Влияние состава и температуры на динамические свойства смешанных монослоев легочных липидов
- Авторлар: Быков А.Г.1, Панаева М.А.1, Рафикова А.Р.1, Волков Н.А.1, Ванин А.А.1
-
Мекемелер:
- Санкт-Петербургский государственный университет
- Шығарылым: Том 86, № 1 (2024)
- Беттер: 16-25
- Бөлім: Articles
- ##submission.dateSubmitted##: 20.06.2024
- ##submission.dateAccepted##: 20.06.2024
- ##submission.datePublished##: 15.01.2024
- URL: https://bakhtiniada.ru/0023-2912/article/view/257544
- DOI: https://doi.org/10.31857/S0023291224010037
- ID: 257544
Дәйексөз келтіру
Толық мәтін
Аннотация
Основной компонент легочного сурфактанта дипальмитоил фосфатидилхолин (ДПФХ) позволяет снижать поверхностное натяжение практически до нуля при сжатии поверхности легких, что препятствует коллапсу альвеол на выдохе. В данной работе с помощью методов поверхностной реологии было определено влияние шести липидов, входящих в состав легочного сурфактанта, на динамические поверхностные свойства нанесенного монослоя ДПФХ в широкой области поверхностных натяжений и при различных температурах. Особое внимание было уделено области низких поверхностных натяжений (менее 25 мН/м) при температурах 25 и 35°С, что близко к физиологическому состоянию на внутренней поверхности легких. Добавление к ДПФХ липидов с близкой молекулярной структурой не оказывало значительного влияния на динамические поверхностные свойства при температуре 25°С. В то же время при температуре 35°С позволяло увеличивать поверхностную упругость в области малых поверхностных натяжений. Однако в этих условиях присутствие в поверхностном слое липидов с ненасыщенными углеводородными радикалами приводило к противоположному эффекту и препятствовало достижению низких поверхностных натяжений при медленном сжатии. Полученные результаты демонстрируют возможность управления свойствами смешанного слоя, который можно рассматривать в качестве модели легочного сурфактанта.
Негізгі сөздер
Толық мәтін
ВВЕДЕНИЕ
Липиды составляют основу легочного сурфактанта, который покрывает тонкой пленкой раствора внутреннюю поверхность альвеол и обеспечивает функциональность органов дыхания [1, 2]. В состав легочного сурфактанта входит несколько видов липидов, различающихся по структуре гидрофильных и гидрофобных групп, а также несколько белков [3]. Сложный состав легочного сурфактанта затрудняет понимание механизма его действия, позволяющего поддерживать низкие значения поверхностного натяжения при постоянных деформациях сжатия и растяжения межфазной поверхности [4]. Кроме того, легочный сурфактант обладает уникальной способностью к снижению поверхностного натяжения до крайне низких значений при сжатии поверхности, что препятствует схлопыванию альвеол на выдохе [5, 6].
Почти половина массы легочного сурфактанта приходится на цвиттер-ионный фосфолипид ДПФХ, однако присутствие дополнительных липидов в поверхностном слое оказывает значительное влияние на его свойства [7, 8]. В частности, присутствие в поверхностном слое липидов с ненасыщенными углеводородными хвостами приводит к нарушению упорядоченности монослоя и препятствует переходу молекул от жидко-растянутого (ЖР) к жидко-конденсированному (ЖК) состоянию при высоких поверхностных натяжениях (низких поверхностных давлениях) [9–12]. Добавление холестерина может приводить как к увеличению, так и к уменьшению плотности упаковки молекул ДПФХ в поверхностном слое в зависимости от концентрации липидов [13, 14]. Несмотря на то, что в равновесном состоянии ДПФХ способен снижать поверхностное натяжение только до 25–30 мН/м, при сжатии поверхности оно может снижаться практически до нулевых значений [15, 16]. При этом поверхностный слой оказывается в неравновесном состоянии, что приводит к возникновению релаксационных процессов и к изменению структуры монослоя из-за образования трехмерных агрегатов [17–19]. Несмотря на то, что при физиологических условиях поверхностное натяжение на внутренней поверхности легких не превышает 30 мН/м, основные исследования липидных монослоев проводились при высоких поверхностных натяжениях в равновесном состоянии [1–6]. Это связано с ограниченным количеством методов, которые позволяют проводить измерения поверхностных свойств для систем в неравновесном состоянии, особенно при крайне низких значениях поверхностного натяжения [20, 21]. Сравнительно недавно был предложен подход, который позволяет определять эффективную поверхностную упругость в широкой области поверхностных натяжений [22, 23]. Было показано, что скорость релаксационных процессов в поверхностном слое для легочного сурфактанта оказывается намного выше, чем для чистого монослоя ДПФХ [24, 25]. При этом увеличение скорости релаксационных процессов может быть связано с влиянием как дополнительных липидов, так и белков, входящих в состав природного легочного сурфактанта. Для изучения влияния различных компонентов природного легочного сурфактанта на его свойства принято исследовать модельные системы, состоящие из ограниченного количества компонентов [5, 6].
В данной работе были исследованы динамические поверхностные свойства бинарных смешанных монослоев ДПФХ с шестью другими липидами, входящими в состав легочного сурфактанта, в условиях, близких к физиологическим. Кроме того, было исследовано влияние температуры на скорость релаксационных процессов в нанесенных монослоях легочных липидов.
МАТЕРИАЛЫ И МЕТОДЫ
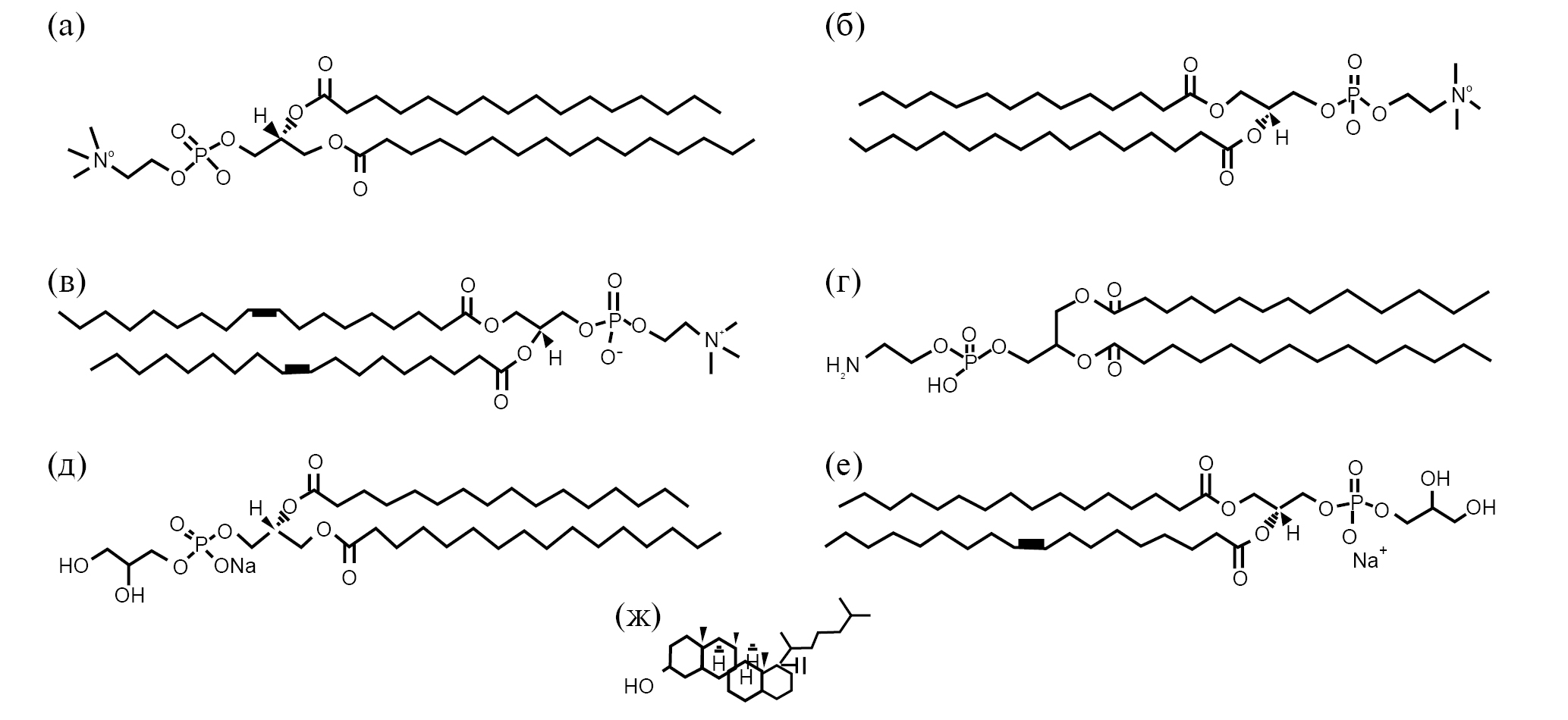
В работе использовались следующие вещества: ДПФХ (Sigma-Aldrich, Германия), димиристоил фосфатидилэтаноламин (ДМЭА) (Sigma-Aldrich, Германия), дипальмитоил фосфоглицерин (ДПФГ) (Sigma-Aldrich, Германия), пальмитоилмиристоил фосфатидилхолин (ПМФХ) (Sigma-Aldrich, Германия), диолеоил фосфатидилхолин (ДОФХ) (Sigma-Aldrich, Германия), холестерин (Sigma-Aldrich, Германия) и пальмитоилолеоил фосфоглицерин (ПОФГ) (Avanti Polar Lipids Inc., США) без дополнительной очистки (рис. 1). Липиды растворяли в смеси хлороформа (Sigma-Aldrich, Германия) и метанола (Sigma-Aldrich, Германия) с объемным соотношением растворителей 3/1. Предварительно растворители очищались методом перегонки. Смешение исходных растворов липидов позволяло получать бинарные смеси ДПФХ и дополнительных липидов с весовым соотношением 3/1 и 9/1. Важно отметить, что концентрация липидов с ненасыщенными углеводородными радикалами в природном легочном сурфактанте может доходить до 35 масс.%, в то время как для холестерина не превышает 10 масс.%. Поэтому сравнивать полученные в данной работе результаты с реальной системой необходимо с осторожностью. Монослой липидов формировался на поверхности водной фазы с помощью нанесения фиксированных объемов растворов липидов в растворителе. Измерения проводились при 25 или 35°C. В качестве водной фазы выступал фосфатный буфер с pH 7 и добавлением NaCl, прокаленного при температуре 750°C в муфельной печи. Добавление NaCl требовалось для достижения условий изотонического раствора 0.15М (0.9 масс.%).
Рис. 1. Структурные формулы липидов ДПФХ (а), ПМФХ (б), ДОФХ (в), ДМЭА (г), ДПФГ (д), ПОФГ (е), холестерин (ж).
Динамическая поверхностная упругость измерялась с помощью метода осциллирующего барьера на реометре межфазного сдвига (KSV NIMA, Финлядия). Для измерения динамической поверхностной упругости в области низких поверхностных давлений использовалась стандартная методика, подробно изложенная в работе [22]. Ванна Ленгмюра была оснащена двумя барьерами, которые двигались в противофазе, создавая колебания площади поверхности с частотой 30 мГц. Амплитуда гармонических колебаний площади поверхности составляла 4%. Измерения поверхностного натяжения производились с использованием пластинки Вильгельми, которая была подвешена в центре между барьерами с целью уменьшения влияния поверхностных сдвиговых деформаций. В этом случае модуль динамической поверхностной упругости определяется соотношением (1):
, (1)
где εre, εim – действительная и мнимая части поверхностной упругости соответственно. В области малых поверхностных давлений мнимая часть динамической поверхностной упругости оказывалась мала, поэтому на графиках представлены результаты измерений модуля поверхностной упругости.
Для определения поверхностной упругости в области высоких поверхностных давлений использовался подход на основе больших деформаций [22, 23]. В этом случае ванна Ленгмюра была оснащена барьерами с дополнительной гибкой тефлоновой лентой, чтобы исключить нежелательное перетекание монослоя под барьерами при высоких поверхностных давлениях [16]. Частота колебаний площади поверхности составляла 30 мГц. Амплитуда гармонических колебаний площади поверхности варьировалась от 4 до 32%. Анализируя отклик системы на разные амплитуды колебаний площади поверхности, который выражается в виде зависимостей поверхностного натяжения от относительной деформации площади, был определен модуль эффективной поверхностной упругости.
, (2)
где εef – модуль эффективной поверхностной упругости, γn+1 и γn – значения поверхностного натяжения в максимуме (минимуме) для различных деформаций An+1 и An соответственно.
Измерение изотерм сжатия для нанесенных монослоев липидов в области высоких поверхностных давлений проводилось в модифицированной ванне Ленгмюра с дополнительной гибкой тефлоновой лентой. На поверхность водной фазы наносился монослой липидов с поверхностным давлением 30 мН/м. После испарения растворителя сжатие поверхности происходило в результате сближения барьеров, которые двигались с постоянной скоростью относительных деформаций поверхности.
РЕЗУЛЬТАТЫ И ОБСУЖДЕНИЕ
Исследованные в данной работе липиды в зависимости от их молекулярной структуры можно условно разделить на две группы. К первой группе относятся липиды ДМЭА, ДПФГ и ПМФХ с насыщенными углеводородными радикалами, как и в составе молекул ДПФХ. Ко второй группе относятся липиды ДОФХ, ПОФГ с ненасыщенными углеводородными радикалами, а также холестерин со своими специфическими группами.
Недавно было показано, что липиды ДМЭА и ДПФГ, обладающие молекулярной структурой, близкой к структуре молекулы ДПФХ, не оказывают значительного влияния на поверхностную упругость нанесенных монослоев этого липида в широкой области поверхностных давлений [26]. Представленные в данной работе результаты для смешанных монослоев ДПФХ/ПМФХ при 25°С показывают, что характер зависимости поверхностной упругости от давления сохраняется при добавлении ПМФХ (рис. 2а). В области поверхностных давлений около 10–15 мН/м наблюдается снижение поверхностной упругости для монослоев чистого ДПФХ и для смешанных монослоев с липидами из первой группы, что связано с двумерным фазовым переходом от ЖР к ЖК состоянию молекул. Однако для монослоя ДПФХ/ПМФХ минимум на зависимости поверхностной упругости выражен слабо и сдвинут в область более высоких поверхностных давлений. Это связано с тем, что при 25°С для чистых монослоев ДПФХ, ДМЭА и ДПФГ переход от ЖР к ЖК состоянию происходит при поверхностных давлениях 10–15 мН/м, а для чистого монослоя ПМФХ этот переход происходит при давлениях около 35 мН/м. Кроме того, добавление ПМФХ приводит к меньшей упругости смешанного монослоя с ДПФХ в области поверхностных давлений 15–40 мН/м, по сравнению с другими липидами из первой группы. С увеличением поверхностного давления до 55–60 мН/м для всех смешанных монослоев липидов из первой группы и для чистого монослоя ДПФХ наблюдается резкое снижение поверхностной упругости, что связано с отклонением структуры монослоя от двумерной и с появлением неоднородностей по толщине. Вероятно, релаксационный процесс, происходящий при деформациях поверхностного слоя в этой области поверхностных давлений, связан с переходом части молекул с поверхности в подслой или агрегаты. При поверхностных давлениях более 60 мН/м для чистого монослоя ДПФХ и смешанных монослоев ДПФХ/ПМФХ и ДПФХ/ДПФГ упругость остается высокой, пока поверхностное натяжение не достигнет крайне низких значений (менее 1–2 мН/м), затем упругость резко снижается до нуля при коллапсе монослоя. Это указывает на близкий характер изменений структуры поверхностных слоев и скорости релаксационных процессов, связанных с переходом от одной структуры к другой, для пленок ДПФХ/ПМФХ, ДПФХ/ДПФГ и для чистого монослоя ДПФХ. Для смешанного монослоя ДПФХ/ДМЭА упругость резко снижается уже при поверхностных давлениях около 68–70 мН/м, что указывает на коллапс данного слоя при поверхностных натяжениях около 5 мН/м. Представленные зависимости упругости от давления для смешанных монослоев хорошо согласуются с результатами измерений изотерм сжатия (рис. 3б). Для всех липидов из первой группы сжатие смешанных монослоев позволяет достигать крайне высоких поверхностных давлений (когда поверхностное натяжение оказывается близким к нулю), а перегиб на изотермах сжатия около 60 мН/м соответствует области резкого снижения поверхностной упругости. Для смешанного монослоя ДПФХ/ДМЭА помимо данного перегиба наблюдается резкое изменение наклона изотермы сжатия в области 69 мН/м, что согласуется с падением упругости в этой области и может быть связано с коллапсом поверхностного слоя. Низкие значения поверхностной упругости для слоя ДПФХ/ПМФХ при поверхностных давлениях 30–50 мН/м приводят к меньшему наклону изотермы сжатия в этой области поверхностных давлений по сравнению с другими системами.
Рис. 2. (а) Зависимости динамической поверхностной упругости (закрашенные символы) и эффективной поверхностной упругости (пустые символы) от поверхностного давления и (б) изотермы сжатия для нанесенных монослоев ДПФХ (квадраты), ДПФХ/ДПФГ 3/1 (круги), ДПФХ/ПМФХ 3/1 (ромбы) и ДПФХ/ДМЭА 3/1 (треугольники соответственно) при Т = 25°С.
Липиды второй группы оказывают значительное влияние на динамические поверхностные свойства монослоя ДПФХ (рис. 3а). Для смешанных слоев ДПФХ и холестерина весовое соотношение между компонентами 3/1 соответствует молярному соотношению около 3/2. Ранее для смешанных монослоев этих компонентов было показано, что при 25°С встраивание молекул холестерина между молекулами ДПФХ приводит к исчезновению фазового перехода от ЖР к ЖК состоянию и к значительному увеличению поверхностной упругости [23]. Хорошо известно, что холестерин увеличивает упругость монослоя в ЖР состоянии и уменьшает для ЖК состояния [23]. Однако из-за высокой упругости такой монослой теряет способность к снижению поверхностного натяжения до крайне низких значений, и коллапс происходит при поверхностных давлениях около 52–55 мН/м (рис. 2а и 2б). Замена 25% молекул в монослое ДПФХ на молекулы ДОФХ или ПОФГ приводит к уменьшению поверхностной упругости при поверхностных давлениях от 15 до 50 мН/м из-за нарушения упорядоченности в структуре поверхностного слоя. Кроме того, практически исчезает минимум на зависимости поверхностной упругости от давления, который для чистого монослоя ДПФХ соответствует переходу от ЖР к ЖК состоянию. Однако снижение поверхностной упругости при поверхностных давлениях 55–60 мН/м наблюдается как для чистого монослоя ДПФХ, так и для смешанных монослоев ДПФХ/ДОФХ и ДПФХ/ПОФГ, но приводит к меньшим значениям поверхностной упругости. Вероятно, присутствие липидов с ненасыщенными углеводородными радикалами упрощает (ускоряет) релаксационный процесс, связанный с переходом от двумерного монослоя к многослойной структуре. Максимальные значения поверхностного давления, при которых поверхностная упругость снижается до нуля в результате коллапса монослоя, близки для системы ДПФХ/ПОФГ и для чистого монослоя ДПФХ, но больше соответствующего значения для системы ДПФХ/ДОФХ. Полученные результаты хорошо согласуются с изотермами сжатия, которые показывают, что для смешанного слоя ДПФХ/ПОФГ, как и для чистого монослоя ДПФХ, коллапс происходит практически при нулевых значениях поверхностного натяжения, а для слоя ДПФХ/ДОФХ коллапс происходит при больших поверхностных натяжениях (меньших поверхностных давлениях) (рис. 3б).
Рис. 3. (а) Зависимости динамической поверхностной упругости (закрашенные символы) и эффективной поверхностной упругости (пустые символы) от поверхностного давления и (б) изотермы сжатия для нанесенных монослоев ДПФХ (квадраты), ДПФХ/ДОФХ 3/1 (круги), ДПФХ/ПОФГ 3/1 (звезды) и ДПФХ/холестерин 3/1 (треугольники) при Т = 25°С.
Уменьшение концентрации липидов второй группы в смешанных монослоях снижает их влияние на динамические поверхностные свойства ДПФХ (рис. 4а). При весовом соотношении между ДПФХ и холестерином, равном 9/1, молярное соотношение составляет около 5/1. В этом случае в области низких поверхностных давлений (до 50 мН/м) поведение смешанного слоя ДПФХ и холестерина близко к свойствам чистого монослоя ДПФХ. Для смешанного слоя ДПФХ и холестерина на зависимости поверхностной упругости от давления присутствует минимум, соответствующий переходу от ЖР к ЖК состоянию, а в области поверхностных давлений от 15 до 50 мН/м упругость смешанного монослоя немного снижается по сравнению с чистым слоем ДПФХ. Это согласуется с результатами работы [14], в которой было показано, что влияние холестерина на плотность упаковки молекул ДПФХ зависит от соотношения между компонентами. В области высоких поверхностных натяжений (55–65 мН/м) наблюдается снижение поверхностной упругости до нуля, что соответствует коллапсу и согласуется с изотермами сжатия (рис. 4б). Для смешанных монослоев ДПФХ/ПОФГ при весовом соотношении компонентов 9/1 зависимость поверхностной упругости от давления и изотерма сжатия оказываются близки к соответствующим зависимостям для чистого монослоя ДПФХ (рис. 4а и 4б). Небольшое различие наблюдается в области высоких поверхностных давлений, где упругость смешанного слоя ДПФХ/ПОФГ оказывается ниже, чем для чистого слоя ДПФХ. В случае смешанного слоя ДПФХ/ДОФХ присутствие даже небольшого количества дополнительного липида оказывает заметное влияние на свойства ДПФХ во всей области поверхностных давлений, что связано с наличием сразу двух двойных связей в структуре молекулы ДОФХ, что оказывает дополнительное влияние на упорядоченность поверхностного слоя (рис. 4а). Присутствие дополнительного липида также сказывается на смещении минимума зависимости поверхностной упругости в область более высоких поверхностных давлений (15 мН/м), а также на уменьшении величины упругости по сравнению с чистым слоем ДПФХ. Несмотря на то, что при сжатии слоя ДПФХ/ДОФХ поверхностное давление достигает крайне высоких значений, это требует гораздо больших деформаций, чем для чистого монослоя ДПФХ (рис. 4б).
Рис. 4. (а) Зависимости динамической поверхностной упругости (закрашенные символы) и эффективной поверхностной упругости (пустые символы) от поверхностного давления и (б) изотермы сжатия для нанесенных монослоев ДПФХ (квадраты), ДПФХ/ДОФХ 9/1 (круги), ДПФХ/ПОФГ 9/1 (звезды) и ДПФХ/холестерин 9/1 (треугольники) при Т = 25°С.
Измерения, проведенные для смешанных монослоев при температуре 35°С, позволили оценить влияние дополнительных липидов на свойства ДПФХ в условиях, близких к физиологическим (рис. 5, 6). Ранее было показано, что для чистого монослоя ДПФХ с увеличением температуры переход от ЖР к ЖК состоянию происходит при больших поверхностных давлениях, а ускорение релаксационных процессов в области высоких поверхностных давлений препятствует достижению крайне низких поверхностных натяжений при сжатии [27]. Влияние добавок ПМФХ на свойства ДПФХ при температуре 35°С оказывается таким же, как и при 25°С. Этот липид препятствует переходу от ЖР к ЖК состоянию, снижает поверхностную упругость смешанного монослоя при давлениях 40–50 мН/м, но не оказывает значительного влияния при высоких поверхностных давлениях (рис. 5а, 5б). При температуре 35°С влияние ДПФГ и ДМЭА на свойства ДПФХ оказывается незначительным в области низких поверхностных давлений (ниже 50 мН/м), как это было и при температуре 25°С. Однако в области высоких поверхностных давлений влияние этих липидов на свойства ДПФХ при увеличении температуры значительно меняется. При температуре 35°С смешанные монослои ДПФХ/ДПФГ и ДПФХ/ДМЭА способны достигать гораздо более высоких поверхностных давлений при сжатии поверхности по сравнению с чистым слоем ДПФХ (рис. 5б). Это приводит к тому, что поверхностная упругость для смешанных монослоев снижается до нуля в области больших поверхностных давлений, чем для чистого слоя ДПФХ (рис. 5а). Можно предположить, что причина, по которой добавление ДПФГ и ДМЭА делает смешанный монослой более устойчивым по отношению к коллапсу при высоких температурах, связана с двумерной неоднородностью на поверхности в присутствии дополнительных липидов. Ранее было показано, что монослой с агрегатами по своей структуре напоминает композитный материал и может характеризоваться повышенной стабильностью по отношению к коллапсу [28]. В то же время подтверждение этого предположения требует проведения дополнительных исследований.
Рис. 5. (а) Зависимости динамической поверхностной упругости (закрашенные символы) и эффективной поверхностной упругости (пустые символы) от поверхностного давления и (б) изотермы сжатия для нанесенных монослоев ДПФХ (квадраты), ДПФХ/ДПФГ 3/1 (круги), ДПФХ/ПМФХ 3/1 (ромбы) и ДПФХ/ДМЭА 3/1 (треугольники соответственно) при Т = 35°С.
С увеличением температуры до 35°С влияние добавок липидов из второй группы на свойства ДПФХ сохраняется (рис. 6а, 6б). Холестерин значительно снижает максимальные значения поверхностного давления, при которых происходит коллапс смешанного монослоя (рис. 6а, 6б). Небольшие добавки ПОФГ при температуре 35°С, как и при 25°С, практически не оказывают влияния на поверхностную упругость и изотермы сжатия. ДОФХ снижает упругость смешанного монослоя ДПФХ/ДОФХ по сравнению с чистым монослоем ДПФХ при поверхностных давлениях 40–50 мН/м и уменьшает поверхностное давление, соответствующее коллапсу.
Рис. 6. (а) Зависимости динамической поверхностной упругости (закрашенные символы) и эффективной поверхностной упругости (пустые символы) от поверхностного давления и (б) изотермы сжатия для нанесенных монослоев ДПФХ (квадраты), ДПФХ/ДОФХ 9/1 (круги), ДПФХ/ПОФГ 9/1 (звезды) и ДПФХ/холестерин 9/1 (треугольники) при Т = 35°С.
Таким образом, добавление к ДПФХ липидов с близкой молекулярной структурой оказывает незначительное влияние на динамические поверхностные свойства при температуре 25°С, а при 35°С позволяет достигать более высоких поверхностных давлений в процессе сжатия монослоя. Так как ДПФГ и ДМЭА отличаются от ДПФХ структурой гидрофильной группы, введение этих липидов в состав нанесенного монослоя позволяет управлять зарядом поверхности и взаимодействием с компонентами в объеме раствора. Добавление к ДПФХ липидов из второй группы дает возможность управлять упругостью поверхностного слоя. В то время как холестерин способствует увеличению упругости монослоя ДПФХ, добавление липидов с ненасыщенными радикалами приводит к снижению упругости. Важно отметить, что скорость релаксационных процессов в области неравновесного состояния поверхностного слоя зависит не только от температуры и состава, но и от величины поверхностного давления. Результаты измерений изотерм сжатия при разных скоростях деформации показали, что значения поверхностного давления, при которых происходит коллапс поверхностного слоя, увеличиваются с увеличением скорости сжатия (рис. 7а, 7б). Из-за экспериментальных ограничений используемые в данной работе частоты колебаний площади поверхности и скорости сжатия оказываются меньше, чем скорость деформации на внутренней поверхности легких. Поэтому можно предположить, что присутствие липидов из второй группы не обязательно будет препятствовать снижению поверхностного натяжения до крайне низких значений при быстром сжатии в физиологических условиях. Кроме того, увеличение поверхностных давлений, соответствующих коллапсу монослоя, должно происходить с ростом скорости деформаций при температуре 37°С, как это происходило при температурах 25 и 35°С.
Рис. 7. Изотермы сжатия для нанесенных монослоев (а) ДПФХ/холестерин 9/1 и (б) ДПФХ/ДОФХ 3/1 при скоростях относительных деформаций 300%/мин (квадраты), 100%/мин (круги) и 30%/мин (треугольники) при 25°С.
ВЫВОДЫ
В данной работе были проведены измерения динамических поверхностных свойств в широкой области поверхностных давлений и при разных температурах для нанесенных слоев бинарных смесей ДПФХ с шестью липидами, входящими в состав природного легочного сурфактанта. Полученные для модельных систем легочного сурфактанта результаты в условиях, близких к физиологическим, позволили определить влияние различных видов липидов на ключевые свойства поверхностного слоя, обеспечивающие функциональность дыхательной системы. В этих условиях добавление ДМЭА или ДПФГ к ДПФХ приводит к увеличению упругости поверхностного слоя и может способствовать достижению низких значений поверхностного натяжения при сжатии. Присутствие больших количеств ДОФХ и ПОФГ приводит к снижению упругости ДПФХ в области низких поверхностных натяжений, но их влияние уменьшается с уменьшением концентрации дополнительного липида. Влияние холестерина на свойства нанесенных монослоев ДПФХ сильно зависит от концентрации и поверхностного натяжения. Таким образом, изменение состава липидов дает возможность управлять свойствами смешанного монослоя.
БЛАГОДАРНОСТИ
Это исследование было проведено в ознаменование 300-летия основания Санкт-Петербургского государственного университета. Авторы признательны ресурсным центрам СПбГУ (Центр оптических и лазерных исследований и Центр методов анализа состава вещества) за использование их оборудования.
ФИНАНСИРОВАНИЕ РАБОТЫ
Исследование выполнено за счет гранта Российского научного фонда (проект № 22-23-00235).
СОБЛЮДЕНИЕ ЭТИЧЕСКИХ СТАНДАРТОВ
В данной работе отсутствуют исследования человека или животных.
КОНФЛИКТ ИНТЕРЕСОВ
Авторы заявляют, что у них нет конфликта интересов.
Авторлар туралы
А. Быков
Санкт-Петербургский государственный университет
Хат алмасуға жауапты Автор.
Email: ag-bikov@mail.ru
Ресей, 198504, Санкт-Петербург, Университетский пр., д. 26
М. Панаева
Санкт-Петербургский государственный университет
Email: ag-bikov@mail.ru
Ресей, 198504, Санкт-Петербург, Университетский пр., д. 26
А. Рафикова
Санкт-Петербургский государственный университет
Email: ag-bikov@mail.ru
Ресей, 198504, Санкт-Петербург, Университетский пр., д. 26
Н. Волков
Санкт-Петербургский государственный университет
Email: ag-bikov@mail.ru
физический факультет
Ресей, 198504, Санкт-Петербург, Ульяновская ул., д. 1А. Ванин
Санкт-Петербургский государственный университет
Email: ag-bikov@mail.ru
Ресей, 198504, Санкт-Петербург, Университетский пр., д. 26
Әдебиет тізімі
- Echaide M., Autilio C., Arroyo R., Perez-Gil J. Restoring pulmonary surfactant membranes and films at the respiratory surface // Biochim. Biophys. Acta. 2017. V. 1859. № 9. P. 1725–1739 https://doi.org/10.1016/J.BBAMEM.2017.03.015
- Zuo Y., Veldhuizen R., Neumann A., Petersen N., Possmayer F. Current perspectives in pulmonary surfactant – Inhibition, enhancement and evaluation // Biochim. Biophys. Acta. 2008. V. 1778. № 10. P. 1947–1977. https://doi.org/10.1016/j.bbamem.2008.03.021
- Autilio C., Pérez-Gil J. Understanding the principle biophysics concepts of pulmonary surfactant in health and disease // Arch. Dis. Child. Fetal. Neonatal. Ed. 2018. V. 104. № 4. P. F1–F9. https://doi.org/10.1136/archdischild-2018-315413
- Piknova B., Schram V., Hall S. Pulmonary surfactant: Phase behavior and function // Curr. Opin. Struct. Biol. 2002. V. 12. № 4. P. 487–494. https://doi.org/10.1016/s0959-440x(02)00352-4
- Castillo-Sánchez J., Cruz A., Pérez-Gil J. Structural hallmarks of lung surfactant: Lipid-protein interactions, membrane structure and future challenges // Arch. Biochem. Biophys. 2021. V. 703. P. 108850. https://doi.org/10.1016/J.ABB.2021.108850
- Lopez-Rodriguez E., Pérez-Gil J. Structure-function relationships in pulmonary surfactant membranes: From biophysics to therapy // Biochim. Biophys. Acta. 2014. V. 1838. № 6. P. 1568–1585. https://doi.org/10.1016/j.bbamem.2014.01.028
- Goerke J. Pulmonary surfactant: Functions and molecular composition // Biochim. Biophys. Acta. 1998. V. 1408. № 2–3. P. 79–89. https://doi.org/10.1016/S0925-4439(98)00060-X
- Wustneck R., Perez-Gil J., Wustneck N., Cruz A., Fainerman V., Pison U. Interfacial properties of pulmonary surfactant layers // Adv. Colloid Interface Sci. 2005. V. 117. № 1–3. P. 33–58. https://doi.org/10.1016/j.cis.2005.05.001
- Casals C., Cañadas O. Role of lipid ordered/disordered phase coexistence in pulmonary surfactant function // Biochim. Biophys. Acta. 2012. V. 1818. № 11. P. 2550–2562. https://doi.org/10.1016/J.BBAMEM.2012.05.024
- Keating E., Zuo Y., Tadayyon S., Petersen N., Possmayer F., Veldhuizen R. A modified squeeze-out mechanism for generating high surface pressures with pulmonary surfactant // Biochim. Biophys. Acta. 2012. V. 1818. № 5. P. 1225–1234. https://doi.org/10.1016/j.bbamem.2011.12.007
- de la Serna J., Vargas R., Picardi V., Cruz A., Arranz R., Valpuesta M., Mateu L., Peres-Gil J. Segregated ordered lipid phases and protein-promoted membrane cohesivity are required for pulmonary surfactant films to stabilize and protect the respiratory surface // Faraday Discuss. 2013. V. 161. P. 535–548. https://doi.org/10.1039/c2fd20096a
- López-Montero I., Arriaga L., Rivas G., Vélez M., Monroy F. Lipid domains and mechanical plasticity of Escherichia coli lipid monolayers // Chem. Phys. Lipids. 2010. V. 163. № 1. P. 56–63. https://doi.org/10.1016/J.CHEMPHYSLIP.2009.10. 002
- Sabatini K., Mattila J-P., Kinnunen P. Interfacial behavior of cholesterol, ergosterol and lanosterol in mixtures with DPPC and DMPC // Biophys. J. 2008. V. 95. № 5. P. 2340–2355. https://doi.org/10.1529/biophysj.108.132076
- Miyoshi T., Kato S. Detailed analysis of the surface area and elasticity in the saturated 1,2-diacylphosphatidylcholine/cholesterol binary monolayer system // Langmuir. 2015. V. 31. № 33. P. 9086–9096. https://doi.org/10.1021/acs.langmuir.5b01775
- Schurch S., Bachofen H., Goerke J., Possmayer F. A captive bubble method reproduces the in situ behavior of lung surfactant monolayers // J. Appl. Physiol. 1989. V. 67. № 6. P. 2389–2396. https://doi.org/10.1152/jappl.1989.67.6.2389
- Быков А.Г., Носков Б.А. Дилатационная поверхностная упругость растворов легочного сурфактанта в широкой области значений поверхностного натяжения // Коллоид. журн. 2021. Т. 80. № 5. С. 490–497. https://doi.org/10.1134/S0023291218050038
- Gopal A., Lee K.Y.C. Morphology and collapse transitions in binary phospholipid monolayers // J. Phys. Chem. B. 2001. V. 105. № 42. P. 10348–10354. https://doi.org/10.1021/jp012532n
- Lee K.Y.C. Collapse mechanisms of Langmuir monolayers // Ann. Rev. Phys. Chem. 2008. V. 59. P. 771–791. https://doi.org/10.1146/annurev.physchem.58.032806. 104619
- Zhang H., Fan Q., Wang Y., Neal C., Zuo Y. Comparative study of clinical pulmonary surfactants using atomic force microscopy // Biochim. Biophys. Acta. 2011. V. 1808. № 7. P. 1832–1842. https://doi.org/10.1016/J.BBAMEM.2011.03.006
- Ravera F., Miller R., Zuo Y., Noskov A., Bykov A., Kovalchuk V., Loglio G., Javadi A., Liggieri L. Methods and models to investigate the physicochemical functionality of pulmonary surfactant // Curr. Opin. Colloid Interface Sci. 2021. V. 55. P. 101467. https://doi.org/10.1016/j.cocis.2021.101467
- Santini E., Nepita I., Bykov A., Ravera F., Liggieri L., Dowlati S., Javadi A., Miller R., Loglio G. Interfacial dynamics of adsorption layers as supports for biomedical research and diagnostics // Colloids and Interfaces. 2022. V. 6. № 4. P. 81. https://doi.org/10.3390/colloids6040081
- Bykov A., Liggieri L., Noskov B., Pandolfini P., Ravera F., Loglio G. Surface dilational rheological properties in the nonlinear domain // Adv. Colloid Interface Sci. 2015. V. 222. P. 110–118. https://doi.org/10.1016/j.cis.2014.07.006
- Bykov A., Loglio G., Ravera F., Liggieri L., Miller R., Noskov B. Dilational surface elasticity of spread monolayers of pulmonary lipids in a broad range of surface pressure // Colloids Surf. A: Physicochem. Eng. Asp. 2018. V. 541. P. 137–44. https://doi.org/10.1016/j.colsurfa.2018.01.031
- Bykov A., Loglio G., Miller R., Milyaeva O., Michailov A., Noskov B. Dynamic properties and relaxation processes in surface layer of pulmonary surfactant solutions // Colloids Surf. A: Physicochem. Eng. Asp. 2019. V. 573. P. 14–21. https://doi.org/10.1016/j.colsurfa.2019.04.032
- Bykov A., Milyaeva O., Isakov N., Michailov A., Loglio G., Miller R., Noskov B. Dynamic properties of adsorption layers of pulmonary surfactants. Influence of matter exchange with bulk phase // Colloids Surf. A: Physicochem. Eng. Asp. 2021. V. 611. P. 125851. https://doi.org/10.1016/j.colsurfa.2020.125851
- Быков А., Панаева М. Динамические свойства монослоев легочных липидов на поверхности растворов полистиролсульфоната натрия и полидиаллилдиметиламмония хлорида // Коллоид. журн. 2023. Т. 85. № 5. С. 556–565. https://doi.org/10.31857/S0023291223600505
- Bykov A., Loglio G., Miller R., Milyaeva O., Michailov A., Noskov B. Dynamic properties and relaxation processes in surface layer pulmonary surfactant solutions // Chem. Phys. Lip. 2019. V. 225. P. 104812. https://doi.org/10.1016/j.chemphyslip.2019.104812
- Zuo Y., Keating E., Zhao L., Tadayyon S., Veldhuizen R., Petersen N., Possmayer F. Atomic force microscopy studies of functional and dysfunctional pulmonary surfactant films. I. Micro- and nanostructures of functional pulmonary surfactant films and the effect of SP-A // Biophys. J. 2008. V. 94. P. 3549–3564. https://doi.org/10.1529/biophysj.107.122648
Қосымша файлдар









