ANISOTROPY IN THE ADSORPTION OF H2O ON KAOLINITE SURFACES
- Authors: KASPRZHITSKII A.S.1, LAZORENKO G.I.1, KRUGLIKOV A.A.1, YAVNA V.A.1
-
Affiliations:
- Rostov State Transport University, Rostov-on-Don, Russia
- Issue: Vol 85, No 2 (2023)
- Pages: 167-178
- Section: Articles
- Submitted: 16.10.2023
- Published: 01.03.2023
- URL: https://bakhtiniada.ru/0023-2912/article/view/137205
- DOI: https://doi.org/10.31857/S0023291222600596
- EDN: https://elibrary.ru/UTFKLP
- ID: 137205
Cite item
Full Text
Abstract
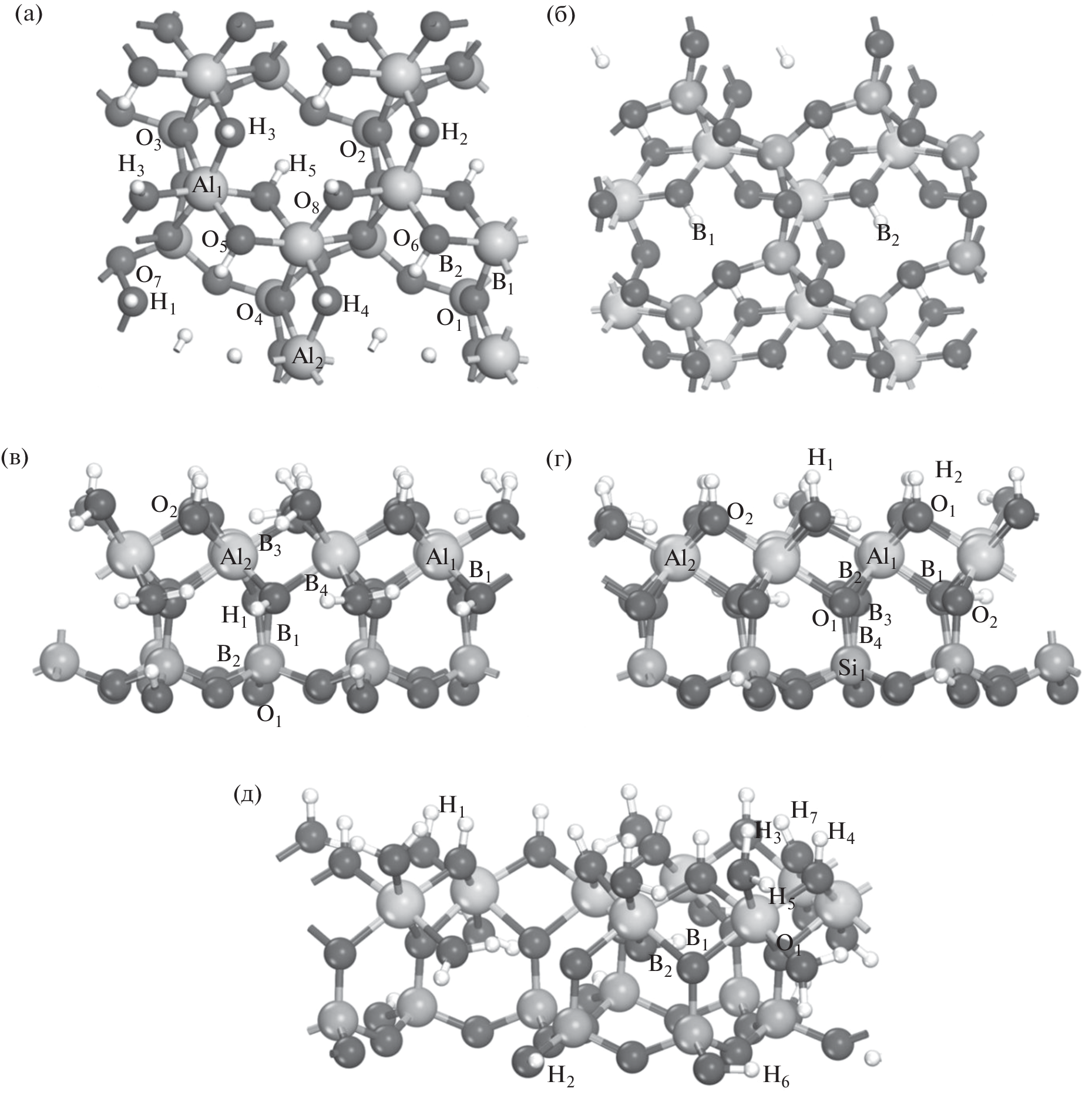
Adsorption capacities of kaolinite's edge and basal surfaces may differ. Тhese features determine the nature of its adsorption behavior while remaining poorly studied. At the same time, the anisotropy of the edge surface stipulates the wide application of kaolinite in geochemical, environmental, and technological fields. In this work, ab initio calculations have been employed to determine the effect of kaolinite surface anisotropy on its adsorption capacity. The mechanism has been studied for binding water molecules to the most stable kaolinite surfaces, namely, (001), (001¯), (010), and (110). It has been found that the most energetically advantageous adsorption configurations of water molecules arise on edge surface (010), with adsorption energy being ~four times higher than that on basal surface (001¯). The observed energy difference is due to the fact that hydroxyl groups are involved in the adsorption mechanism in addition to surface oxygen atoms. The absence of these groups on the basal surface significantly reduces the probability of hydrogen bonding. The results obtained are in agreement with the data from published studies.
About the authors
A. S. KASPRZHITSKII
Rostov State Transport University, Rostov-on-Don, Russia
Email: akasprzhitsky@yandex.ru
Россия, 344038, Ростов-на-Дону,
пл. Ростовского полка народного ополчения, 2
G. I. LAZORENKO
Rostov State Transport University, Rostov-on-Don, Russia
Email: akasprzhitsky@yandex.ru
Россия, 344038, Ростов-на-Дону,
пл. Ростовского полка народного ополчения, 2
A. A. KRUGLIKOV
Rostov State Transport University, Rostov-on-Don, Russia
Email: akasprzhitsky@yandex.ru
Россия, 344038, Ростов-на-Дону,
пл. Ростовского полка народного ополчения, 2
V. A. YAVNA
Rostov State Transport University, Rostov-on-Don, Russia
Author for correspondence.
Email: akasprzhitsky@yandex.ru
Россия, 344038, Ростов-на-Дону,
пл. Ростовского полка народного ополчения, 2
References
- Brigatti M.F., Galán E., Theng B.K.G. Developments in Clay Science. Chapter 2 – Structure and Mineralogy of Clay Minerals. Amsterdam: Elsevier, 2013.
- Schroeder P.A., Erickson G. Kaolin: From ancient porcelains to nanocomposites // Elements. 2014. V. 10. № 3. P. 177–182.
- Balan E., Calas G., Bish D.L. Kaolin-group minerals: from hydrogen-bonded layers to environmental recorders // Elements. 2014. V. 10. № 3. P. 183–188.
- Kameda J., Yamagishi A., Kogure T. Morphological characteristics of ordered kaolinite: investigation using electron back-scattered diffraction // Am. Mineral. 2005. V. 90. № 8–9. P. 1462–1465.
- Bickmore B.R., Nagy K.L., Sandlin P.E. et al. Quantifying surface areas of clays by atomic force microscopy // Am. Mineral. 2002. V. 87. № 5–6. P. 780–783.
- Cygan R.T., Tazaki K. Interactions of kaolin minerals in the environment // Elements. 2014. V. 10. № 3. P. 195–200.
- Ndlovu B., Becker M., Forbes E. et al. The influence of phyllosilicate mineralogy on the rheology of mineral slurries // Minerals Engineering. 2011. V. 24. № 12. P. 1314–1322.
- Brady P.V., Cygan R.T., Nagy K.L. Molecular controls on kaolinite surface charge // J. Colloid Interface Sci. 1996. V. 183. № 2. P. 356–364.
- Presti D., Pedone A., Mancini G. et al. Insights into structural and dynamical features of water at halloysite interfaces probed by DFT and classical molecular dynamics simulations // Phys. Chem. Chem. Phys. 2016. V. 18. № 3. P. 2164–2174.
- Šolc R., Gerzabek M.H., Lischka H. et al. Wettability of kaolinite (001) surfaces – molecular dynamic study // Geoderma. 2011. V. 169. P. 47–54.
- Chatterjee A., Iwasaki T., Ebina T., Hayashi H. Quantum chemical calculation on clay–water interface // Appl. Surf. Sci. 1997. V. 121–122. P. 167–170.
- Smirnov K.S., Bougeard D. A Molecular dynamics study of structure and short-time dynamics of water in kaolinite // J. Phys. Chem. B 1999. V. 103. № 25. P. 5266–5273.
- Benco L., Tunega D., Hafner J., Lischka H. Upper limit of the O–H⋯O hydrogen bond. Ab initio study of the kaolinite structure // J. Phys. Chem. B. 2001. V. 105. № 44. P. 10812–10817.
- Tunega D., Haberhauer G., Gerzabek M.H., Lischka H. Theoretical study of adsorption sites on the (001) surfaces of 1 : 1 clay minerals // Langmuir. 2002. V. 18. № 1. P. 139–147.
- Hu X.L., Michaelides A. Water on the hydroxylated (0 0 1) surface of kaolinite: from monomer adsorption to a flat 2D wetting layer // Surf. Sci. 2008. V. 602. P. 960–974.
- Kremleva A., Krüger S., Rösch N. Density functional model studies of uranyl adsorption on (001) surfaces of kaolinite // Langmuir. 2008. V. 24. № 17. P. 9515–9524.
- Tarasevich Y.I., Aksenenko E.V., Polyakov V.E. Ab initio calculation of the hydration of organic cations and their associates with amines on the surface of kaolinite // Theor. Exp. Chem. 2009. V. 45. P. 373–379.
- Martorell B., Kremleva A., Krüger S., Rösch N. Density functional model study of uranyl adsorption on the solvated (001) surface of kaolinite // J. Phys. Chem. C. 2010. V. 114. № 31. P. 13287–13294.
- Michalkova A., Robinson T.L., Leszczynski J. Adsorption of thymine and uracil on 1 : 1 clay mineral surfaces: comprehensive ab initio study on influence of sodium cation and water // Phys. Chem. Chem. Phys. 2011. V. 13. № 17. P. 7862–7881.
- Zhang C., Qi Y.-H., Qian P. et al. Quantum chemical study of the adsorption of water molecules on kaolinite surfaces // Comput. Theor. Chem. 2014. V. 1046. P. 10–19.
- Chen J., Min F.-F., Liu L.-Y., Liu C.-F. Mechanism research on surface hydration of kaolinite, insights from DFT and MD simulations // Appl. Surf. Sci. 2019. V. 476. P. 6–15.
- Han Y., Yan Z., Jin L. et al. In situ study on interactions between hydroxyl groups in kaolinite and re-adsorption water // RSC Adv. 2020. V. 10. № 29. P. 16949–16958.
- Xi P., Ma R., Liu W. Research on the hydrophilicity of non-coal kaolinite and coal kaolinite from the viewpoint of experiments and DFT simulations // Symmetry. 2020. V. 12. P. 1199.
- Каспржицкий А.С., Лазоренко Г.И., Сулавко С.Н. и др. Исследование структурных и спектральных характеристик свободной и связанной воды в каолините // Оптика и спектроскопия. 2016. Т. 121. № 3. С. 387–394.
- Tunega D., Gerzabek M.H., Lischka H. Ab initio molecular dynamics study of a monomolecular water layer on octahedral and tetrahedral kaolinite surfaces // J. Phys. Chem. B. 2004. V. 108. № 19. P. 5930–5936.
- Haria N.R., Grest G.S., Lorenz C.D. Viscosity of nanoconfined water between hydroxyl basal surfaces of kaolinite: classical simulation results // J. Phys. Chem. C. 2013. V. 117. № 12. P. 6096–6104.
- Vasconcelos I.F., Bunker B.A., Cygan R.T. Molecular dynamics modeling of ion adsorption to the basal surfaces of kaolinite // J. Phys. Chem. C. 2007. V. 111. № 18. P. 6753–6762.
- Тарасевич Ю.И., Поляков В.Е., Трифонова М.Ю. Микрокалориметрическое исследование взаимодействия воды с поверхностью каолинита, модифицированного полигексаметиленгуанидином // Коллоидный журнал. 2013. Т. 75. № 1. С. 123–127.
- Scott A.M., Dawley M.M., Orlando T.M. et al. Theoretical study of the roles of Na+ and water on the adsorption of formamide on kaolinite surfaces // J. Phys. Chem. C. 2012. V. 116. № 45. P. 23992–24005.
- Kruglikov A., Vasilchenko A., Kasprzhitskii A. et al. Atomic-level understanding of interface interactions in a halloysite nanotubes–PLA nanocomposite // RSC Adv. 2019. V. 9. P. 39505–39514.
- Lee S.G., Choi J.I., Koh W. et al. Adsorption of β-d-glucose and cellobiose on kaolinite surfaces: density functional theory (DFT) approach // Appl. Clay Sci. 2013. V. 71. P. 73–81.
- Liu X.D., Lu X.C., Wang R.C. et al. Atomic scale structures of interfaces between kaolinite edges and water // Geochim. Cosmochim. Acta. 2012. V. 92. P. 233–242.
- Kremleva A., Krüger S., Rösch N. Uranyl adsorption at (010) edge surfaces of kaolinite: a density functional study // Geochim. Cosmochim. Acta. 2011. V. 75. № 3. P. 706–718.
- Neder R.B., Burghammer M., Grasl T. et al. Refinement of the kaolinite structure from single-crystal synchrotron data // Clays Clay Miner. 1999. V. 47. P. 487–494.
- Bish D.L. Rietveld refinement of the kaolinite structure at 1.5 K // Clays Clay Miner. 1993. V. 41. P. 738–744.
- White G., Zelazny L. Analysis and implications of the edge structure of dioctahedral phyllosilicates // Clays Clay Miner. 1988. V. 36. P. 141–146.
- Clark S.J., Segall M.D., Pickard C.J. et al. First principles methods using CASTEP // Z. Kristallogr. 2005. V. 220. P. 567–570.
- Fabritius O., Puhakka E., Li X., Nurminen A. et al. Radium sorption on biotite; surface complexation modeling study // Appl. Geochemistry 2022. V. 140. P. 105289
- Kasprzhitskii A., Lazorenko G., Kharytonau D.S. et al . Adsorption mechanism of aliphatic amino acids on kaolinite surfaces // Applied Clay Science. 2022. V. 226. P. 106566
- Perdew J.P., Burke K., Wang Y. Generalized gradient approximation for the exchange-correlation hole of a many-electron system // Phys. Rev. B. 1996. V. 54. P. 16533.
- Monkhorst H.J., Pack J.D. Special points for Brillouin-zone integrations // Phys. Rev. B. 1976. V. 13. № 12. P. 5188–5192.
- Vanderbilt D. Soft self-consistent pseudopotentials in a generalized eigenvalue formalism // Phys. Rev. B. 1990. V. 41. № 11–15. P. 7892–7895.
- Becke A.D., Johnson E.R. A density-functional model of the dispersion interaction // J. Chem. Phys. 2005. V. 123. №. 154101. P. 1–9.
- Ángyán J.G., Gerber I.C., Savin A. et al. van der Waals forces in density functional theory: perturbational long-range electron-interaction corrections // Phys. Rev. A. 2005. V. 72. № 012510. P. 1–9.
- Schoonheydta R.A., Johnston C.T., Bergaya F. Developments in Clay Science. Amsterdam: Elsevier, 2018.
- Morales M.A., McMinis J., Clark B.K. et al. Multideterminant wave functions in quantum Monte Carlo // J. Chem. Theory Comput. 2012. V. 8. № 7. P. 2181.
- Shulenburger L., Mattsson T.R. Quantum Monte Carlo applied to solids // Phys. Rev. B. 2013. V. 88. P. 245117.
- Grimme S., Hansen A., Brandenburg J.G. et al. Dispersion-corrected mean-field electronic structure methods // Chem. Rev. 2016. V. 116. № 9. P. 5105–5154.
- Grimme S. Semiempirical GGA-type density functional constructed with a long-range dispersion correction // J. Comput. Chem. 2006. V. 27. № 15. P. 1787–7895.
- Dubbeldam D., Calero S., Ellis D.E. et al. RASPA: molecular simulation software for adsorption and diffusion in flexible nanoporous materials // Mol. Simul. 2016. V. 42. № 2. P. 81–101.
- Sun H., Ren P., Fried J.R. The COMPASS force field: parameterization and validation for phosphazenes // Comput. Theor. Polym. Sci. 1998. V.8. № 1–2. P. 229–246.
- Voevodin V.L., Antonov A., Nikitenko D. et al. Supercomputer Lomonosov-2: large scale, deep monitoring and fine analytics for the user community // Supercomput. Front. Innov. 2019. V. 6. P. 4–11.
- Luzar A., Chandler D. Structure and hydrogen bond dynamics of water–dimethyl sulfoxide mixtures by computer simulations // J. Chem. Phys. 1993. V. 98. P. 8160–8173.
- Mulliken R.S. Electronic population analysis on LCAO–MO molecular wave functions. II. Overlap populations, bond orders, and covalent bond energies // J. Chem. Phys. 1955. V. 23. № 10. P. 1841–1846.
Supplementary files





