Влияние гамма-облучения на токсичность редкосшитой полиакриловой кислоты и геля на его основе
- Авторы: Аллаярова У.Ю.1, Климанова Е.Н.1, Сашенкова Т.Е.1, Абрамов В.А.2, Гатауллин А.Р.2, Богданова С.А.2, Демидов C.В.1, Мищенко Д.В.1,3, Аллаяров С.Р.1
-
Учреждения:
- Федеральный исследовательский центр проблем химической физики и медицинской химии Российской академии наук
- Казанский национальный исследовательский технологический университет
- Московский государственный университет им. М.В. Ломоносова
- Выпуск: Том 58, № 2 (2024)
- Страницы: 100-106
- Раздел: РАДИАЦИОННАЯ ХИМИЯ
- URL: https://bakhtiniada.ru/0023-1193/article/view/262515
- DOI: https://doi.org/10.31857/S0023119324020032
- EDN: https://elibrary.ru/VSTCXN
- ID: 262515
Цитировать
Полный текст
Аннотация
Исследовано влияние g-облучения на острую токсичность промышленной редкосшитой полиакриловой кислоты, торговой марки “Карбомер 141G” и геля на ее основе при внутрибрюшинном, накожном и пероральном способе введения подопытным мышам линии Balb/c и C57BL/6. Предварительное g-облучение карбомера снижает токсичность его водной дисперсии при внутрибрюшинном введении. При этом динамика массы тела экспериментальных животных показывает достоверное ( р = 0.05) снижение средней массы тела ко 2–3 суткам после введения водной дисперсии как необлученного, так и облученного карбомера с тенденцией к восстановлению массы тела к 14 суткам, дисперсии с высоким содержанием карбомера приводят к летальному исходу. В отличие от перорального введения гелей, когда наблюдается снижение массы подопытных животных, в случае накожного введения гелей с первых же дней эксперимента наблюдается прибавление в весе подопытных животных, и не происходит их гибели. Добавление углеродных нанотубок УНТ (0.07 мас. %) и фуллерена С٦0 (0.10 мас.%) в гели приводит к уменьшению привеса средней массы животных как при пероральном, так и накожном введении гелей, не вызывая токсического действия на организм. Исследования острой токсичности исходного карбомера и его g-облученного до 1000 кГр аналога позволяют их отнести к 3-му классу опасности для внутрибрюшинного способа введения в соответствии с ГОСТ 12.1.007–76. Результаты исследования указывают на то, что полимерные гели на основе редкосшитой полиакриловой кислоты (в облученной и необлученной формах) могут быть использованы в качестве носителей активных компонентов лекарственных средств для адресной доставки при терапии социальнозначимых заболеваний.
Полный текст
Введение
Гели на основе редкосшитой полиакриловой кислоты, с торговым названием “Карбомеры” являются суперабсорбентами, т.е. способны поглощать в себя большое количество растворителя. Благодаря этому свойству карбомеры (КБМ) широко используются в качестве гелевой матрицы, в которую можно вводить биологически активные компоненты и лекарственные средства [1]. Основные различия промышленных марок КБМ связаны с наличием сомономера, плотностью поперечных связей и молекулярной массой. Изменяя эти переменные, можно менять свойства и характеристики полимерных гелей, что является актуальной задачей. Одним из способов модификации КБМ является использование ионизирующего излучения [2, 3], которое позволяет управлять гелеобразующими свойствами КБМ с помощью дозы γ-облучения [3, 4]. Показано [4], что γ-облучение на воздухе оказывает деструктирующее действие на КБМ и приводит к уменьшению реологических показателей — вязкости, предела текучести и площади петли гистерезиса. Облучение КБМ дозами более 300 кГр на воздухе приводит к существенному снижению или полному отсутствию у них гелеобразующих свойств. Вместе с тем, облучение КБМ той же дозой в вакууме приводит к падению вязкости лишь на 2% по сравнению с исходными системами. Из этого следует, что на гелеобразующие свойства КБМ можно повлиять не только дозой, но и условиями облучения. Установлено, что оптимальным гелеобразователем для получения устойчивых гелей антибактериального назначения является КБМ марки “Карбомер 141G”, облученный дозой 30 кГр [4] или “Карбомер-140”, облученный дозой 70 кГр [2].
Модифицирование КБМ ионизирующим излучением, наряду с реологическими свойствами, может влиять и на токсичность полимера. Это делает весьма актуальным исследования токсичности радиолизованного КБМ и гелей на его основе для дальнейшего безопасного использования. К тому же, в настоящее время полимерные гели используются в качестве носителей радиоактивных элементов для лечения кожных заболеваний, например, радиоактивного изотопа Радий-223, поэтому важно оценить влияние ионизирующего облучения на их свойства [5], в том числе на токсичность. Вместе с тем применение γ-излучения может оказывать бактерицидное действие, что способствует созданию антибактериальных гелевых форм [6]. Исследование токсичности облученных полимеров также обусловлено широким использованием ионизирующего излучения для стерилизации полимерных изделий медицинского назначения и средств доставки лекарств [7, 8]. Рекомендуемая доза облучения при стерилизации обычно составляет 25 кГр в соответствии с Кодексом практики МАГАТЭ (1974 г.) и фармакопеей [9]. На практике в большинстве случаев используются стерилизующие дозы от 25 до 40 кГр [8]. Однако полимеры и изделия из них могут подвергаться воздействию достаточно больших доз ионизирующего излучения.
В связи с вышесказанным, предметом исследования настоящей работы было изучение влияния дозы γ-облучения до 1000 кГр на токсичность образцов редкосшитой полиакриловой кислоты марки “Карбомер 141G” и гелей на основе данного КБМ, облученных дозой 300 кГр при накожном, внутрижелудочном и внутрибрюшном введении лабораторным животным.
Экспериментальная часть
Материалы
В работе использовали КБМ марки Карбомер 141G производства “EVONIK” (Германия) со среднечисловой молекулярной массой 1250000, и молекулярной массой между сшивками 240000.
Гелевые композиции на основе КБМ были получены следующим образом: порошок КБМ оставляли набухать в воде на сутки, затем перемешивали на гомогенизаторе ПЭ-8100 при 200 об/мин до гомогенизации системы, после чего вводили глицерин. Золь-гель переход осуществляли введением триэтаноламина. Использованные в работе гелевые композиции плотностью 0.9964 г/мл содержали КБМ (0.40 мас. %), триэтаноламина (0.30 мас. %), глицерина (5.00 мас. %), неионогенного поверхностно-активного вещества на основе оксида этилена и высших жирных спиртов со средней степенью оксиэтилирования n = 10 (0.02 мас. %) и воду (94.28 мас. %). В составе геля с УНТ кроме КБМ, триэтаноламина, глицерина и поверхностно-активного вещества того же содержания, также находились УНТ (0.07 мас. %) и вода (94.21 мас. %). Гели с фуллереном кроме КБМ, триэтаноламина и глицерина содержали в качестве поверхностно-активного вещества Полоксамер 184 (0.06 мас. %), воду (94.14 мас. %) и фуллерен С60 (0.10 мас. %). Таким образом, в составе использованных в работе трех типов гелей содержались одинаковое количество основных компонентов — КБМ, триэтаноламина, глицерина и воды.
Гамма-облучение
Облучение образцов γ-лучами 60Со проводили на установке УНУ “Гамматок-100” ФИЦ ПХФ и МХ РАН при 23°С на воздухе.
Исследование острой токсичности
Опыты по определению острой токсичности проводились в соответствии с Руководством по проведению доклинических исследований лекарственных средств [10] и с соблюдением принципов гуманного обращения с животными в соответствии с национальными и международными стандартами.
Для изучения острой токсичности КБМ подопытным животным внутрибрюшинно однократно вводили диспергированные в дистиллированной воде порошок исходного и γ-облученного КБМ. Контрольным животным внутрибрюшинно вводили дистиллированную воду без КБМ в тех же объемах. Для внутрибрюшинного введения использовали одноразовый инсулиновый шприц объемом 1.0 мл. Острая токсичность геля на основе КБМ исследовалась на примере гелевых композиций, содержащих УНТ и фуллерен, а также без наночастиц. Для изучения влияния дозы радиации на токсичность гелей, перед их введением подопытным животным, они были облучены γ-лучами при 300 кГр.
В экспериментах с нанесением на кожу гелей использовали белых мышей линии Balb/c весом 20–22 г. В опытах по определению острой токсичности при внутрибрюшинном введении облученного КБМ, а также для экспериментов с пероральным введением гелей были использованы мыши линии C57BL/6 весом 20–22 г. В экспериментах были использованы мыши самцы, полученные из УНУ “Питомник и виварий ФИЦ ПХФ и МХ РАН”. Подопытные животные находились на стандартной сбалансированной диете с использованием экструдированного комбикорма для содержания мелких лабораторных грызунов “ЧАРА” (ЗАО “Ассортимент-Агро”) и получали чистую питьевую воду.
При накожном применении исследуемые гели наносили на выстриженный участок кожи размером 2 см2 на спине мышей путем втирания до полного всасывания один раз в день в течение 5 дней. Наблюдение за животными проводилось в лаборатории в течение 72 ч с момента нанесения геля, при этом отмечалось их состояние до 14 дней в условиях вивария.
Токсикологическая оценка облученных гелей также включала внутрижелудочное введение гелей подопытным мышам посредством атравматического металлического зонда. Оно производилось один раз в день исследуемого геля на каждую мышь в течение 5 сут.
После введения исследуемого соединения у животных регистрировали клинические признаки интоксикации, гибель животных от токсичности, сроки их гибели, изменение массы тела мышей, сохранение двигательных функций, состояние шерстяного покрова, дыхания, реакции на внешние раздражители. Ежедневно проводился осмотр всех животных в клетках содержания с целью выявления смертности или признаков отклонения в состоянии здоровья. Для оценки повреждающего действия КБМ и гелей на внутренние органы и ткани все животные были умерщвлены с помощью дислокации шейных позвонков, после чего было проведено патологоанатомическое вскрытие.
Результаты исследования и обсуждение
Острая токсичность γ-облученного КБМ
Введенные опытным животным водные дисперсии КБМ, предварительно облученного дозами радиации 500 и 1000 кГр, проявляют меньший токсический эффект, чем водная дисперсия карбомера, не подвергшегося действию гамма-облучения. Полулетальная доза, которая вызывает гибель половины подопытных животных (ЛД50), в случае использования раствора не облученного КБМ составляет 600 мг/кг, в то же время для водных дисперсий образцов КБМ, облученных дозами 500 и 1000 кГр, ЛД50 составляет 1123 и 1150 мг/кг соответственно. Согласно этому, предварительное γ-облучение КБМ в два раза снижает токсичность его водных дисперсий.
Экспериментально определенные при внутрибрюшинном введении параметры острой токсичности водных дисперсий исходного и облученных дозой 500 и 1000 кГр образцов КБМ, приведены в табл. 1. Перечисленные в таблице параметры токсичности в зависимости от дозы облучения порошка КБМ (кГр) и от дозы введения в каждое подопытное животное количества КБМ (мг/кг) включают значения максимальной переносимой дозы КБМ (МПД), когда не обнаружен летальный исход, средние смертельные дозы введенного карбомера ЛД50, а также дозы ЛД16, ЛД84 и ЛД100, вызывающие гибель 16, 84 и 100% подопытных животных. Для определения показания средних смертельных доз по экспериментальным данным по смертности был использован метод графического анализа зависимости “доза–эффект”. Для этого использовали графики, представляющие соотношения погибших и выживших особей в группах животных, получавших КБМ в последовательных нарастающих с логарифмическим шагом дозах введения (по методу Беренса). Кривые “доза–эффект” для определения параметров острой токсичности КБМ при различных дозах облучения КБМ представлены на рис. 1.
Таблица 1. Параметры острой токсичности исходного и γ-облученного КБМ при внутрибрюшинном способе введения мышам линии C57BL/6
Доза, кГр | Количество животных в группе, шт. | Доза, мг/кг | МПД | ЛД16 | ЛД50 | ЛД84 | ЛД100 |
0 | 6 | 400 | 400 | 490 | 600 | 710 | 800 |
500 | |||||||
600 | |||||||
700 | |||||||
800 | |||||||
500 | 6 | 800 | 800 | 990 | 1150 | 1310 | 1400 |
1000 | |||||||
1150 | |||||||
1300 | |||||||
1400 | |||||||
1000 | 6 | 1000 | 1000 | 1055 | 1123 | 1225 | 1400 |
1100 | |||||||
1150 | |||||||
1300 | |||||||
1400 |
Рис. 1. Кривая зависимости “доза–эффект” после однократного внутрибрюшинного введения мышам линии C57BL/6 КБМ с дозой облучения (кГр): 0 (1), 500 (2), 1000 (3).
Несмотря на снижение токсичности КБМ после γ-облучения при внутрибрюшинном введении его водной дисперсии, в ходе эксперимента с ним наблюдалась гибель животных, как и в случае введения дисперсии необлученного КБМ. Летальный исход регистрируется на 3–7 сутки после однократного внутрибрюшинного введения раствора радиолизованного КБМ. Клиническая картина интоксикации животных, получивших смертельные дозы, после введения водной дисперсии КБМ проявлялась в виде нарушения координации, тремора, нарушения дыхания, взъерошенной шерсти. Смерть подопытных животных наступала в состоянии глубокого угнетения.
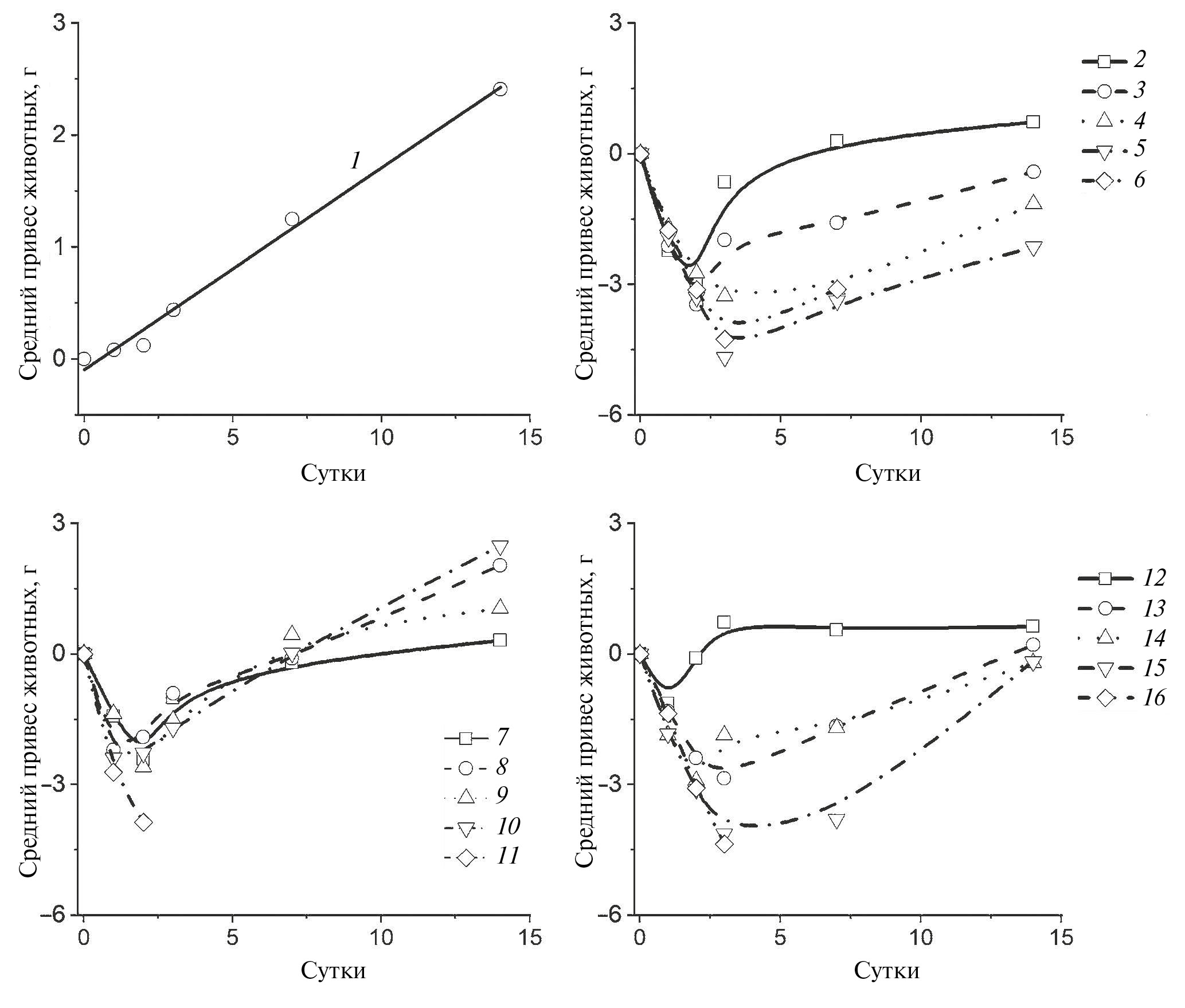
Анализ динамики изменения массы тела экспериментальных животных, получавших водные дисперсии облученного и необлученного КБМ, приведен на рис. 1. Видно достоверное ( р = 0.05) снижение средней массы тела ко 2–3 суткам после введения КБМ с тенденцией к восстановлению массы тела к 14 суткам. На кривой зависимости потери веса (рис. 2, кривая 2) видно, что введение 500 мг/кг необлученного КБМ приводит к снижению среднего веса подопытных животных на 3.5 мг. В то же время, при введении мышам в два раза большего количества КБМ, облученного 500 кГр, приводит к снижению их веса всего лишь на 2 мг, а в случае использования КБМ, облученного дозой 1000 кГр наблюдается еще меньшее снижение веса. Это еще раз свидетельствует о снижении токсичности КБМ после воздействия γ-радиации при его внутрибрюшинном введении подопытным животным.
Рис. 2. Изменение массы тела мышей в ходе контрольного эксперимента (1) и при изучении острой токсичности необлученного (2, 3, 4, 5, 6) и облученного дозой 500 (7, 8, 9, 10, 11) и 1000 кГр КБМ (12, 13, 14, 15, 16) при внутрибрюшинном введении в дозах (мг/кг): 300 (2), 500 (3), 600 (4), 700 (5), 800 (6, 7), 1000 (8, 12), 1100 (13), 1150 (9, 14), 1300 (10, 15), 1400 (11, 16). В контрольном эксперименте (1) животным внутрибрюшинно вводили дистиллированную воду без КБМ в тех же объемах, что и водная дисперсия КБМ.
Кроме того, предварительное γ-облучение приводит к тому, что масса тела животных быстрее восстанавливается в ходе эксперимента в случае введения облученного КБМ, чем необлученного. Следует отметить, что в условиях эксперимента у животных, получавших внутрибрюшинным путем дистиллированную воду без КБМ, наблюдается линейное со временем прибавление в весе с первого дня наблюдения (рис. 1, кривая 1). Таким образом, внутрибрюшинное введение как облученного КБМ, так и необлученного негативно сказывается на прибавление веса подопытными животными, и предварительное γ-облучение КБМ снижает неблагоприятное влияние на набор веса животными.
При патологоанатомическом вскрытии умерших животных в ходе эксперимента с внутрибрюшинным введением водных дисперсий КБМ было обнаружено увеличение печени и почек, а также изменение их цвета до светло-коричневого, что может свидетельствовать о токсических проявлениях при внутрибрюшинном введении водных дисперсий облученного и необлученного КБМ. В других внутренних органах (селезенка, легкие, сердце) паталогических изменений, вызванных интоксикацией, обнаружено не было.
Результаты исследования позволяют отнести КБМ и его аналоги, γ-облученные дозой до 1000 кГр к 3 классу умеренно токсичных соединений в соответствии с ГОСТ 12.1.007-76 для внутрибрюшинного способа введения мышам линии C57BL/6.
Острая токсичность геля на основе КБМ при накожном и внутрижелудочном применении
Для изучения влияния γ-облучения на токсичность геля на основе КБМ было проведено исследование их накожного и внутрижелудочного введения лабораторным животным. В ходе эксперимента также исследовано влияние добавок 0.07 мас. % УНТ и 0.10 мас. % фуллерена С60 и дозы облучения 300 кГр на токсичность геля.
Изменение массы тела экспериментальных животных при накожном нанесении 0.5 г гелей в день в течении пяти дней на выстриженный участок кожи размером 2 см2 на спине мышей приведено на рис. 3. Видно, что при накожном введении необлученных (кривая 1) и облученных дозой 300 кГр гелей (кривая 2) наблюдается повышение средней массы тела подопытных животных, как и в случае контрольной группы мышей без нанесения геля на их кожу [11]. Однако после нанесения на кожу животных гелей содержащих УНТ (рис. 3, кривая в) или фуллерен (рис. 3, кривая д), наблюдается некоторое снижение среднего прироста массы животных. В результате, животные с нанесенными на спину гелями, содержащими наночастицы, в течение 14 суток опыта прибавили в весе всего лишь на 1 г, в тот же промежуток времени, у мышей с нанесенными на спину гелями без наночастиц привес в средней массе составил 3 г.
Рис. 3. Изменение прироста массы тела экспериментальных животных при накожном нанесении необлученного (1, 3, 5) и предварительно γ-облученного дозой 300 кГр геля (2, 4, 6). В композиции гелей (в, г, д, е) дополнительно содержался 0.07 мас. % УНТ (в, г) и 0.10 мас. % фуллерена С60 (д, е). В экспериментах 0.5 г геля в день в течении первых пяти дней наносили на выстриженный участок кожи на спине мышей размером 2 см2 путем втирания до полного всасывания.
В случае внутрижелудочного введения гелей (рис. 4) также, как и в случае внутрибрюшинного введения облученного и необлученного КБМ (рис. 2) наблюдается тенденция к восстановлению средней массы тела после незначительного ее снижения в первые 2–3 суток. Такой характер изменения веса подопытных животных сохраняется независимо от наличия в гелях наночастиц или их предварительного γ-облучения. Наблюдаемое восстановление средней массы тела подопытных животных в конце эксперимента связано, очевидно, с прекращением в этот период опыта внутрижелудочного введения гелей или внутрибрюшинного введения растворов КБМ подопытным животным.
Рис. 4. Изменение массы тела экспериментальных животных, получавших внутрижелудочно необлученные (1, 3, 5) и γ-облученные гели (2, 4, 6) на основе КБМ. В составе образцов гелей (3, 4, 5, 6) дополнительно содержались УНТ (3, 4) или фуллерен (5, 6). Доза предварительного γ-облучения гелевых композиций 300 кГр. Внутрижелудочное введение гелей посредством металлического зонда производилось один раз в день по 0.5 г исследуемого геля на каждую мышь в течение 5 дней.
В эксперименте с внутрижелудочным введением гелей, также, как и их накожным нанесении, присутствие в гелях наночастиц отрицательно влияет на набор веса подопытными животными. Несмотря на снижение средней массы тела исследуемых мышей в начале эксперимента после перорального введения всех исследуемых гелей, в процессе данного опыта не наблюдалось серьезных клинических проявлений интоксикации.
В целом, эксперименты показали, что наибольший привес наблюдается у животных, получавших гели без наночастиц и с необлученным КБМ. Видимо, внутрижелудочное и накожное введение гелей в максимально возможной дозе, в отличие от внутрибрюшинного введения водного раствора КБМ, не оказывает значимого токсического действия на организм лабораторных животных и не вызывает их гибели.
Поведение экспериментальных мышей в период наблюдения не отличалось от поведения животных контрольной группы, мыши были активны и проявляли любопытство. За весь период наблюдения у мышей не было выявлено угнетения двигательной активности, нарушение ритма дыхания, расстройств пищеварения, а также местно-раздражающего действия при макроскопическом исследовании участков контакта с полимерным гелем. Шерстяной покров в опытных группах был опрятным, блестящим.
Таким образом, к наибольшей токсичности с летальным исходом приводит только внутрибрюшинное введение экспериментальным животным водной дисперсии КБМ. Снижение острой токсичности исходного КБМ можно достичь предварительным облучением порошка КБМ.
В заключение можно выделить следующие токсикологические особенности γ-облучения редкосшитой полиакриловой кислоты и гелей на ее основе:
- при внутрибрюшинном способе введения водная дисперсия порошка КБМ, облученного дозами радиации 500 и 1000 кГр, проявляет меньший токсический эффект, чем дисперсия необлученного КБМ. Анализ полученных данных показывает, что водные дисперсии облученного и необлученного КБМ являются умеренно токсичными и относятся к 3 классу опасности для внутрибрюшинного способа введения (ГОСТ 12.1.007-76);
- облученные и необлученные γ-радиацией гелевые композиции на основе КБМ не оказывают значимого токсического действия на организм лабораторных животных и не вызывают их гибели при накожном и внутрижелудочном введении. В данном опыте наибольший привес наблюдается у подопытных животных, употреблявших необлученный гель без наночастиц, поскольку наличие в составе гелей 0.07 мас. % УНТ или 0.10 мас. % фуллерена уменьшает динамику набора веса подопытными животными;
- морфологическая картина внутренних органов, обнаруженная при патологоанатомическом вскрытии всех экспериментальных животных, употреблявших гели не отличалась от таковой, наблюдаемой у контрольных животных. Следовательно, подобные гелевые композиции могут быть использованы в качестве носителей радиоактивных элементов для лечения кожных заболеваний, а также для адресной доставки лекарственных средств.
Источники финансирования
Работа выполнена по Государственному заданию АААА-А19-119041090087-4 и АААА-А19- 119071890015-6.
Об авторах
У. Ю. Аллаярова
Федеральный исследовательский центр проблем химической физики и медицинской химии Российской академии наук
Email: sadush@icp.ac.ru
Россия, 142432, Черноголовка, Московская обл.
Е. Н. Климанова
Федеральный исследовательский центр проблем химической физики и медицинской химии Российской академии наук
Email: sadush@icp.ac.ru
Россия, 142432, Черноголовка, Московская обл.
Т. Е. Сашенкова
Федеральный исследовательский центр проблем химической физики и медицинской химии Российской академии наук
Email: sadush@icp.ac.ru
Россия, 142432, Черноголовка, Московская обл.
В. А. Абрамов
Казанский национальный исследовательский технологический университет
Email: sadush@icp.ac.ru
Россия, 420015, Казань
А. Р. Гатауллин
Казанский национальный исследовательский технологический университет
Email: sadush@icp.ac.ru
Россия, 420015, Казань
С. А. Богданова
Казанский национальный исследовательский технологический университет
Email: sadush@icp.ac.ru
Россия, 420015, Казань
C. В. Демидов
Федеральный исследовательский центр проблем химической физики и медицинской химии Российской академии наук
Email: sadush@icp.ac.ru
Россия, 142432, Черноголовка, Московская обл.
Д. В. Мищенко
Федеральный исследовательский центр проблем химической физики и медицинской химии Российской академии наук; Московский государственный университет им. М.В. Ломоносова
Email: sadush@icp.ac.ru
Россия, 142432, Черноголовка, Московская обл.; 119991, Москва
С. Р. Аллаяров
Федеральный исследовательский центр проблем химической физики и медицинской химии Российской академии наук
Автор, ответственный за переписку.
Email: sadush@icp.ac.ru
Россия, 142432, Черноголовка, Московская обл.
Список литературы
- Анурова М.Н., Бахрушина Е.О., Демина Н.Б. // Химико-фармацевтический журнал. 2015. № 9. C. 39.
- Шаймухаметова И.Ф., Шигабиева Ю.А., Богданова С.А., Аллаяров С.Р. // Химия высоких энергий. 2020. Т. 54. С. 122.
- Allayarov S.R., Shaimukhametova I.F., Confer M.P., Bogdanova S.A., Shigabieva Y.A., Dixon D.A. // Polymer Degradation and Stability. 2021. V. 191. P. 109697.
- Абрамов В.А., Гатауллин А.Р., Богданова С.А., Демидов С.В., Кемалов Р.А., Аллаяров С.Р. // Химия высоких энергий. 2023. Т. 57. С. 460.
- Saez V., Khoury H.J., da Silva M.I.B., Mansur C.R.E., Santos-Oliveira R. / Radiat. Phys. Chem. 2018. V. 145. P. 19.
- Silindir M., Özer Y. // PDA J. Pharm Sci. and Tech. 2012. V. 66. P. 184.
- Sevil U.A., Güven O. // Radiat. Phys. Chem. 1995. V. 46. P. 875.
- Fintzou A.T., Badeka A.V., Kontominas M.G., Riganakos K.A. // Radiat. Phys. Chem. 2006. V. 75. P. 87–97.
- Darboir J.C., Pavis F., Laizier J. // Ann. Pharm. Er. 1985. V. 43. P. 241.
- Миронов А.Н., Сакаева И.В., Саканян Е.И., Бунятян Н.Д., Ковалева Е.Л., Митькина Л.И., Шемерянкина Т.Б., Яшкир / Ведомости Научного центра экспертизы средств медицинского применения. 2012. № 3. С. 56.
- Миронов А.Н., Сакаева И.В., Саканян Е.И., Бунятян Н.Д., Ковалева Е.Л., Митькина Л.И., Шемерянкина Т.Б., Яшкир / Ведомости Научного центра экспертизы средств медицинского применения. 2012. № 3. С. 56.
- Аллаяров С.Р., Аллаярова У.Ю., Климанова Е.Н., Демидов С.В., Сашенкова Т.Е., Блохина С.В., Мищенко Д.В. // Химия высоких энергий. 2023. T. 57. С. 125.
Дополнительные файлы







