Stress-strain properties of microwave-irradiated polymer composite based on PDI-3A rubber
- Authors: Nurullaev E.1, Khimenko L.L.1, Kozlov A.N.2, Allayarov S.R.3
-
Affiliations:
- Perm National Research Polytechnic University
- Perm State Agro-Technical University
- Federal Research Center of Problems of Chemical Physics and Medicinal Chemistry RAS
- Issue: Vol 58, No 4 (2024)
- Pages: 239-244
- Section: GENERAL QUESTIONS
- URL: https://bakhtiniada.ru/0023-1193/article/view/274561
- DOI: https://doi.org/10.31857/S0023119324040019
- EDN: https://elibrary.ru/TQJRYA
- ID: 274561
Cite item
Full Text
Abstract
The stress diagram of polymer composite material based on PDI-3A rubber filled with thermally expanded graphite or potassium chloride before and after microwave treatment for 300, 600, 900 and 1200 s has been studied. A twofold increase in tensile strength and deformability was found after microwave treatment for 300 c and testing at 223 K. With increasing the test temperature or microwave treatment time, a marked decrease in the deformation and tensile strength characteristics of the obtained composites was observed.
Full Text
ВВЕДЕНИЕ
Для модификации свойств полимерных материалов и изделий из них широко применяется сверхвысокочастотное СВЧ-излучение [1, 2], которое имеет ряд преимуществ, по сравнению с другими методами обработки [3–6], и открывает новые возможности получения модифицированных полимерных материалов с заданным комплексом свойств, что и обосновывает актуальность научных исследований в области воздействия СВЧ электромагнитного поля на полимерные материалы. Анализ литературных данных показал, что работы, посвященные исследованию воздействия СВЧ-излучения на полимерные композитные материалы (ПКМ) на основе низкомолекулярных каучуков, практически отсутствуют, хотя на их основе создаются полимерные материалы, широко используемые в различных отраслях промышленности и техники, в том числе в атомной энергетике.
Результаты исследования влияния дозы γ-облучения на механические характеристики и структуру ПКМ на основе низкомолекулярных каучуков ПДИ-3Б и СКД-КТР, наполненных хлоридом калия [7], показали, что увеличение дозы облучения до 200 кГр не приводит к существенному изменению прочностных характеристик композита. Видимо, полученные композиты обладают радиационной устойчивостью при таких дозах γ-облучения.
Целью настоящей работы явилось исследование влияния СВЧ-излучения на деформационные и прочностные характеристики ПКМ на основе каучука ПДИ-3А, наполненного термически расширенным графитом или хлористым калием.
ЭКСПЕРИМЕНТАЛЬНАЯ ЧАСТЬ
Использованный в работе каучук олигодивинилизопренуретан с функциональными эпоксидными группами (ПДИ-3А) получали обработкой полидиендиола избытком диизоцианата с дальнейшей обработкой глицидолом. Полученный каучук характеризовался следующими свойствами: вязкость не более 200 пз при 323 К, молекулярная масса Мn ≈ 4000, коэффициент полидисперсности 1.46, содержание свободного глицидола не более 0.4%, температура стеклования 223–193 К. Такие свойства делают каучук ПДИ-3А привлекательным для разработчиков полимерных материалов.
Для изготовления ПКМ в смеситель загружали подогретый до 318 К каучук ПДИ-3А (74.47%), далее, перемешивая и нагревая до 333 К, добавляли гранулы термически расширенного графита (2.5%) или гранулы хлористого калия. После перемешивания 20 мин, снижая температуру смешения до 323 К, вводили отвердитель метафенилендиамин (МФДА) (1.13%), предварительно распределенный в ПДИ-3А (8%). Взаимодействие ПДИ-3А с МФДА можно схематично описать следующим образом (см. схему 1).
Схема 1
На схеме R=–CH2–CH=CH–CH2–.
Для определения гранулометрического состава КCl использовались сита с размером отверстий 0.90, 0.63, 0.40, 0.31 мм, остальная часть частицы меньше 0.31 мм. При этом масса исходного образца 241.92 г, масса навески, идущей на гранулирование, составляла 241.35 г. Масса навески после гранулирования составляла 240.34 г.
Общие потери массы в виде мелких частиц (пыли) составили 0.65%. Гранулометрический состав использованного КCl приведен в работе [7]. Эластомерный композит изготовлен в лабораторных условиях с использованием смесителя и методики, описанной в работе [7].
За процессом модификации ПКМ под воздействием СВЧ-излучения следили путем измерения разрывной прочности ПКМ в зависимости от времени воздействия облучения. Для этого образцы в форме лопатки с размером рабочей части 25 мм и сечением 5 × 7 мм испытывали на универсальной испытательной машине INSTRON-3365 и определяли условную разрывную прочность ó, относительную деформацию разрушения при растяжении e. Скорость растяжения была 500 мм · мин-1 при температурах 223, 293 и 323 K. Статистическая достоверность экспериментальных данных – 3% при 5 параллельных испытаний.
Для СВЧ-обработки использовали СВЧ-генератор с частотой излучения 2.45 ГГц и мощностью 700 Вт, размещенный на открытой площадке, размеры которой исключали влияние на образцы СВЧ-излучения, отраженного от окружающих предметов. Образцы для СВЧ-обработки помещали в герметичный контейнер из пенопласта, который абсолютно прозрачен для СВЧ-излучения, что предотвращает внешнее воздействие в ходе облучения, в том числе процесса охлаждения. Перед СВЧ-обработкой измерили начальную температуру образцов. Она составляла 296 ± 2 К. После СВЧ-обработки облученные образцы остывали до комнатной температуры в естественных условиях в помещении, где производили их закладку в контейнер.
Основной величиной воздействия СВЧ-излучения на материалы является плотность тепловой энергии, поглощенной материалом, методика расчета которой приведена в работе [8]. Результаты расчетов зависимости тепловой энергии, поглощенной материалом, от времени СВЧ-обработки приведены в табл. 1. Как видно, с ростом времени обработки увеличивается тепловая энергия СВЧ-излучения, поглощенная материалом.
Таблица 1. Зависимость плотности тепловой энергии, поглощенный пластифицированным связующим, от времени воздействия СВЧ излучения
Время экспозиции, с | Плотность тепловой энергии, КДж/м3 |
300 | 69.0 ± 1.7 |
600 | 138.1 ± 3.4 |
900 | 207.2 ± 5.2 |
1200 | 276.2 ± 6.9 |
РЕЗУЛЬТАТЫ ИССЛЕДОВАНИЯ И ОБСУЖДЕНИЕ
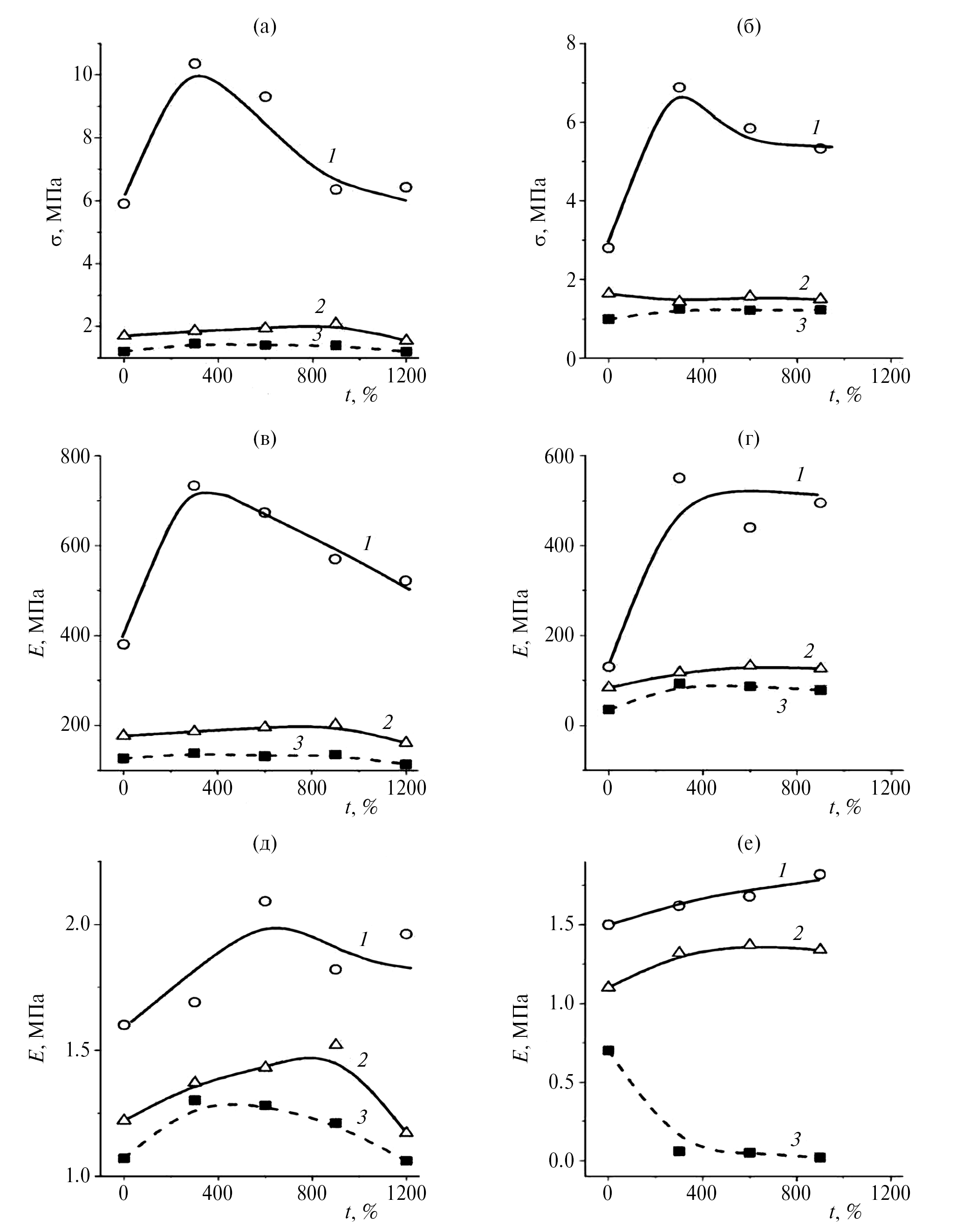
Графики зависимости условного напряжения от деформации образцов ПКМ, содержащих расширенный графит или хлористый калий, в зависимости от температуры и времени СВЧ-обработки, представлены на рис. 1. Как видно, диаграммы напряжения композитов, содержащих расширенный графит, отличаются от диаграмм композитов, содержащих калий хлористый. Их анализ позволил определить разрывную прочность, относительную деформацию разрушения и модуль упругости изученных композитов. На рис. 2 приведена их зависимость от времени СВЧ-обработки образцов ПКМ, наполненных терморасширенным графитом.
Рис. 1. Зависимость условного напряжения от деформации полимерного композитного материала, наполненного терморасширенным графитом (а–в) или хлоридом калия (г–е) от времени СВЧ-обработки (с): 0 (1), 300 (2), 600 (3), 900 (4), 1200 (5). Исследование проводилось при температуре (К): 223 (а, г), 298 (б, д), 323(в, е).
Рис. 2. Зависимости предела прочности при растяжении (а, б), деформации (в, г) и модуля упругости (д, е) ПКМ, наполненного терморасширенным графитом (а–в) или хлоридом калия (г–е) от времени СВЧ-обработки. Исследование деформационно-прочностных характеристик проводилось при температуре (К): 223 (1), 298 (2), 323 (3).
Видно, что значение прочности при растяжении (σр) в ходе обработки СВЧ-излучением проходят через максимум в области достаточно малого времени ~300 с в образце композита, испытанного при 223 К (рис. 1а, кривая 1). Максимальная величина достигнутого упрочнения ПКМ достигает 10.35 МПа. С дальнейшим удлинением времени СВЧ-обработки наблюдается снижение разрывной прочности, и уже после 900 с обработки излучением прочность ПКМ снижается до уровня необработанной ПКМ с разрывной прочностью 5.9 МПа. Видимо, в ходе СВЧ-обработки происходит процесс сшивки и возникают поперечные связи в структуре ПКМ, которые в два раза повышают прочность облученного композита. В свою очередь повышение температуры испытания облученных образцов до 298 и 323 К вызывает заметное снижение абсолютных значений разрывной прочности. По-видимому, это связано с частичной потерей прочности композитами при их нагреве до температуры испытания, чем она выше, тем ниже прочность испытуемых композитов. Аналогичная картина наблюдается в зависимости деформации разрушения от времени СВЧ-обработки и температуры испытания (кривая 1, рис. 2в).
Образец ПКМ, обработанный СВЧ-излучением 300 с, в ходе испытания при 223 К в момент разрушения обладает деформируемостью 733%, в то же время деформируемость такого же образца ПКМ, СВЧ-излучением 1200 с снижается до 522%, что близко к деформируемости необлученного СВЧ-излучением ПКМ (кривая 1, рис. 2в). На кривой зависимости модули упругости ПКМ от времени СВЧ-обработки (кривая 1, рис. 2д) максимальное значения модуля достигается не более 300 с обработки, а после воздействия СВЧ-излучения – в течение 600 с. Таким образом, обнаружено, что в образце ПКМ, содержащем расширенный графит, наблюдается почти двухразовый рост прочности и деформации при разрушении после СВЧ-обработки в течение 300 с.
Результаты экспериментов, проведенных с измерением ПКМ, содержащего хлористый калий, показывают такую же тенденцию, после СВЧ-обработки, т.е. после 300 с СВЧ-обработки, значения разрывного напряжения и деформации имеют максимальное значение в случае испытания при 223 К (кривые 1, рис. 2б, 2г). В них с повышением температуры испытания до 298–323 К наблюдается резкое снижение абсолютного значения разрывной прочности и деформации, как и в случае ПКМ, содержащего расширенный графит.
ЗАКЛЮЧЕНИЕ
Таким образом, анализ результатов исследования влияния СВЧ-излучения на деформационные, прочностные характеристики ПКМ на основе низкомолекулярного каучука ПДИ-3А, наполненного терморасширенным графитом, показывает, что деформационно-прочностные характеристики ПКМ при температуре 223 К вдвое увеличиваются после СВЧ-обработки в течении 300 с и достигают условного напряжения до 10.35 МПа, по сравнению с тем же параметром в необлученном ПМК 9.3 МПа, также наблюдается рост деформации с 380.5% для исходного до 733% для СВЧ-обработанного ПМК. Рост показателей прочности и деформируемости композитов, содержащих калий хлористый, также наблюдается при малых временах СВЧ-обработки и низких температурах испытания.
Данный способ обработки материалов можно использовать для создания полимерных материалов, используемых в оборудованиях, работающих в условиях крайнего Севера при низких температурах, а также для создания материалов с высоким разрывным напряжением и большой эластичностью.
ИСТОЧНИК ФИНАНСИРОВАНИЯ
Работа выполнена по теме госзадания № 124013000722-8.
About the authors
E. Nurullaev
Perm National Research Polytechnic University
Email: sadush@icp.ac.ru
Russian Federation, Perm
L. L. Khimenko
Perm National Research Polytechnic University
Email: sadush@icp.ac.ru
Russian Federation, Perm
A. N. Kozlov
Perm State Agro-Technical University
Email: sadush@icp.ac.ru
Russian Federation, Perm
S. R. Allayarov
Federal Research Center of Problems of Chemical Physics and Medicinal Chemistry RAS
Author for correspondence.
Email: sadush@icp.ac.ru
Russian Federation, Chernogolovka, Moscow region
References
- Belkhir K., Riquet G., Becquart F. // Advances in Polymer Technology. 2022. V. 2022. Article ID 3961233. 21 p.
- Hoogenboom R., Schubert U.S., Wiesbrock F. // Microwave-assisted Polymer Synthesis. N-Y: Springer Cham, 2016. 351 p.
- Hosur M.V., Menon A., John M.K., Rangari V.K., Jeelani S. // International SAMPE symposium and exhibition. 2005. V. 50. P. 1659.
- Rakhmankulov D.L., Bikbulatov I.H., Shulaev N.S., Shavshukova S.Y. // Microwave radiation and intensification of chemical processes. M.: Khimiya, 2003. 220 p.
- Abutalipova E.M., Kuzeyev I.R., Shulaev N.S. // Oil and Gas Business. Electron. journal. 2013. № 4. P. 316.
- Abakacheva E.M., Suleymanov D.F. Shulaev N. S. // Butler Communications. 2011. V. 24. No. 1. P. 95.
- Nurullaev E., Khimenko L.L., Allayarov S.R. // High Energy Chemistry. L., Allayarov S. R. // High Energy Chemistry. 2024. V. 58. P. 242.
- Nurullaev E.M. // Applied Mechanics and Technical Physics. 2021. V. 62. № 2. P. 53.
Supplementary files





