Kinetics of Paracetamol Degradation in Aqueous Solution by the Action of Dielectric Barrier Discharge in Oxygen
- Authors: Ignatiev A.A.1, Gushchin A.A.1, Grinevich V.I.1, Kvitkova E.Y.1, Izvekova A.A.1, Rybkin V.V.1
-
Affiliations:
- Ivanovo State University of Chemistry and Technology
- Issue: Vol 57, No 6 (2023)
- Pages: 485-489
- Section: PLASMA CHEMISTRY
- URL: https://bakhtiniada.ru/0023-1193/article/view/232814
- DOI: https://doi.org/10.31857/S0023119323060049
- EDN: https://elibrary.ru/QPVZQP
- ID: 232814
Cite item
Full Text
Abstract
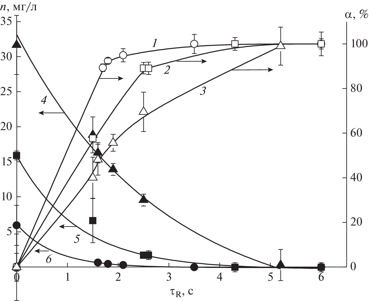
The kinetics of decomposition of paracetamol in its aqueous solution by the action of atmosphericpressure dielectric barrier discharge (DBD) in oxygen has been studied. Degradation rate constants, energy yields, and degrees of degradation have been determined for various discharge powers and paracetamol concentrations. It is shown that the degradation products are carboxylic acids, aldehydes, CO, and CO2.
Keywords
About the authors
A. A. Ignatiev
Ivanovo State University of Chemistry and Technology
Email: rybkin@isuct.ru
Ivanovo, 153000 Russia
A. A. Gushchin
Ivanovo State University of Chemistry and Technology
Email: rybkin@isuct.ru
Ivanovo, 153000 Russia
V. I. Grinevich
Ivanovo State University of Chemistry and Technology
Email: rybkin@isuct.ru
Ivanovo, 153000 Russia
E. Yu. Kvitkova
Ivanovo State University of Chemistry and Technology
Email: rybkin@isuct.ru
Ivanovo, 153000 Russia
A. A. Izvekova
Ivanovo State University of Chemistry and Technology
Email: rybkin@isuct.ru
Ivanovo, 153000 Russia
V. V. Rybkin
Ivanovo State University of Chemistry and Technology
Author for correspondence.
Email: rybkin@isuct.ru
Ivanovo, 153000 Russia
References
- Antunes S.C., Freitas R., Figueira E., Gonçalves F., Nunes B. // Environ. Sci. Pollut. Res. 2013. V. 20. P. 6658.
- López Zavala M.A., Estrada E.E. // Water. 2016. V. 8. P. 383.
- Roberts P.H., Thomas K.V. // Sci. Total Environ. 2006. V. 356. P. 143.
- Blair B.D., Crago J.P., Hedman C.J., Treguer R.J.F., Magruder C., Royer L.S., Klaper R.D. // Sci. Total Environ. 2013. V. 444. P. 515.
- Yu Y., Wu L., Chang A.C. Sci. // Total Environ. 2013. V. 442. P. 310.
- Ansari M., Moussavi G., Ehrampoosh M.H., Giannakis S. // J. Water Process Eng. 2023. V. 51. P. 103371.
- Magureanu M., Bilea F., Bradu C., Hong D. // J. Hazard. Mater. 2021. V. 417. P. 125481.
- Grinevich V.I., Kvitkova E.Y., Plastinina N.A., Rybkin V.V. // Plasma Chem. Plasma Process. 2011. V. 31. № 4. P. 573.
- Bird R.B., Stewart W.E., Lightfoot E.N. Transport phenomena. New York, Wiley. 1960. 895 p.
- Baloul Y., Aubry O., Rabat H., Colas C., Maunit B., Hong D. // Eur. Phys. J. Appl. Phys. 2017. V. 79. № 3. P. 30802.
- Лурье Ю.Ю. Аналитическая химия промышленных сточных вод. М. : Химия. 1984, 448 с.
- ГОСТ Р 55227-2012. Вода. Методы определения содержания формальдегида.
- Wang Q.H., Li J.Y., Liu Y., Lin L., Ri G.L., Zhu J.P., He L., Zhong L.L. // Talanta. 2017. V. 165. P. 709.
- Gushchin A.A., Grinevich V.I., Shulyk V.Ya., Kvitkova E.Yu, Rybkin V.V. // Plasma Chem. Plasma Process. 2018. V. 38. № 1. P. 123.
- Bobkova E.S., Rybkin V.V. // Plasma Chem. Plasma Process. 2015. V. 35. № 1. P. 133.
- Bobkova E.S., Khodor Ya.V., Kornilova O.N., Rybkin V.V. // High Temp. 2014. V. 52. №. 4. P. 511.
- Xiao-Y. P., Xiu-Ch. Q. // Ecotoxicol. Environ. Saf. 2019. V. 180. P. 610.
- Zhang G., Sun Y., Zhang C., Yu Z. // J. Hazard. Mater. 2017. V. 323. P. 719.
- Loegager T., Sehested K. // J. Phys. Chem. 1993. V. 97. № 39. P. 10047.
- Goldstein S., Squadrito G.L., Pryor W.A., Czapski G. // Free Radic. Biol. Med. 1996. V. 21. № 7. P. 965.
- Van Gils C.A.J., Hofmann S., Boekema B.K.H.L., Brandenburg R., Bruggeman P.J. // J. Phys. D: Appl. Phys. 2013. V. 46 № 17. P. 175203.
- Daito S., Tochikubo F., Watanabe T. // Jap. J. Appl. Phys. 2000. 39 № 8R. P. 4914.
- Shutov D.A., Batova N.A., Smirnova K.V., Ivanov A.N., Rybkin V.V. // J. Phys. D: Appl. Phys. 2022. V. 55. № 34. P. 345206.
- Slamani S., Abdelmalek F., Ghezzar M.R., Addou A. // J. Photochem. Photobiol. A. 2018. V. 359. P. 1.
- Bobkova E.S., Krasnov D.S., Sungurova A.V., Rybkin V.V., Choi H.-S. // Korean J. Chem. Eng. 2016. V. 33. № 5. P. 1620.
- Бобкова Е.С., Краснов Д.С., Сунгурова А.В., Шишкина А.И., Шикова Т.Г. // Химия высоких энергий. 2013. Т. 47. № 2. С. 142.
Supplementary files






