Механохимическое получение композитов поливиниловый спирт/карбоксиметилцеллюлоза
- Authors: Дабижа О.Н.1, Шилова О.А.1, Иванькова Е.М.2
-
Affiliations:
- Институт химии силикатов им. И. В. Гребенщикова РАН
- Институт высокомолекулярных соединений РАН
- Issue: Vol 86, No 2 (2024)
- Pages: 204-217
- Section: Articles
- Submitted: 08.07.2024
- Accepted: 08.07.2024
- Published: 15.03.2024
- URL: https://bakhtiniada.ru/0023-2912/article/view/259158
- DOI: https://doi.org/10.31857/S0023291224020059
- EDN: https://elibrary.ru/DGXQZQ
- ID: 259158
Cite item
Full Text
Abstract
Экологически чистым методом “мягкой” механохимической активации без растворителя и сшивающих агентов получены биоразлагаемые твердофазные композиты поливиниловый спирт/ карбоксиметилцеллюлоза, перспективные для применения в фармацевтике, сельском хозяйстве, химической промышленности. Воздушно-сухие смеси поливинилового спирта и карбоксиметилцеллюлозы в массовом соотношении 2 : 1; 1 : 1; 1 : 2 подвергали ударно-сдвиговому воздействию в течение 3 и 5 мин (доза механической энергии 0.74 и 1.24 кДж/г) с помощью вибрационного истирателя ИВС-4 (1500 об./мин; 23.4 Гц; 0.55 кВт; навеска пробы 50 г; отношение массы размольных тел к массе образца 44 : 1). Механоактивированные образцы, представляющие собой средние порошки (насыпная плотность больше 600 и меньше 1000 кг/м3), исследованы методами сканирующей электронной микроскопии, дифференциальной сканирующей калориметрии и термогравиметрии, инфракрасной спектроскопии, оптической микроскопии, пикнометрии, методом спектра мутности, гравиметрии. Найдено, что механохимическая активация смеси с эквимассовым содержанием поливинилового спирта и карбоксиметилцеллюлозы и дозой энергии 1.24 кДж/г позволяет получить достаточно прозрачные в видимой области (мутность равна 0.14 см–1) и стабильные в течение 96 ч полимерные растворы концентрации 1 г/дл. Установлено, что поливиниловый спирт кристаллизуется из водных растворов концентраций 1 и 2 г/дл при высушивании при 25°С в дендриты или кристаллиты, после дозы энергии 0.74 и 1.24 кДж/г соответственно. Полимерные пленки композитов имеют сложную морфологию, включающую дендритные и аксиалитные кристаллические формы. Выявлено, что механохимическая обработка стимулирует формирование кристаллических форм полимеров, изменяет их межмолекулярное взаимодействие и затрагивает гидроксильные и эфирные группы карбоксиметилцеллюлозы и гидроксильные группы поливинилового спирта.
Full Text
ВВЕДЕНИЕ
Композиты ПВС/КМЦ –[CH2–CH(OH)]m– –[C6H7O2(OH)3-x(OCH2COOH)x]n–, где x = 0.08–1.5, и/или ПВС/Na-КМЦ представляют интерес как недорогой, доступный, биодеградируемый [1] упаковочный материал, удобрение с пролонгируемым действием [2], пролонгатор для адресной доставки лекарственных средств [3], сепарационная пленка для серебряно-цинковых и никель-цинковых аккумуляторов [4], структурно-чувствительные пленки к УФ-излучению и электрическому полю [5]. Композицию на основе Na-КМЦ и ПВС рекомендуют в качестве связующего при получении теплоизоляционного материала [6]. Из полимерного материала, включающего ПВС/КМЦ, антоцианы или бетацианины, или их смесь в массовом соотношении 2 : 2, 3 : 1, 1 : 3, разработана колориметрическая пленка для интеллектуальной упаковки [7], а из композиции ПВС/крахмал/КМЦ – перспективный упаковочный материал с улучшенными механическими свойствами [8]. Карбоксиметилцеллюлоза (КМЦ) содержит карбоксильные группы в алкильном заместителе макромолекулы и гидроксильные группы, которые могут образовывать водородные связи с гидроксильными группами поливинилового спирта (ПВС) непосредственно [9] либо с участием молекул воды. В качестве наполнителей и сшивателей композиции ПВС/КМЦ применяли многостенные углеродные нанотрубки [10] и тетраборат натрия [11], борную кислоту [12], катионы железа (III) [13], тетрахлорид титана [14], сульфат алюминия [15] соответственно. Для сшивания КМЦ, ПВС и поливинилпирролидона в соотношении 1 : 1 : 1 методом заливки растворителем использовали глиоксаль и глутаральдегид [16]. Механохимический способ получения полимерных композитов является экологически чистым и не требует применения сшивателей. Под действием механического напряжения макромолекулы способны выпрямляться и кристаллизоваться, уменьшаются размеры частиц полимера [17]. Полимерные композиты с массовым соотношением ПВС : Na-КМЦ, равным 1 : 1; 2 : 1; 3 : 1; 3 : 2; 5 : 2 вследствие механохимического воздействия в вибрационной шаровой мельнице МЛ-1 (100 об./мин; керамические шары диаметром 10–40 мм) длительностью 5, 15, 45, 60 мин [3] обладали повышенной плотностью и кинематической вязкостью (3%-ные растворы) [18], пониженной пористостью и улучшенной сыпучестью. Авторы установили оптимальным время механической обработки 45 мин, что не является выгодным с экономической позиции. В ударно-волновой установке композиты, в том числе с нанодисперсной структурой, получали измельчением и смешиванием – это порошки с невысокой насыпной плотностью [19]. В целом механохимические способы получения композитов ПВС/КМЦ [20] изучены недостаточно.
Цель настоящей работы заключалась в получении полимерных композиционных материалов ПВС/КМЦ с помощью механохимического воздействия типа удар со сдвигом в лабораторном виброистирателе, исследовании их морфологии, структуры и физических свойств, устойчивости полимерных растворов, а также морфологии полимерных пленок.
ЭКСПЕРИМЕНТАЛЬНАЯ ЧАСТЬ
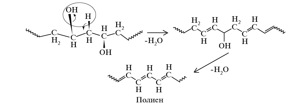
Композиты ПВС/КМЦ получали методом механохимической активации воздушно-сухих смесей ПВС (02-1799, Китай) и КМЦ (Molecularmeal, Китай) в массовых соотношениях 2 : 1; 1 : 1; 1 : 2 в истирателе вибрационном ИВС-4 в течение 3 и 5 мин (доза механической энергии составила 0.74 и 1.24 кДж/г соответственно); установленная мощность 0.6 кВт; частота колебаний 23.4 Гц; частота вращения 1500 об./мин; отношение масс размольных тел из инструментальной стали ХВГ и полимерной смеси составляло 44 : 1. Выбор времени механохимического воздействия ограничен разогревом стальных размольных тел до температуры ~50°С. Порошки ПВС и КМЦ после 5 мин механохимической активации приобрели сероватую окраску, а при их растворении в воде наблюдается в незначительном количестве включение высокодисперсных черных частиц. Это может указывать на наличие среди продуктов механохимического превращения полиеновых фрагментов (–СН=СН–) [21].
Исходные полимерные растворы концентрации 1 и 2 г/дл получали растворением в дистиллированной воде, нагреванием до 90°С при периодическом механическом перемешивании в термостате-редуктазнике ЛТР-24. Полимерные пленки готовили методом полива на стеклянные подложки и сушили на воздухе при 25°С, как в работе [5].
Средневязкостную молекулярную массу исходных и подвергнутых механической активации в указанных выше условиях исходных полимеров определяли методом вискозиметрии по уравнению Марка–Куна–Хаувинка [η] = К⋅Mα, где [η] – характеристическая вязкость полимера в растворителе, дл/г. Константы в этом уравнении принимали равными К = 6.6 · 10–4 и 5.95 · 10–4 дл/г; α = 0.91 и 0.63; растворитель 1.5 М NaOH и дистиллированная вода для КМЦ [22] и ПВС соответственно. Средневязкостные молекулярные массы КМЦ и ПВС составляют 42300; 12500; 11000 и 14400; 8800; 3400 при дозах поглощенной энергии равных 0; 0.74; 1.24 кДж/г соответственно. Уменьшение молекулярной массы при увеличении дозы подведенной механической энергии является следствием механодеструкции цепей полимеров и разрыва ковалентных связей.
Насыпную плотность (ρнас) измеряли гравиметрическим, а истинную плотность (ρист) – пикнометрическим методом, рабочая жидкость – гексан (квалификация ч. д. а.; ρ = 0.6548 г/см3), и рассчитывали по формуле:
где m – масса пустого пикнометра, г; m1 – масса пикнометра с гексаном, г; m2 – масса пикнометра с полимером, г; m3 – масса пикнометра с полимером и гексаном, г; 0.0011 г/см3 – плотность воздуха при внешних условиях в месте измерений (T = 25°С; Р = 700 мм. рт. ст.).
Гигроскопичность (ε, %) определяли гравиметрическим методом, после 24 ч пребывания образцов в бюксах над водой в эксикаторе при 25°С. Среднее влагосодержание (М, %) полимеров и композитов измеряли гравиметрическим методом после 3-часовой сушки в печи при 103°С и последующего остывания до 25°С в эксикаторе. Пористость слоя (П, %) вычисляли по формуле:
Морфологию полимерных порошков исследовали с помощью сканирующего электронного микроскопа Supra 55VP (Carl Zeiss, Германия) в режиме вторичных электронов при ускоряющем напряжении 5 кВ. При этом частицы помещали на проводящую подложку и во избежание накопления заряда наносили на них тонкий слой платины в установке Q150T ES (Quorum Instruments, Великобритания).
Термический анализ полимеров проводили методами дифференциальной сканирующей калориметрии (ДСК) и термогравиметрии (ТГ) с помощью синхронного термоанализатора STA 449F1 NETZSCH. Образцы КМЦ, ПВС/КМЦ и ПВС массой ~20 мг взвешивали в платиновом тигле и нагревали со скоростью 20°С/мин в атмосфере аргона в температурных интервалах от 25 до 600 и от 25 до 997°С соответственно. В качестве ячейки сравнения использовали пустой платиновый тигель.
ИК-спектры полимерных порошков регистрировали с помощью ИК-Фурье спектрометра FTIR-8400S (Shimadzu, Япония) в таблетках с бромидом калия. Индекс кристалличности КМЦ рассчитывали как относительную интенсивность – отношение оптических плотностей полос поглощения (п. п.) при 1418 и 914 см–1 (D1418/D914).
Оптическую плотность полимерных растворов концентраций 1 и 2 г/дл измеряли в интервале длин волн 364–540 нм при 25°С с помощью фотоэлектроколориметра КФК-2 в кюветах толщиной 2 см, раствор сравнения – дистиллированная вода. Среднемассовый радиус надмолекулярных образований определяли методом спектра мутности и вычисляли методом Геллера [23] через параметр Z = –3.7195tgα + 16.197. Устойчивыми условно принимали те полимерные растворы, относительные изменения оптической плотности которых за 96 ч составляли не более 7%.
Морфологию полимерных пленок исследовали с помощью ZOOM стереомикроскопа Meiji Techno серии RZ с общим увеличением ×150 в режиме проходящего света.
РЕЗУЛЬТАТЫ И ОБСУЖДЕНИЕ
Механохимическая активация представляет собой сложный многофакторный физико-химический процесс, изменяющий структуру и степень кристалличности полимеров, что отражается в первую очередь на их физических свойствах. В табл. 1 приведены обозначения образцов, принятые в работе, время механохимической активации и доза механической энергии, а также значения насыпной и истинной плотностей, пористости, гигроскопичности, влагосодержания, время растворения в воде при 90°С. Исследуемые полимерные порошки относятся к средним по величине насыпной плотности, которая изменяется от 0.6 до 0.9 г/см3. Обнаружено, что с увеличением дозы механической энергии от 0.74 до 1.24 кДж/г истинная плотность образцов КМЦ и ПВС увеличивается на 4 и 7%, насыпная плотность уменьшается на 1 и 3%, пористость увеличивается на 3 и 9% соответственно. Наблюдается увеличение гигроскопичности и влагосодержания полимерных композитов ПВС/КМЦ на 8–12 и 4–6% с повышением дозы механической энергии на указанную выше величину и на 13 (РС21-3 и РС12-3) и 11% (РС21-5 и РС12-5) с увеличением в них содержания КМЦ на 34%. Эти изменения объясняются увеличением содержания аморфной фазы в механоактивированных образцах. Пористость порошков полимерных композитов принимает значения от 42 до 58% и увеличивается на 9–18% при повышении дозы механической энергии на 0.5 кДж/г. Максимальные значения истинной плотности и пористости регистрируются у композитов РС11-3 и РС12-5 соответственно. Время растворения порошков в воде увеличивается с повышением содержания в их составах КМЦ и дозы подведенной механической энергии. Механоактивированная КМЦ переходит в жидкое состояние в 2–4 раза дольше, чем подвергнутый аналогичному воздействию ПВС. Легче остальных растворяются в воде те образцы композитов, в составе которых, как правило, преобладает ПВС – РС21-3; РС11-3; РС21-5 (1 г/дл); РС21-5 (2 г/дл). Следует подчеркнуть, что невысокая насыпная плотность порошков благоприятствует формированию ажурных композиционных волокнистых материалов [19]. Найдено, что невысокой насыпной плотностью (ρнас < 0.7 г/см3) и вместе с тем наибольшей гигроскопичностью характеризуются композиты РС11-5; РС12-5, а наибольшей пористостью – РС12-5; РС11-3.
Таблица 1. Состав и физические характеристики полимерных образцов: насыпная (ρнас) и истинная плотность (ρист), пористость порошка (П), гигроскопичность (ε), влагосодержание (М), время растворения (t) в воде при 90°С
Образцы | Состав, масс. % | tМА, мин (D, кДж/г) | ρнас, г/см3 | ρист, г/см3 | П, % | ε, % | М, % | t, мин | ||
ПВС | КМЦ | 1 г/дл | 2 г/дл | |||||||
Р-3 | 100 | 0 | 3 (0.74) | 0.8621 | 1.7425 | 50.5 | 0.39 | 0.06 | 45 | 45 |
РС21-3 | 67 | 33 | 0.8214 | 1.4203 | 42.2 | 0.50 | 0.12 | 45 | 110 | |
РС11-3 | 50 | 50 | 0.7193 | 1.5386 | 53.3 | 0.56 | 0.19 | 45 | 100 | |
РС12-3 | 33 | 67 | 0.7370 | 1.4980 | 49.5 | 0.66 | 0.25 | 75 | 100 | |
С-3 | 0 | 100 | 0.7002 | 1.3256 | 46.7 | 0.68 | 0.30 | 100 | 165 | |
Р-5 | 100 | 0 | 5 (1.24) | 0.8409 | 1.8720 | 55.1 | 0.36 | 0 | 45 | 45 |
РС21-5 | 67 | 33 | 0.7849 | 1.4914 | 47.4 | 0.58 | 0.18 | 45 | 45 | |
РС11-5 | 50 | 50 | 0.6998 | 1.4438 | 51.5 | 0.68 | 0.23 | 75 | 125 | |
РС12-5 | 33 | 67 | 0.6229 | 1.4963 | 58.4 | 0.74 | 0.29 | 75 | 130 | |
С-5 | 100 | 0 | 0.6927 | 1.3308 | 47.9 | 0.70 | 0.37 | 125 | 125 | |
На рис. 1 показаны СЭМ-изображения механоактивированных полимерных порошков ПВС и КМЦ при трех увеличениях. Обнаружено, что ПВС имеет сложную морфологию, представляющую собой агломераты из агрегатов полидисперсных частиц глобулярной формы. Повышение дозы поглощенной энергии от 0.74 до 1.24 кДж/г приводит к увеличению размера агломератов в несколько раз и доли агрегатов частиц с более высокой дисперсностью при сохранении общего характера морфологии, наблюдаемой на микрофотографиях образцов полимера P-3 и P-5. СЭМ-изображения карбоксиметилцеллюлозы после 3 и 5 мин механохимической активации (С-3 и С-5) качественно похожи и свидетельствуют о том, что этот полимер состоит из имеющих многослойную структуру дефектных фибриллярных чешуйчатых волокон различной длины, имеющих многослойную структуру. Следовательно, в результате механического воздействия ударно-сдвигового типа в ПВС формируется агломерационно-агрегативная структура, а в КМЦ повышается степень дефектности волокон.
Рис. 1. СЭМ-изображения механоактивированных поливинилового спирта и карбоксиметилцеллюлозы: P – ПВС; C – КМЦ; 3 и 5 – время механохимической активации, мин.
Изменения морфологии поверхности частиц после применения механохимической активации ударно-истирающего типа видны также на СЭМ-изображениях композитов ПВС/КМЦ при четырех увеличениях (рис. 2). Анализ этих изображений показал, что агрегаты частиц ПВС размещаются в дефектных областях фибриллярных волокон КМЦ (РС21-3) и внедряются в дефектные слои волокон КМЦ (РС21-5). При эквимассовом соотношении исходных полимеров в составе композитов также имеется гетерогенная система с агломератами из агрегатов частиц ПВС на волокнах и на их расшелушенной поверхности (РС11-3; РС11-5). В случае преобладания КМЦ в составах композитов регистрируется наличие трещин на ее волокнах и агрегатов частиц ПВС (РС12–3), а также агрегаты с агломератами агрегатов частиц на волокнах КМЦ (РС12–5). На всех СЭМ-изображениях образцов ПВС/КМЦ наблюдается неоднородная микроструктура с внедрением агрегатов ПВС в дефектные фибриллярные волокна КМЦ.
Рис. 2. СЭМ-изображения механокомпозитов: РС – поливиниловый спирт/карбоксиметилцеллюлоза; 21, 11, 12 – массовые соотношения ПВС: КМЦ = 2 : 1, 1 : 1, 1 : 2; 3, 5 – время механохимической активации, мин.
Функциональные роли КМЦ и ПВС как основного полимера и полимера-модификатора подтверждаются исследованиями, проведенными методами ДСК и ТГ. Так, потери массы композитов при нагревании коррелируют (rxy = 0.999) с содержанием КМЦ в их составах (табл. 2). На ДСК-кривых механоактивированных КМЦ (С-3 и С-5) первый размытый эндоэффект при 133.9 и 134.3°С соответствует потере физически связанной воды и практически не смещается при увеличении дозы механической энергии, в отличие от второго эндоэффекта, который имеет место при 447.9 и 443.4°С соответственно. Потери массы при 597°С составили 62.70 и 62.81% для С-3 и С-5 соответственно, что указывает на присутствие в полимере фракции нелетучих компонентов [24, 25]. Интенсивный экзотермический эффект при 304.0 и 303.4°С сопровождается основной потерей массы образца ~42% и обусловлен пиролитической фрагментацией [24], многочисленными реакциями деполимеризации, дегидратации, декарбоксилирования, декарбонилирования и др., процессами интенсивного образования радикалов [25].
Таблица 2. Потери массы и остаточные массы (∆m; m), температуры тепловых эффектов (T) на термограммах полимерных образцов с содержанием карбоксиметилцеллюлозы ω, подвергнутых воздействию с удельной дозой механической энергии D
Образцы | ωКМЦ, % | D, кДж/г | ∆m, % | m597, % | T, °С | |||
100°С | 240°С | 340°С | эндотермы | экзотермы | ||||
Р-3 | 0 | 0.74 | 0.02 | 0.01 | 0.06 | 72.60* | 814 | – |
PC21-3 | 33 | 1.58 | 3.50 | 17.39 | 78.86 | 133 | 305 | |
PC11-3 | 50 | 2.40 | 5.52 | 26.16 | 68.70 | 119 | 306 | |
PC12-3 | 67 | 2.42 | 7.01 | 34.84 | 58.18 | 128 | 304 | |
C-3 | 100 | 2.87 | 10.43 | 52.27 | 37.30 | 134; 448 | 304; 505 | |
P-5 | 0 | 1.24 | 0.13 | 0.22 | 0.29 | 75.96* | 817 | – |
PC21-5 | 33 | 1.66 | 3.50 | 16.87 | 79.66 | 131 | 306 | |
PC11-5 | 50 | 2.23 | 5.41 | 25.79 | 69.18 | 122 | 305 | |
PC12-5 | 67 | 2.50 | 7.31 | 35.36 | 57.71 | 127 | 304 | |
C-5 | 100 | 2.90 | 10.40 | 51.97 | 37.19 | 134; 443 | 303 | |
* Указана остаточная масса при 997°С.
На ДСК-кривых механоактивированных ПВС (Р-3; Р-5) эндоэффекты, соответствующие плавлению полимера, имеются при Т > 800°С, после чего следует интенсивное разложение образцов. При этом ТГ-кривые этих полимеров до температуры 600°С практически горизонтальные с потерей массы при термолизе всего до 0.5%. В композитных образцах ПВС/КМЦ наблюдается только первый эндотермический эффект, смещенный в сторону более низких температур по сравнению с ДСК-кривыми механоактивированных полимеров С-3 и С-5 (табл. 2). Наиболее значительные смещения эндоэффекта указывают на разрыхленную структуру и регистрируются для образцов с эквимассовым соотношением полимеров – 11 и 9% для РС11-3 и РС11-5 соответственно.
На ДТГ-кривых КМЦ и композитов ПВС/КМЦ выделяются две ступени потери массы при термолизе: первый в интервале от 50 до 200, второй (основной) – от 240 до 340°С. Вид всех ТГ-кривых, кроме таковых для ПВС (Р-3, Р-5), качественно схожий. При этом значения потерь массы образцов с одинаковым составом, подвергшихся механохимическому воздействию дозой 0.74 и 1.24 кДж/г, различаются между собой не более чем на 1%. На термограммах образцов ПВС/КМЦ отсутствуют тепловые эффекты в температурном интервале 400–600°С и меньшие потери массы на всех ступенях у ТГ-кривых (табл. 2). Результаты ДСК-ТГ показали, что механоактивированный ПВС претерпевает фазовые превращения только выше 800°С, КМЦ содержит фракцию нелетучих веществ, а термостойкость композитов ПВС/КМЦ, в которых КМЦ играет роль матрицы, а ПВС – полимера-модификатора, снижена не более чем на 9–12% по сравнению с механоактивированной КМЦ.
Изменения в ИК-спектрах механоактивированных ПВС и КМЦ убедительно указывают на структурные преобразования, инициированные поглощением твердыми полимерами механической энергии (рис. 3). Две широкие п. п. в области валентных колебаний ОН-групп с максимумами при 3567 и 3179 трансформируются в одну широкую п. п. ~3300 см–1 (ИК-спектры образцов С-3 и С-5), что свидетельствует о структурной перестройке в системе водородных связей и уменьшении энергетически неравноценных ее типов. Асимметричным валентным колебаниям метиленовой группы принадлежат п. п. при 2874 и 2907 см–1, а колебаниям С–Н в метильной группе – п. п. в области 1400–1470 см–1. Интенсивная п. п. при ~1610 см–1 характеризует колебания карбоксилат-аниона (СОО–). Поглощение в области 1140–1065 см–1 относится к антисимметричным колебаниям эфирных связей С–О–С. Уменьшение интенсивности п. п. при 1030 см–1 (валентные колебания С–О связи в первичной спиртовой группе [26]) по сравнению с интенсивностью п. п. при 1057 см–1 (валентные колебания С–О в связи НС3–ОН [26]) указывают на механодеструкцию в образце С-5 с участием гидроксильных групп у С6. Следовательно, изменения наблюдаются в области валентных колебаний ОН-групп и С–О–С-групп. Индекс кристалличности, являющийся результатом межцепочечных водородных связей и критерием реакционной способности полисахарида [27], составляет 1.48 (С-3) и 1.42 (С-5), т. е. снижается на 4% при увеличении дозы механической энергии. Известно [27], что разорванные цепи целлюлозы обладают большей свободой для формирования более высокоорганизованных структур.
П.п. углеродной цепи наблюдаются в области 900–1200 см–1, а маркером степени кристалличности ПВС служит п. п. при 1140 см–1 [9], которая отсутствует в спектрах его механоактивированных образцов. Максимум п. п. при 1069 см–1, соответствующий валентным колебаниям связей С–С, смещается вследствие увеличения дозы механической энергии в сторону более низких частот и регистрируется при 1037 см–1 (ИК-спектры образцов Р-3 и Р-5). При этом максимумов п. п. становится намного меньше и снижается их интенсивность (рис. 3). Интенсивные п. п. валентных и деформационных колебаний ОН-групп регистрируются при ~3400 и 1651 см–1 соответственно (Р-3) и при 3453 и 1624 см–1 (Р-5) соответственно (рис. 3). П.п. валентных колебаний Сsp3-Н групп отсутствуют (Р-3) или очень слабые и наблюдаются при 2924, 2855 см–1 (Р-5). П.п. слабой интенсивности при 995 (Р-3) и 953 см–1 (Р-5) могут принадлежать деформационным колебаниям С–Н фрагментов –СН=СН–. Значительные смещения максимумов полос поглощения в низкочастотную область объясняются изменением величин межмолекулярного взаимодействия и дегидратацией с образованием сопряженных полиеновых структур (рис. 4) [21], в большей степени в образце Р-5.
Рис. 3. ИК-спектры механоактивированных поливинилового спирта и карбоксиметилцеллюлозы: P – ПВС; C – КМЦ; 3 и 5 – время механохимической активации, мин.
В ИК-спектрах композитов ПВС/КМЦ с соотношением полимеров 2:1 легко увидеть незначительные смещения многих п. п. в высокочастотную область на 2–7 см–1, вызванные уменьшением частиц полимера, и вместе с тем незначительные смещения п. п. в низкочастотную область, указывающие на повышение энергии возбуждения (рис. 3). При эквимассовом соотношении ПВС и КМЦ в ИК-спектрах образцов РС11-3 и РС11-5 наблюдаем смещение характеристической п. п. при 1613 на 5 см–1 в сторону более высоких частот с повышением ее интенсивности. Такой “голубой” сдвиг может указывать на повышение дисперсности частиц порошка, а увеличение относительной интенсивности п. п. на ~29% свидетельствует о повышении содержания карбоксилат-анионных групп. Также имеют место и смещения п. п. в коротковолновую область спектра и исчезновение п. п. при 984 см–1 (РС11-3) после 5 мин механической активации. Изменения в ИК-спектрах композитных образцов с соотношением ПВС и КМЦ 1 : 2 затрагивают область валентных колебаний ОН-групп, С–Н-групп, СОО- и С–О–С-групп (рис. 4). Следовательно, структурные изменения, регистрируемые в ИК-спектрах полимерных композитов, убедительно показывают наличие процессов диспергирования полимерных частиц и также их агрегации с участием водородных связей, возникающих между гидроксильными группами КМЦ и ПВС, и эфирных связей карбоксиметилцеллюлозы.
Рис. 4. Схема образования полиеновых структур из поливинилового спирта.
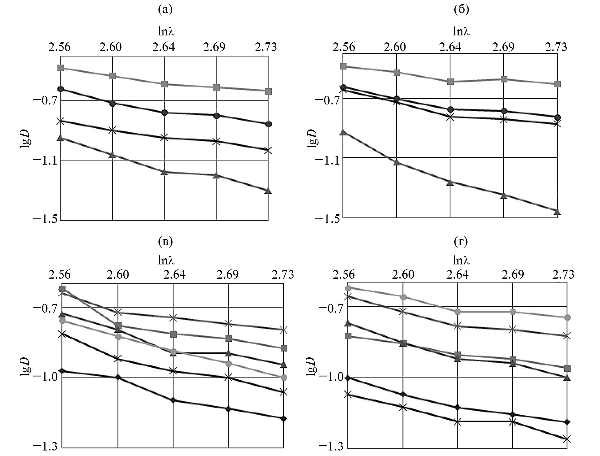
В растворах смесей КМЦ и ПВС изменяются конформации макромолекул и происходит перестройка структурной организации [28]. Известно, что КМЦ со степенью замещения СЗ = 1.2 молекулярно растворяется в воде с локально жесткой конформацией [29]. С увеличением концентрации КМЦ образуются макромолекулярные ассоциаты – явление, проявляющееся в увеличении размера частиц, рассеивающих свет [30, 31]. Выявлено, что мутность полимерных растворов увеличивается с повышением дозы подведенной механической энергии от 0.74 до 1.24 кДж/г. Наблюдающееся уменьшение мутности растворов 1 г/дл образцов Р-3; Р-5; РС21-3; РС 11-3; РС 11-5 и 2 г/дл Р-3; Р-5; РС 12-5; С-5 обусловлено флуктуациями плотности и чувствительностью ансамбля надмолекулярных частиц к любым, не всегда контролируемым возмущениям системы [32]. Наиболее устойчивыми во времени можно считать водные растворы композитов РС 21-5; РС11-5; РС12-5 и РС21-3; РС11-5 концентраций 1 и 2 г/дл соответственно. Среднемассовый радиус надмолекулярных образований в водных растворах полимеров (табл. 3), вычисленный по зависимостям логарифма оптической плотности от логарифма длины волны (рис. 5) методом Геллера [23], принимает значения от 198 (1 г/дл РС12-5) до 243 нм (2 г/дл РС12-5).
Таблица 3. Мутность (τ) полимерных растворов при λ = 400 нм, коэффициент детерминации (R2) и тангенс угла наклона (tgα) прямых lgD = f(lgλ), среднемассовый радиус надмолекулярных образований (rw)
Образцы | τ, см–1 | R2 | tgα | rw, нм | τ, см–1 | R2 | tgα | rw, нм | ||
t = 0 ч | t = 96 ч | t = 0 ч | t = 96 ч | |||||||
Концентрация раствора 1 г/дл | Концентрация раствора 2 г/дл | |||||||||
Р-3 | 0.10 | 0.06 | 0.964 | 1.96 | 160 | 0.17 | 0.13 | 0.972 | 2.99 | 91 |
РС21-3 | 0.12 | 0.09 | 0.967 | 1.26 | 207 | 0.20 | 0.21 | 0.964 | 1.06 | 220 |
РС11-3 | 0.18 | 0.16 | 0.918 | 1.23 | 209 | 0.39 | 0.44 | 0.961 | 1.26 | 207 |
РС12-3 | 0.26 | 0.28 | 0.909 | 0.84 | 235 | 0.44 | 0.55 | 0.932 | 0.94 | 229 |
С-3 | 0.22 | 0.24 | 0.949 | 1.27 | 206 | 0.46 | 0.53 | 0.936 | 1.13 | 216 |
Р-5 | 0.15 | 0.05 | 0.984 | 1.08 | 219 | 0.44 | 0.33 | 0.911 | 1.34 | 202 |
РС21-5 | 0.19 | 0.20 | 0.828 | 1.30 | 204 | 0.32 | 0.37 | 0.985 | 0.78 | 239 |
РС11-5 | 0.14 | 0.13 | 0.951 | 1.33 | 202 | 0.28 | 0.29 | 0.948 | 1.02 | 223 |
РС12-5 | 0.17 | 0.18 | 0.999 | 1.39 | 198 | 0.51 | 0.43 | 0.903 | 0.72 | 243 |
С-5 | 0.34 | 0.38 | 0.958 | 0.89 | 232 | 0.69 | 0.58 | 0.849 | 0.66 | 247 |
Рис. 5. ИК-спектры механокомпозитов: РС – поливиниловый спирт/карбоксиметилцеллюлоза; 21, 11, 12 – массовые соотношения ПВС : КМЦ = 2 : 1, 1 : 1, 1 : 2; 3, 5 – время механохимической активации, мин.
Структурообразование полимеров в водных растворах и их надмолекулярные структуры оказывают влияние на морфологию полимерных пленок (рис. 6). На заключительных стадиях высушивания пленок ПВС происходит его кристаллизация с образованием дендритных и сферолитоподобных кристаллов, срастающихся друг с другом. Наблюдаемые явления согласуются с литературными данными о надмолекулярных частицах, представляющих собой фрагменты наиболее совершенных кристаллитов [33], и интенсификации процессов кристаллизации макромолекул в механическом поле [34]. КМЦ образует однородные прозрачные пленки. Пленки полимерных композитов имеют сросшиеся разветвленные кристаллические морфологии. Исключение составляет образец РС11-5, на оптическом изображении которого видны соединяющиеся сферолитные оболочки и дендритные оси первого порядка. Известно [35], что повышение концентрации полимера-модификатора (ПВС), сопровождающееся расслоением системы, ведет к разрушению каркасной сетки макромолекул модификатора и к его выделению в дисперсное состояние. Очевидно, по этой причине на оптических изображениях полимерных пленок, полученных из растворов 1 и 2 г/дл образцов РС21-3, РС21-5, видна сегрегация полимеров. Повышение концентрации растворов до 2 г/дл изменяет характер морфологии кристаллических форм полимеров (рис. 5). Так, на изображении пленки ПВС после 3 минут механохимического воздействия (образец Р-3) наблюдаются хорошо оформленные дендриты, а после 5-минутной механоактивации – монокристаллы полимера (образец Р-5). Кристаллизация полимеров свидетельствует о сильных межцепных взаимодействиях. Для пленок КМЦ из раствора концентрации 2 г/дл по сравнению с концентрацией 1 г/дл существенных изменений не выявлено. Кроме, конечно, темных примесных включений – полиеновых сопряженных структур, придающих порошку сероватый оттенок и снижающих прозрачность пленки. У полимерных композитов РС11-3; РС11-5; РС12-3; РС12-5 оптические изображения включают хаотически ориентированные разветвленные пучки и квазисферические дисперсные темные образования. На их фоне выделяются изображения образцов РС21-3 и РС21-5, представляющие собой ориентированные пучки и дендрито-сферолитоподобные кристаллические формы. Следовательно, увеличение дозы подведенной механической энергии (времени механохимической активации) стимулирует кристаллизацию поливинилового спирта при высыхании пленок и изменяет вид кристаллических форм полимеров. Прозрачными остаются полимерные пленки, полученные из растворов механоактивированной КМЦ, концентраций 1 и 2 г/дл, а наименее гетерогенной – пленка из полимерного раствора образца РС11-5 и концентрации 1 г/дл.
Рис. 6. Зависимость логарифма оптической плотности полимерных растворов от логарифма длины волны для концентраций 1 и 2 г/дл (а, в): —●— С‑3; —■— С‑5; —▲— Р‑3; —×— Р‑5; (б, г): —♦— РС21-3; —■— РС21-5; —▲— РС11-3; —×— РС11-5; —ж— РС12-3; —●— РС12-5.
Рис. 7. Оптические изображения полимерных пленок, полученных из растворов концентраций 1 и 2 г/дл (увеличение х150): P – ПВС; C – КМЦ; РС – композиты поливиниловый спирт/карбоксиметилцеллюлоза; 21, 11, 12 – массовые соотношения ПВС : КМЦ = 2 : 1, 1 : 1, 1 : 2; 3, 5 – длительность механохимической активации, мин.
ЗАКЛЮЧЕНИЕ
С помощью виброистирателя ИВС-4 (0.55 кВт; 1500 об/мин) получены средние по величине насыпной плотности порошки – перспективные для многочисленных применений полимерные композиты поливиниловый спирт/карбоксиметилцеллюлоза с массовым соотношением 2 : 1; 1 : 1; 1 : 2 и длительностью механохимического воздействия 3 и 5 мин (доза механической энергии 0.74; 1.24 кДж/г). Выявлено, что полимерные порошки композитов имеют неоднородную микроструктуру, в которой глобулярные агрегаты поливинилового спирта внедрены в пористые и дефектные волокна карбоксиметилцеллюлозы. Вследствие ударно-сдвигового воздействия с дозой 1.24 кДж/г порошки полимерных композитов с соотношением ПВС : КМЦ, равным 1 : 1 и 1 : 2, становятся более рыхлыми и пористыми, а с соотношением 2 : 1 – менее пористыми. У образца ПВС/КМЦ с содержанием ПВС в составе 67 мас. % имеются включения полиеновых фрагментов – продукта механодеструкции поливинилового спирта.
Потери массы при нагревании композитов повышаются симбатно с увеличением в составах содержания карбоксиметилцеллюлозы, в основном в температурном интервале от 240 до 340°С. Показано, что вследствие поглощения механической энергии происходит изменение межмолекулярного взаимодействия с участием гидроксильных групп карбоксиметилцеллюлозы и поливинилового спирта, а также эфирных групп карбоксиметилцеллюлозы. Выявлено, что морфология полимерных пленок композитов имеет вид сросшихся дендритных, сферолитных и пучковых кристаллитных форм и обусловлена стимулированной механическим полем кристаллизацией поливинилового спирта. Среднемассовые радиусы надмолекулярных образований в водных растворах концентраций 1 и 2 г/дл составляют ~200 нм. Установлено, что водный раствор концентрации 1 г/дл образца с эквимассовым соотношением указанных полимеров в композите и дозой механической энергии 1.24 кДж/г достаточно прозрачный и стабильный, мутность составляет 0.14 см–1 и не изменяется более чем на 7% за 96 ч.
ФИНАНСИРОВАНИЕ РАБОТЫ
Исследование проводили в соответствии с темой НИР ГЗ ИХС РАН 0081-2022-0006.
СОБЛЮДЕНИЕ ЭТИЧЕСКИХ СТАНДАРТОВ
В данной работе отсутствуют исследования человека или животных.
КОНФЛИКТ ИНТЕРЕСОВ
Авторы заявляют, что у них нет конфликта интересов.
About the authors
О. Н. Дабижа
Институт химии силикатов им. И. В. Гребенщикова РАН
Author for correspondence.
Email: dabiga75@mail.ru
Russian Federation, наб. адмирала Макарова, 2, Санкт-Петербург, 199034
О. А. Шилова
Институт химии силикатов им. И. В. Гребенщикова РАН
Email: dabiga75@mail.ru
Russian Federation, наб. адмирала Макарова, 2, Санкт-Петербург, 199034
Е. М. Иванькова
Институт высокомолекулярных соединений РАН
Email: dabiga75@mail.ru
Russian Federation, В. О. Большой проспект, 31, Санкт-Петербург, 199034
References
- Студеникина Л.Н., Корчагин В.И., Иушин В.О., Мельников А.А. Влияние природы наполнителя на свойства композита “поливиниловый спирт: полисахарид” // Сорбционные и хроматографические процессы. 2021. Т. 21. № 1. С. 111–118. https://doi.org/10.17308/sorpchrom.2021.21/3226
- Khoramabadi H.N., Arefian M., Hojjati M., Tajzad I., Mokhtarzade A., Mazhar M., Jamavari A. A review of polyvinyl alcohol/carboxymethyl cellulose (PVA/CMC) composites for various applications // Journal of Composites and Compounds. 2020. № 2. P. 69–76. https://doi.org/10.29252/jcc.2.2.2
- Жилякова Е.Т., Попов Н.Н., Халикова М.А., Новикова М.Ю., Придачина Д.В. Технологические характеристики супрамикроструктурированного комбинированного пролонгатора-загустителя Na-КМЦ и ПВС // Международный журнал экспериментального образования. 2015. № 4. (ч. 2). С. 450–452.
- Аракелов Г.Г., Смирнова К.С., Ничволодин А.Г., Хижняк С.Д., Соколов А.В., Пахомов П.М. Композиционные пленки на основе поливинилового спирта и Na-карбоксиметилцеллюлозы для сепарационных целей // Журнал прикладной химии. 2020. Т. 93. № 7. С. 963–968. https://doi.org/10.31857/S0044461820070063
- Лазарева Т.Г., Ильющенко И.А., Алимов И.Ф. Пленочные материалы на основе поливинилового спирта и поликислот // Высокомолекулярные соединения. Серия А. 1994. Т. 36. № 9. С. 1481–1485.
- Патент № 2200716 C2 Российская Федерация, МПК C04B 16/12, C04B 18/02, C04B 18/26. Композиция для получения теплоизоляционного материала и теплоизоляционный материал на ее основе: № 2000119937/04: заявл. 27.07.2000 опубл. 20.03.2003 / В.В. Мальцев, А.В. Разумовский; заявитель Федеральное государственное унитарное предприятие “Научно-исследовательский и проектный институт “Научстандартдом – Гипролеспром”. 8 с.
- Liu D., Zhang C., Pu Y., Chen S., Li H., Zhong Y.. Novel colorimetric films based on polyvinyl alcohol/sodium carboxymethyl cellulose doped with anthocyanins and betacyanins to monitor pork freshness // Food chemistry. 2023. V. 404. P. 134426. https://doi.org/10.1016/j.foodchem.2022.134426
- Taghizadeh M.T., Sabouri N., Ghanbarzadeh B. Mechanochemical activation of carboxy methyl cellulose and its thermoplastic polyvinyl alcohol/starch biocomposites with enhanced physicochemical properties // International Journal of Biochemistry and Biophysics. 2013. V. 1. № 1. P. 9–15. https://doi.org/10.13189/ijbb.2013.010102
- Розенберг М.Э. Полимеры на основе винилацетата. Ленинград: Химия, 1983. 176 с.
- Лысенко А.А., Федорова Ю.Е., Морозова М.А., Абуркина Е.А., Тиранов В.Г. Получение и исследование пленочных нанокомпозитов на основе поливинилового спирта и карбоксиметилцеллюлозы, армированных углеродными нанотрубками // Вестник Санкт-Петербургского государственного университета технологии и дизайна. Серия 1. Естественные и технические науки. 2017. № 3. С. 66–70.
- Труфакина Л.М. Свойства полимерных композитов на основе поливинилового спирта // Известия Томского политехнического университета. Химия и химические технологии. 2014. Т. 325. № 3. С. 92–97.
- Гущин Н.А., Островидова Г.У., Соснов Е.А. Полимерные пленочные антимикробные композиты медицинского назначения // Журнал прикладной химии. 2008. Т. 81. № 1. С. 132–135.
- Wang Sh., Zhang Q., Tan B., Liu L., Shi L. pH-Sensitive poly(vinyl alcohol)/sodium carboxymethylcellulose hydrogel beads for drug delivery // Journal of Macromolecular Science. Part B: Physics. 2011. V. 50 № 12. P. 2307–2317. https://doi.org/10.1080/00222348.2011.563196
- Кувшинова Л.А., Канева М.В., Удоратина Е.В. Карбоксиметилцеллюлоза, модифицированная раствором тетрахлорида титана // Журнал общей химии. 2019. Т. 89. № 4. С. 632–638. https://doi.org/10.1134/S0044460X19040206
- Wahyuni H.S., Yuliasmi S., Winata G. Synthesis of sodium carboxymethyl cellulose-based hydrogel from durian (Durio zibethinus) rind using aluminium sulphate as crosslinking agent // Trop. J. Nat. Prod. Res. 2021. V. 5. № 5. P. 873–876. https://doi.org/10.26538/tjnpr/v5i5.13
- Alfindee M., Sweah Z.J., Saki T.A. Preparation and characterization of polymer blends based on carboxymethyl cellulose, polyvinyl alcohol, and polyvinylpyrrolidone // Egyptian Journal of Chemistry. 2021. V. 64. № 5. Р. 2679–2684. https://doi.org/10.21608/EJCHEM.2021.57276.3234
- Жилякова Е.Т., Попов Н.Н., Новикова М.Ю., Новиков О.О., Халикова М.А., Казакова В.С. Изучение физико-химических и технологических характеристик натрий карбоксиметилцеллюлозы с целью создания пролонгированных лекарственных форм с жидкой дисперсионной средой // Научные ведомости. Серия Медицина. Фармация. 2011. V. 13. № 4 (99). С. 146–153.
- Жилякова Е.Т., Новиков О.О., Халикова М.А., Попов Н.Н., Сабельникова Н.Н., Даниленко Л.М. Изучение физико-химических свойств супрамикроструктурированного поливинилового спирта // Научные ведомости Белгородского государственного университета. Серия: Медицина. Фармация. 2010. V. 12. № 22 (93). С. 47–51.
- Михайлов А.А., Краснов А.А., Дюрягин Б.С. Получение ажурных композиционных волокнистых композиционных материалов через механоактивацию полимерно-неорганической смеси // Конструкции из композиционных материалов. 2003. № 4. С. 7–19.
- Новиков О.О., Жилякова Е.Т., Попов Н.Н. Разработка состава и технологии пролонгированных комбинированных глазных капель антимикробного действия // Современные проблемы науки и образования. 2013. № 6. С. 1015–1023.
- Gilman J.W., Vander Hart D.L., Kashiwagi T. Thermal decomposition chemistry of poly(vinyl alcohol) // ACS Symposium Series: Fire and Polymers II. 1995. V. 599. P. 161–185. https://doi.org/10.1021/bk-1995-0599.ch011
- Петропавловский Г.С. Гидрофильные частично замещенные эфиры целлюлозы и их модификация путем химического сшивания. Ленинград: Наука, 1988. 298 с.
- Heller W., Bhathagar H.L., Nakagaki M. Theotetical investigations on the light scattering of spheres. XIII. The “Wavelength exponent” of differential turbidity spectra // J. Chem. Phys. 1962. V. 36. № 5. P. 1163–1170. https://doi.org/10.1063/1.1732710
- El-Sakhawy M., Tohamy H.-A.S., Salama A., Kamel S. Thermal properties of carboxymethyl cellulose acetate butyrate // Cellulose Chem. Technol. 2019. V. 53. № 7–8. P. 667–675. https://doi.org/10.35812/CelluloseChemTechnol.2019.53.65
- Дейнеко И.П. Химические превращения целлюлозы при пиролизе // Лесной журнал. 2004. № 4. С. 97–112.
- Котенёва И.В., Сидоров В.И., Котлярова И.А. Анализ модифицированной целлюлозы методом ИК-спектроскопии // Химия растительного сырья. 2011. № 1. С. 21–24.
- Goldstein I.S. Wood formation and properties / Chemical properties of wood, Editor(s): Jeffery Burley. Encyclopedia of Forest Sciences. Elsevier, 2004. P. 1835–1839. https://doi.org/10.1016/B0-12-145160-7/00042-9
- Бочек А.М., Шевчук И.Л., Калюжная Л.М. Свойства водных растворов смесей карбоксиметилцеллюлозы разной степени ионизации с поливиниловым спиртом // Журнал прикладной химии. 2010. Т. 83. № 4. С. 660–665.
- Lopez C.G., Rogers S.E., Colby R.H., Graham P., Cabral J.T. Structure of sodium carboxymethyl cellulose aqueous solutions: A SANS and rheology study // J. Polym. Sci. B. Polym. Phys. 2015. V. 53 № 7. P. 492–501. https://doi.org/10.1002/polb.23657
- Вшивков С.А., Бызов А.А. Фазовое равновесие, структура и реологические свойства системы карбоксилметилцеллюлоза – вода // Высокомолекулярные соединения. Серия А. 2013. Т. 55. № 2. С. 170–175. https://doi.org/10.7868/S0507547513020165
- Шачнева Е.Ю., Магомедова З.А., Малачиева Х.З. Изучение физико-химических свойств частиц карбоксиметилцеллюлозы (КМЦ) в водных растворах // Техника и технология пищевых производств. 2014. № 1. С. 152–155.
- Кленин В.И., Федусенко И.В., Клохтина Ю.И. Структура растворов кристаллизующихся полимеров. Влияние способа растворения // Высокомолекулярные соединения. Серия А. 2003. Т. 45. № 12. С. 2054–2062.
- Федусенко И.В., Кленин В.И., Клохтина Ю.И. Влияние механического поля на формирование надмолекулярного порядка в водных растворах поливинилового спирта // Высокомолекулярные соединения. Серия А. 2004. Т. 46. № 9. С. 1591–1597.
- Ориентационные явления в растворах и расплавах полимеров / под ред. Малкина А.Я., Папкова С.П. Москва: Химия, 1980. 280 c.
- Липатов Ю.С. Коллоидная химия полимеров. Киев: Химия, 1984. 344 с.
Supplementary files









