кластера в виде макроскопической капли и использование для него макроскопических термодинамических величин неправомерно. В этой связи в настоящей работе предложен упрощенный подход, позволяющий учитывать влияние присутствующих в области расчета капель на интенсивность переноса массы.
Таким образом, на следующем этапе предполагается, что к моменту времени 300t0 в области течения образовались кластеры, размеры которых определяются по выражению (11). Для расчета числа таких кластеров в единице объема можно воспользоваться формулой Френкеля–Зельдовича для скорости нуклеации [19]:
(12)
где
при решении данной задачи предполагалось, что коэффициент конденсации b = 1.
Выражение (12) позволяет определить число кластеров критического радиуса, образующихся в единице объема в единицу времени при известной степени пересыщения. На базе проведенных выше оценок можно считать, что время, в течение которого в исследуемой области идет процесс образования кластеров критического радиуса, составляет t = 300 t0 = 8.409 ∙ 10–7 c. За это время, как показано на рис. 2 и 3, в исследуемой области устанавливаются не только стационарный профиль степени пересыщения, но и стационарные профили макропараметров – плотности, температуры и плотность потока массы. Начальное распределение кластеров, вычисленное по (12) для стационарного профиля степени пересыщения (рис. 2 при t = 300t0), представлено на рис. 4.
Рис. 4. Начальная числовая плотность центров нуклеации в момент времени t = 300t0.
Далее вычисления продолжаются с учетом распределенных в объеме частиц, при этом предполагается, что температура капель постоянна и равна 1, а на их поверхностях происходят испарение и конденсация. Считается, что все молекулы пара, попадающие на поверхности капелек, прилипают к ним. Одновременно центры могут терять часть молекул за счет испарения, интенсивность которого соответствует температуре капель. Поскольку за единицу принята меньшая температура, то интенсивность испарения существенно ниже, чем конденсации. Это приводит к постепенному увеличению размеров капель и возрастанию влияния на течение пара. Результаты решения представлены на рис. 5–8.
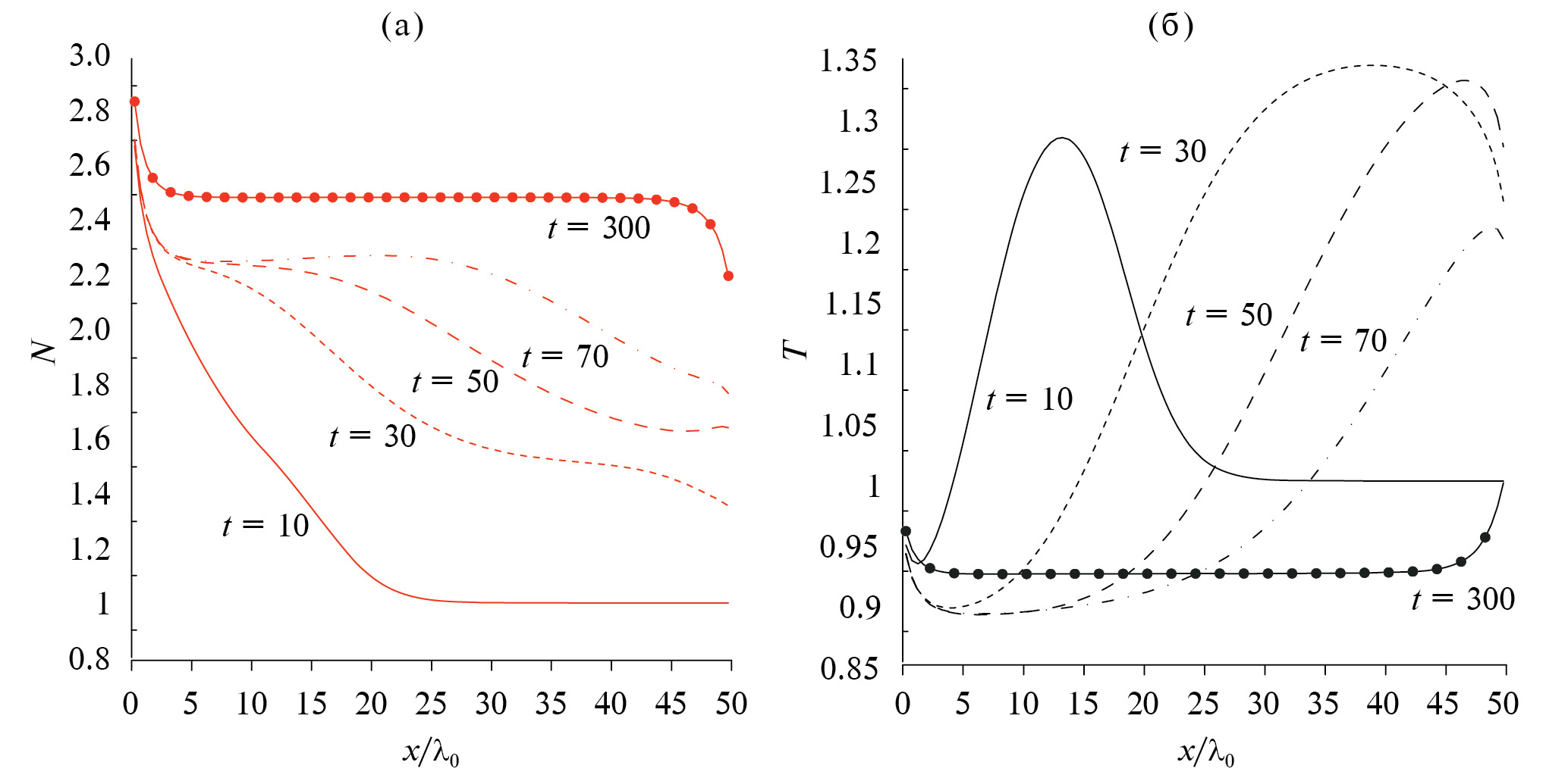
Рис. 5. Распределения концентрации пара (N) – сплошные линии, температуры (T) – пунктирные линии для различных моментов времени.
Рис. 6. Изменение массового потока вдоль координаты для различных моментов времени.
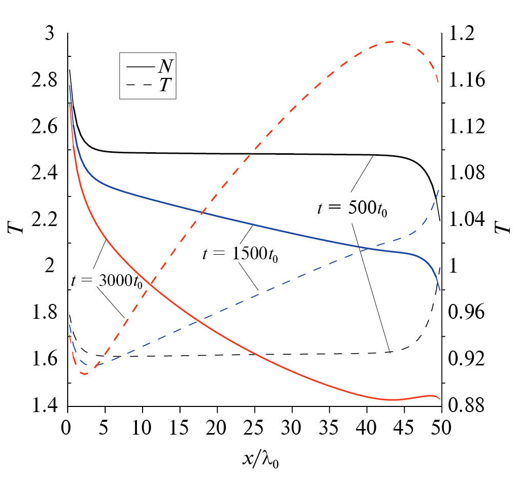
Рис. 7. Изменение степени пересыщения вдоль координаты для различных моментов времени.
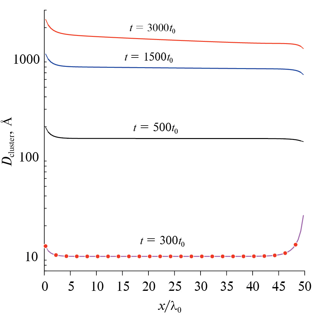
Рис. 8. Изменение диаметров кластеров вдоль координаты для различных моментов времени.
Чтобы корректно интерпретировать полученные результаты, рассмотрим характерные этапы процесса и времена, которые им соответствуют. Начнем с момента образования центров конденсации. Если посмотреть на рис. 3 и 5, то можно заметить, что сначала линии плотности, температуры и потока массы идут очень близко к стационарному решению без центров конденсации. Для определенности возьмем точку в середине расчетной области x = 25l0. Стационарный профиль плотности N, представленный на рис. 3а, имеет характерную полку, свойственную всем задачам переконденсации. Значение плотности на этой «полке» при заданных условиях задачи равно 2.49. Через время t1 = 200t0, т. е. к моменту времени 500t0 числовая плотность уменьшилась на 0.4%. На 5% плотность уменьшится к моменту времени 1000t0. Это означает, что интервал времени до t2 = 800t0 после начала процесса конденсации на частицах необходим для того, чтобы капельки увеличились в размерах достаточно сильно и начали оказывать существенное влияние на параметры течения пара. Если в момент образования центров диаметр кластера Dc = 9.8 ∙ 10–10 м, то при t1 диаметр капли Dc = 1.51 ∙ 10–8 м, при t2 – Dc = 4.8 ∙ 10–8 м.
Из сравнения распределений степени пересыщения и величины плотности потока массы для моментов времени 300t0 и 500t0 (рис. 7 и 6) видно, что на протяжении 200t0 с момента появления капель в области расчета величина плотности потока массы вещества и степень пересыщения за это время практически не изменяются. Это обстоятельство также позволяет в первом приближении не учитывать образующиеся малые кластеры до момента установления стационарного распределения пересыщения. На рис. 6–8 распределения параметров до начала появления кластеров указаны линиями с символами “кружок”.
Для оценки влияния капель на изучаемый процесс вычислим время, за которое возмущение дойдет от горячей поверхности до холодной. Потоку массы, показанному линией с красными маркерами на рис. 6, соответствует безразмерная скорость u = 0.5u0. Расстояние между пластинами равно L = 50l0. Тогда время t3 = 50l0/0.5u0 = 100t0, т. е. t3 < t1. Важно отметить, что в данной модели центры конденсации являются неподвижными, а также их количество не меняется. Но если бы частицы могли двигаться вместе с потоком пара, исчезать на холодной поверхности и вновь образовываться в объеме, они не успели бы увеличить свои размеры в достаточной степени. Таким образом, полученные результаты для неподвижных капель могут быть использованы для выяснения степени влияния процесса гомогенной нуклеации на интенсивность испарения/конденсации в случае движущихся центров конденсации. Как показывают оценки характерных времен, а именно времени t1, в течение которого образовавшиеся капли не влияют на макропараметры в исследуемой области, и времени t3 – движения пара от поверхности испарения к поверхности конденсации, влияние центров конденсации на течение пара в случае их движения со скоростью потока при t3 < t1 не наблюдалось бы.
Полученные результаты показывают, что при выбранных параметрах задачи присутствие неподвижных центров конденсации оказывает значительное влияние на течение пара в исследуемой области. Важно отметить, что для получения решения были сделаны следующие допущения: 1) неподвижность капель; 2) их неизменное количество (в качестве первого приближения) и 3) постоянство температуры частиц. Процессы коагуляции капель и наличие докритических капель в работе не рассматривались. Как отмечалось выше, первое и второе условия являются принципиальными для предложенной расчетной модели с точки зрения влияния центров конденсации на течение пара. Отказ от условия 3), очевидно, приведет к снижению воздействия капель на поток. Когда молекулы пара осаждаются на поверхности капли, ее температура растет, вместе с этим увеличивается испарение, и, соответственно, происходит уменьшение размеров. Таким образом, размеры центров не будут увеличиваться так сильно, как при постоянной температуре, влияние на профили плотности, температуры и потока массы станет существенно ниже.
ВЫВОДЫ
В работе представлен подход, позволяющий учитывать влияние присутствующих в исследуемой области растущих капель жидкости на интенсивность массопереноса в процессе переконденсации.
На базе оценок времени образования капли критического размера (примерно 4.2 ∙ 10–9 c), а также времени распространения пересыщения (примерно 1.7 ∙ 10–7 с), показано, что в первом приближении возможно осуществлять описание в два этапа: на первом из них рассматривать процесс установления стационарных параметров без учета присутствия капель, а на втором учесть их наличие.
Полученные результаты показали, что в случае неподвижных капель наблюдается сильное влияние процесса объемной конденсации на интенсивность процесса. Это обусловлено следующим фактом. Через относительно малый промежуток времени после появления капель в исследуемой области (≈2.2 ∙ 10–6 с) диаметры капель за счет процесса конденсации увеличиваются примерно в 50 раз, что приводит к существенному изменению параметров течения пара.
ФИНАНСИРОВАНИЕ РАБОТЫ
Работа выполнена при финансовой поддержке Российского научного фонда (грант № 22-19-00044)
СОБЛЮДЕНИЕ ЭТИЧЕСКИХ СТАНДАРТОВ
В данной работе отсутствуют исследования человека или животных.
КОНФЛИКТ ИНТЕРЕСОВ
Авторы данной работы заявляют, что у них нет конфликта интересов.
About the authors
В. Ю. Левашов
Институт Механики МГУ
Author for correspondence.
Email: vyl69@mail.ru
Russian Federation, Мичуринский проспект 1, Москва, 119192
А. П. Крюков
Институт Механики МГУ; Национальный исследовательский университет “МЭИ”
Email: vyl69@mail.ru
Russian Federation, Мичуринский проспект 1, Москва, 119192; ул. Красноказарменная 14, Москва, 111250
И. Н. Шишкова
Национальный исследовательский университет “МЭИ”
Email: vyl69@mail.ru
Russian Federation, ул. Красноказарменная 14, Москва, 111250
References
- Крюков А.П., Левашов В.Ю., Жаховский В.В., Анисимов С.И. Тепло и массоперенос на межфазных поверхностях конденсат – пар // Успехи физических наук. 2021. Т. 191. № 2. С. 113–146. https://doi.org/10.3367/UFNr.2020.04.038749
- Labuntsov D.A., Kryukov A.P. Analysis of intensive evaporation and condensativon // Int. J. Heat Mass Transf. 1979. V. 22. № 7. P. 989–1002. https://doi.org/10.1016/0017-9310(79)90172-8
- Kalikmanov V.I. Nucleation Theory. Springer Netherlands, 2013. P. 17.
- Левашов В.Ю., Майоров В.О., Крюков А.П. Влияние гомогенной нуклеации на параметры пара вблизи поверхности испарения: упрощенный подход // Письма в Журнал технической физики. 2022. Т. 48. № 21. С. 6–9. https://doi.org/10.21883/PJTF.2022.21.53703.19342
- Левашов В.Ю., Майоров В.О., Крюков А.П. Изменение величины испарительного потока в результате объемной конденсации пара вблизи межфазной поверхности // Письма в Журнал технической физики. 2023. Т. 49. № 10. С. 9–12. https://doi.org/10.21883/PJTF.2023.10.55426.19532
- Kryukov A.P., Podcherniaev O., Hall P.H., Plumley D.J., Levashov V.Yu., Shishkova I.N. Selective water vapor cryopumping through argon // Journal of Vacuum Science and Technology A. 2006. V. 24. № 4. P. 1592–1596. https://doi.org/10.1116/1.2194928
- Крюков А.П., Левашов В.Ю., Шишкова И.Н. Исследование течений газопылевой смеси методами молекулярно-кинетической теории // Инженерно-физический журнал. 2002. Т. 75. № 4. С. 12–17.
- Шишкова И.Н., Ястребов А.К. Испарение и конденсация при наличии наночастиц в объеме пара // Коллоидный журнал. 2015. Т. 77. № 5. С. 669–675. https://doi.org/10.7868/S0023291215050171
- Крюков А.П., Левашов В.Ю., Шишкова И.Н. Течение пара при наличии процессов испарения-конденсации на твердых частицах // Прикладная механика и техническая физика. 2004. Т. 45. № 3. С. 119–128.
- Коган М.Н. Динамика разреженного газа. М.: Наука, 1967. 440 с.
- Аристов В.В., Черемисин Ф.Г. Прямое численное решение кинетического уравнения Больцмана. М: Вычислительный Центр РАН. 1992.
- Анисимов С.И., Имас Я.А., Романов Г.С., Ходыко Ю.В. Действие излучения большой мощности на металлы. М.: Наука, 1970. 272 с.
- Фисенко С.П. Микроструктура поля пересыщения при гомогенной нуклеации в парогазовой смеси // Журнал технической физики. 2013. Т. 83. № 5. С. 35–40. https://doi.org/10.21883/PJTF.2022.21.53703.19342
- Feder J., Russell K.C., Lothe J., Pound G.M. Homogeneous nucleation and growth of droplets in vapours // Advances in Physics. 1996. V. 15. № 57. P. 111–178. https://dx.doi.org/10.1080/00018736600101264
- Жуховицкий Д.И. Теория гомогенной нуклеации с поправкой на размер кластеров // Теплофизика высоких температур. 1994. Т. 32. № 2. С. 261–266.
- Zhukhovitskii D.I. Molecular dynamics study of cluster evolution in supersaturated vapor // The Journal of Chemical Physics 1995. V. 103. № 21. P. 9401–9407. https://doi.org/10.1063/1.470000
- Diemand J., Angelil R., Tanaka K.K., Tanaka H. Large scale molecular dynamics simulations of homogeneous nucleation // The Journal of Chemical Physics 2013. V. 139. № 7. P. 074309. https://doi.org/10.1063/1.4818639
- Терешкин В.С., Левашов В.Ю. Молекулярно-динамический поход к исследованию гомогенной нуклеации // Проблемы газодинамики и тепломассообмена в энергетических установках: Тезисы докладов XXIV Школы-семинара молодых ученых и специалистов под руководством академика А.И. Леонтьева, посвященная 100-летию академика В.Е. Алемасова. Казань. ООО ПК «Астор и Я». 2023. С. 152–153.
- Стернин Л.Е. Основы газодинамики двухфазных течений в соплах. М.: Машиностроение, 1974.
Supplementary files










