Impact of the Aging of Ultrasmall Gold Nanoparticles on their Interaction with Cholesteric DNA Microparticles
- Authors: Klimovich M.A.1,2, Kolyvanova M.A.1,2, Dement’eva O.V.3, Klimovich O.N.1, Rudoy V.M.3, Kuzmin V.A.1, Morozov V.N.1
-
Affiliations:
- Emanuel Institute of Biochemical Physics, Russian Academy of Sciences, 119334, Moscow, Russia
- Burnasyan Federal Medical Biophysical Center, Federal Medical Biological Agency, 123098, Moscow, Russia
- Frumkin Institute of Physical Chemistry and Electrochemistry, Russian Academy of Sciences, 119071, Moscow, Russia
- Issue: Vol 85, No 5 (2023)
- Pages: 583-592
- Section: Articles
- Submitted: 16.10.2023
- Published: 01.09.2023
- URL: https://bakhtiniada.ru/0023-2912/article/view/137228
- DOI: https://doi.org/10.31857/S0023291223600542
- EDN: https://elibrary.ru/DIAVWZ
- ID: 137228
Cite item
Full Text
Abstract
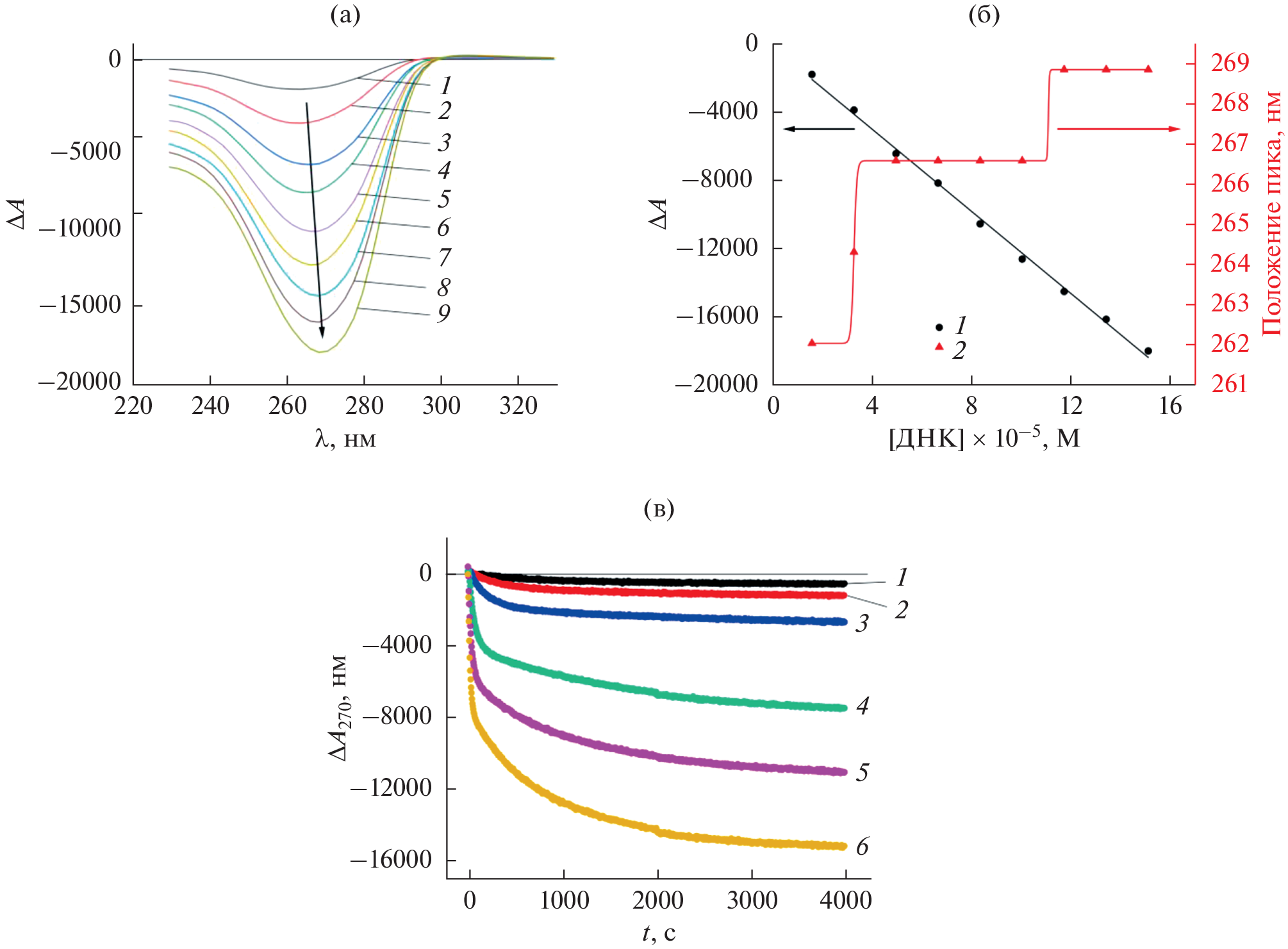
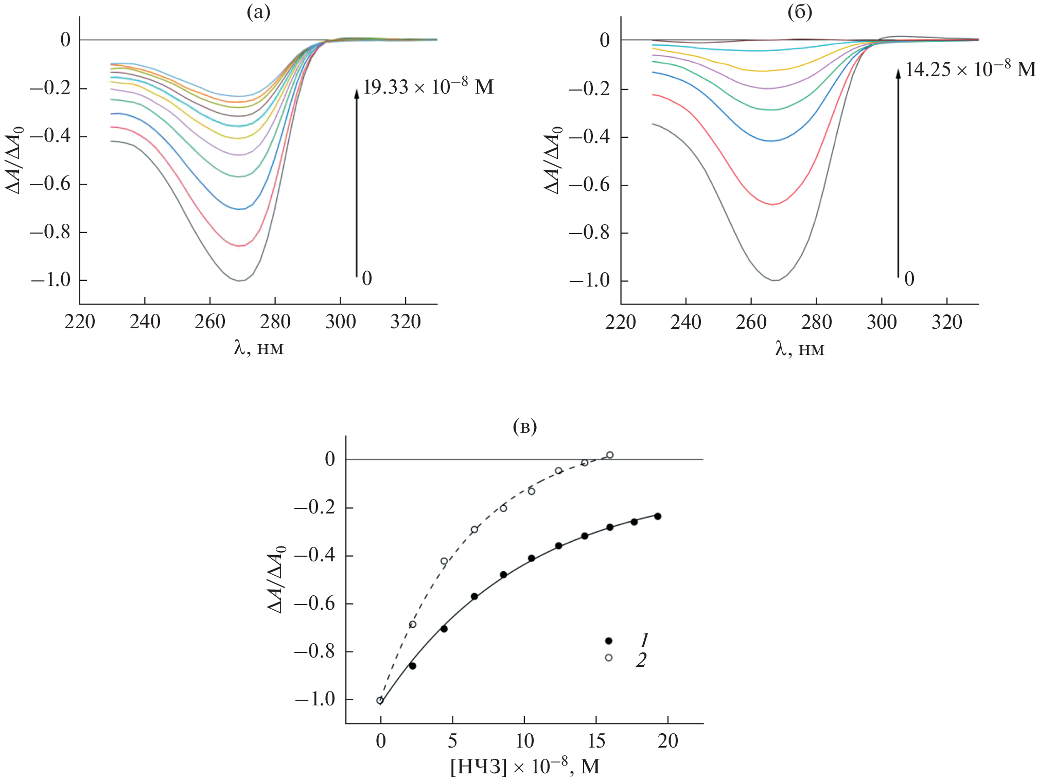
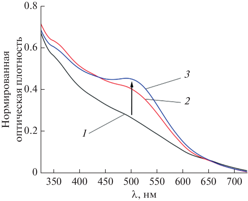
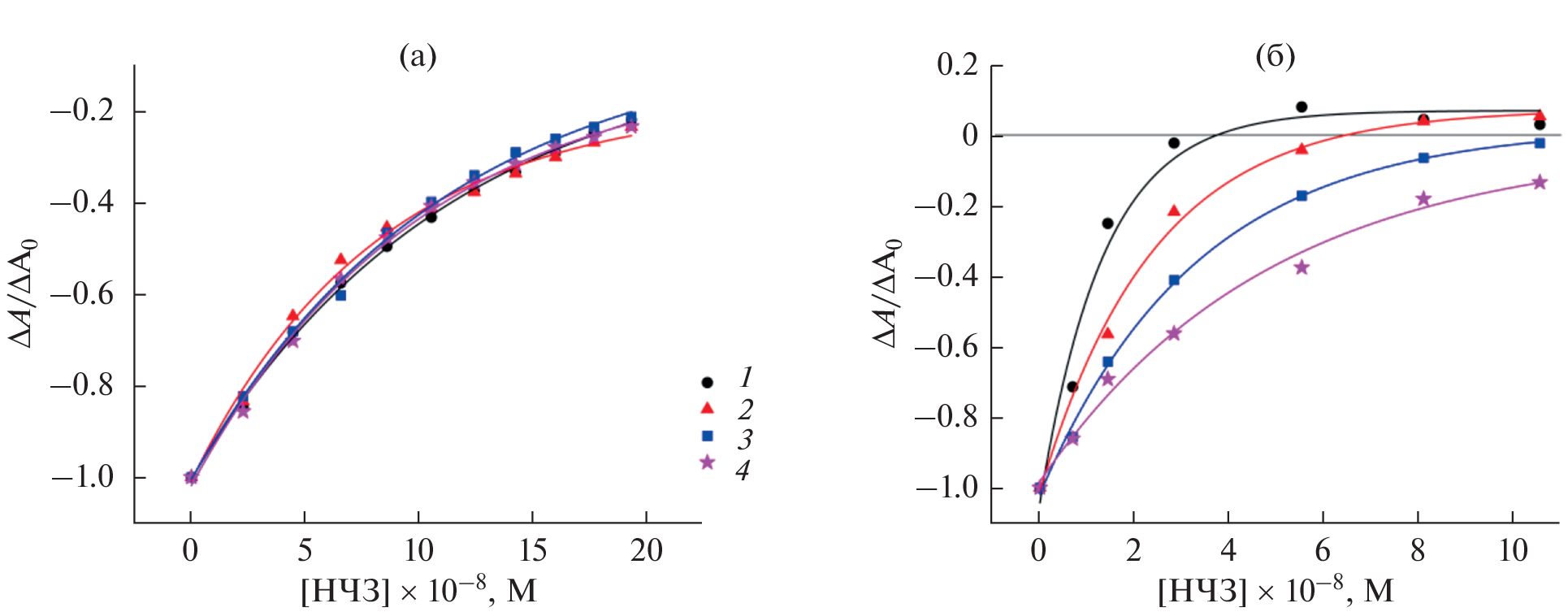
The correlation between the time of preliminary storage of ultrasmall gold nanoparticles (GNPs) synthesized according to the Duff method and the structural aspects of their interaction with the particles of cholesteric liquid-crystalline dispersions (CLCDs) of DNA were studied. It has been established that the “age” of GNPs significantly affects the magnitude of their destructive action on the ordered organization of the DNA CLCD particles. The observed effect may be caused by both the gradual perfecting of the crystal lattice of the studied GNPs (i.e., their metallization) and the change in the chemistry of their surface over time.
About the authors
M. A. Klimovich
Emanuel Institute of Biochemical Physics, Russian Academy of Sciences, 119334, Moscow, Russia; Burnasyan Federal Medical Biophysical Center, Federal Medical Biological Agency, 123098, Moscow, Russia
Email: morozov.v.n@mail.ru
Россия, 119334, Москва,
ул. Косыгина, 4; Россия, 123098, Москва, ул. Живописная, 46
M. A. Kolyvanova
Emanuel Institute of Biochemical Physics, Russian Academy of Sciences, 119334, Moscow, Russia; Burnasyan Federal Medical Biophysical Center, Federal Medical Biological Agency, 123098, Moscow, Russia
Email: morozov.v.n@mail.ru
Россия, 119334, Москва,
ул. Косыгина, 4; Россия, 123098, Москва, ул. Живописная, 46
O. V. Dement’eva
Frumkin Institute of Physical Chemistry and Electrochemistry, Russian Academy of Sciences, 119071, Moscow, Russia
Email: morozov.v.n@mail.ru
Россия, 119071, Москва,
Ленинский просп., 31, корп. 4
O. N. Klimovich
Emanuel Institute of Biochemical Physics, Russian Academy of Sciences, 119334, Moscow, Russia
Email: morozov.v.n@mail.ru
Россия, 119334, Москва,
ул. Косыгина, 4
V. M. Rudoy
Frumkin Institute of Physical Chemistry and Electrochemistry, Russian Academy of Sciences, 119071, Moscow, Russia
Email: morozov.v.n@mail.ru
Россия, 119071, Москва,
Ленинский просп., 31, корп. 4
V. A. Kuzmin
Emanuel Institute of Biochemical Physics, Russian Academy of Sciences, 119334, Moscow, Russia
Email: morozov.v.n@mail.ru
Россия, 119334, Москва,
ул. Косыгина, 4
V. N. Morozov
Emanuel Institute of Biochemical Physics, Russian Academy of Sciences, 119334, Moscow, Russia
Author for correspondence.
Email: morozov.v.n@mail.ru
Россия, 119334, Москва,
ул. Косыгина, 4
References
- Jordan C.F., Lerman L.S., Venable J.H. Structure and circular dichroism of DNA in concentrated polymer solutions // Nature: New Biology. 1972. V. 236. № 64. P. 67–70. https://doi.org/10.1038/newbio236067a0
- Earnshaw W.C., Casjens S.R. DNA packaging by the double-stranded DNA bacteriophages // Cell. 1980. V. 21. № 2. P. 319–331. https://doi.org/10.1016/0092-8674(80)90468-7
- Yevdokimov Y.M., Skuridin S.G., Salyanov V.I. The liquid-crystalline phases of double-stranded nucleic acids in vitro and in vivo // Liquid Crystals. 1988. V. 3. № 11. P. 1443–1459. https://doi.org/10.1080/02678298808086687
- Livolant F. Ordered phases of DNA in vivo and in vitro // Physica A: Statistical Mechanics and its Applications. 1991. V. 176. № 1. P. 117–137. https://doi.org/10.1016/0378-4371(91)90436-G
- Cheng S.-M., Mohr S.C. The thermal transition of ‘PSI’ DNA monitored by circular dichroism // FEBS Letters. 1974. V. 49. № 1. P. 37–42. https://doi.org/10.1016/0014-5793(74)80626-5
- Nikogosyan D.N., Repeyev Y.A., Yakovlev D.Y. et al. Photochemical alterations in DNA revealed by DNA-based liquid crystals // Photochemistry and Photobio-logy. 1994. V. 59. № 3. P. 269–276. https://doi.org/10.1111/j.1751-1097.1994.tb05033.x
- Kolyvanova M.A., Klimovich M.A., Shibaeva A.V. et al. Cholesteric liquid-crystalline DNA – a new type of chemical detector of ionizing radiation // Liquid Crystals. 2022. V. 49. № 10. P. 1359–1366. https://doi.org/10.1080/02678292.2022.2032854
- Колыванова М.А., Белоусов А.В., Кузьмин В.А. и др. Модификация радиочувствительности холестерической дисперсии ДНК с помощью диметилсульфоксида // Химия высоких энергий. 2022. Т. 56. № 5. С. 416–418. https://doi.org/10.31857/S0023119322050072
- Yevdokimov Y.M., Salyanov V.I., Lortkipanidze G.B. et al. Sensing biological effectors through the response of bridged nucleic acids and polynucleotides fixed in liquid-crystalline dispersions // Biosensors and Bioelectronics. 1998. V. 13. № 3–4. P. 279–291. https://doi.org/10.1016/S0956-5663(97)00133-4
- Евдокимов Ю.М., Салянов В.И., Кондрашина О.В. и др. Жидкокристаллические дисперсии комплексов ДНК с гадолинием – потенциальная платформа для нейтронозахватывающей терапии // Доклады Академии наук. 2005. Т. 402. № 5. С. 693–696. https://doi.org/10.1007/s10628-005-0081-z]
- Koval V.S., Arutyunyan A.F., Salyanov V.I. et al. DNA sequence-specific ligands. XVII. Synthesis, spectral properties, virological and biochemical studies of fluorescent dimeric bisbenzimidazoles DBA(n) // Bioorganic & Medicinal Chemistry. 2018. V. 26. № 9. P. 2302–2309. https://doi.org/10.1016/j.bmc.2018.03.018
- Koval V.S., Arutyunyan A.F., Salyanov V.I. et al. DNA sequence-specific ligands. XVIII. Synthesis, physico-chemical properties; genetic, virological, and biochemical studies of fluorescent dimeric bisbenzimidazoles DBPA(n) // Bioorganic & Medicinal Chemistry. 2020. V. 28. № 7. P. 115378. https://doi.org/10.1016/j.bmc.2020.115378
- Morozov V.N., Kolyvanova M.A., Dement’eva O.V. et al. Fluorescence superquenching of SYBR Green I in crowded DNA by gold nanoparticles // Journal of Luminescence. 2020. V. 219. P. 116898. https://doi.org/10.1016/j.jlumin.2019.116898
- Morozov V.N., Kolyvanova M.A., Dement’eva O.V. et al. Comparison of quenching efficacy of SYBR Green I and PicoGreen fluorescence by ultrasmall gold nanoparticles in isotropic and liquid-crystalline DNA systems // Journal of Molecular Liquids. 2021. V. 321. P. 114751. https://doi.org/10.1016/j.molliq.2020.114751
- Скуридин С.Г., Дубинская В.А., Рудой В.М. и др. Действие наночастиц золота на упаковку молекул ДНК в модельных системах // Доклады Академии наук. 2010. Т. 432. № 6. С. 838–841.
- Евдокимов Ю.М., Салянов В.И., Кац Е.И. и др. Кластеры из наночастиц золота в квазинематических слоях частиц жидкокристаллических дисперсий двухцепочечных нуклеиновых кислот // Acta Naturae. 2012. Т. 4. № 4 (15). С. 80–93.
- Евдокимов Ю.М., Скуридин С.Г., Салянов В.И. и др. Наночастицы золота влияют на “узнавание” двухцепочечных молекул ДНК и запрещают формирование их холестерической структуры // Жидкие кристаллы и их практическое использование. 2014. Т. 14. № 4. С. 5–21.
- Duff D.G., Baiker A., Edwards P.P. A new hydrosol of gold clusters. 1. Formation and particle size variation // Langmuir. 1993. V. 9. № 9. P. 2301–2309. https://doi.org/10.1021/la00033a010
- Duff D.G., Baiker A., Gameson I., Edwards P.P. A new hydrosol of gold clusters. 2. A comparison of some different measurement techniques // Langmuir. 1993. V. 9. № 9. P. 2310–2317. https://doi.org/10.1021/la00033a011
- Морозов В.Н., Климович М.А., Колыванова М.А. и др. Взаимодействие наночастиц золота с цианиновыми красителями в холестерических субмикрочастицах ДНК // Химия высоких энергий. 2021. Т. 55. № 5. С. 339–346.
- Колыванова М.А., Климович М.А., Дементьева О.В. и др. Взаимодействие наночастиц золота с цианиновыми красителями в холестерических субмикрочастицах ДНК. Влияние способа их введения в систему // Химическая физика. 2023. Т. 42. № 1. С. 64–72. https://doi.org/10.31857/S0207401X23010065
- Swarnkar R.K., Singh S.C., Gopal R. Effect of aging on copper nanoparticles synthesized by pulsed laser ablation in water: Structural and optical characterizations // Bulletin of Materials Science. 2011. V. 34. № 7. P. 1363–1369. https://doi.org/10.1007/s12034-011-0329-4
- Ma Y., Chechik V. Aging of gold nanoparticles: Ligand exchange with disulfides // Langmuir. 2011. V. 27. № 23. P. 14432–14437. https://doi.org/10.1021/la202035x
- Gubicza J., Lábár J.L., Quynh L.M. et al. Evolution of size and shape of gold nanoparticles during long-time aging // Materials Chemistry and Physics. 2013. V. 138. № 2–3. P. 449–453. https://doi.org/10.1016/j.matchemphys.2013.01.012
- Дементьева О.В., Карцева М.Е., Сухов В.М. и др. Температурно-временная эволюция ультрамалых затравочных наночастиц золота и синтез плазмонных нанооболочек // Коллоидный журнал. 2017. Т. 79. № 5. С. 562–568. https://doi.org/10.7868/S0023291217050056
- Карцева М.Е., Шишмакова Е.М., Дементьева О.В. и др. Рост фосфониевых наночастиц золота в щелочной среде: кинетика и механизм процесса // Коллоидный журнал. 2021. Т. 83. № 6. С. 644–650.https://doi.org/10.31857/S0023291221060057
- Keller D., Bustamante C. Theory of the interaction of light with large inhomogeneous molecular aggregates. II. Psi-type circular dichroism // The Journal of Chemical Physics. 1986. V. 84. № 6. P. 2972–2980. https://doi.org/10.1063/1.450278
- Компанец О.Н. Портативные оптические биосенсоры для определения биологически активных и токсичных соединений // Успехи физических наук. 2004. Т. 174. № 6. С. 686–690.
- Ершов Б.Г. Короткоживущие малые кластеры металлов в водных растворах: получение, идентификация и свойства // Известия Академии наук. Серия химическая. 1999. № 1. С. 1–15.
- Livolant F., Leforestier A. Condensed phases of DNA: Structures and phase transitions // Progress in Polymer Science. 1996. V. 21. № 6. P. 1115–1164. https://doi.org/10.1016/S0079-6700(96)00016-0
- Muzzopappa F., Hertzog M., Erdel F. DNA length tunes the fluidity of DNA-based condensates // Biophysical Journal. 2021. V. 120. № 7. P. 1288–1300. https://doi.org/10.1016/j.bpj.2021.02.027
- Семенов С.В., Евдокимов Ю.М. Круговой дихроизм частиц жидкокристаллических дисперсий ДНК // Биофизика. 2015. Т. 60. № 2. С. 242–252.
- Скуридин С.Г., Лорткипанидзе Г.Б., Мусаев О.Р. и др. Формирование жидкокристаллических микрофаз двухцепочечных нуклеиновых кислот и синтетических полинуклеотидов низкой молекулярной массы // Высокомолекулярные соединения. Серия А. 1985. Т. 27. № 11. С. 2261–2265.
- Morozov V.N., Klimovich M.A., Kostyukov A.A. et al. Förster resonance energy transfer from Hoechst 33258 to SYBR Green I in cholesteric liquid-crystalline DNA // Journal of Luminescence. 2022. V. 252. P. 119381. https://doi.org/10.1016/j.jlumin.2022.119381
- Скуридин С.Г., Дубинская В.А., Штыкова Э.В. и др. Фиксация наночастиц золота в структуре квазинематических слоев, образованных молекулами ДНК // Биологические мембраны. 2011. Т. 28. № 3. С. 191–198.
- Евдокимов Ю.М. Наночастицы золота и жидкие кристаллы ДНК // Вестник Московского университета. Серия 2: Химия. 2015. Т. 56. № 3. С. 147–157.
- Евдокимов Ю.М., Салянов В.И., Скуридин С.Г. и др. Физико-химический и нанотехнологический подходы к созданию “твердых” пространственных структур ДНК // Успехи химии. 2015. Т. 84. № 1. С. 27–42.
- Brach K., Matczyszyn K., Olesiak-Banska J. et al. Stabilization of DNA liquid crystals on doping with gold nanorods // Physical Chemistry Chemical Physics. 2016. V. 18. P. 7278–7283. https://doi.org/10.1039/C5CP07026K
- Скуридин С.Г., Салянов В.И., Попенко В.И. и др. Структурные эффекты, вызываемые наночастицами золота, в частицах холестерических жидкокристаллических дисперсий двухцепочечных нуклеиновых кислот // Химико-фармацевтический журнал. 2013. Т. 47. № 2. С. 3–11. https://doi.org/10.30906/0023-1134-2013-47-2-3-11
Supplementary files







