Радиационно-индуцированная модификация спектров отражения пленок диазохинонноволачного фоторезиста при имплантации ионов Ag+
- Авторы: Харченко А.А.1, Бринкевич Д.И.2, Бринкевич С.Д.2,3, Просолович В.С.2
-
Учреждения:
- Научно-исследовательское учреждение “Институт ядерных проблем” Белорусского государственного университета (НИИ ЯП БГУ)
- Белорусский государственный университет
- ООО “Мой медицинский центр – высокие технологии”
- Выпуск: Том 57, № 6 (2023)
- Страницы: 465-471
- Раздел: РАДИАЦИОННАЯ ХИМИЯ
- URL: https://bakhtiniada.ru/0023-1193/article/view/232800
- DOI: https://doi.org/10.31857/S0023119323060062
- EDN: https://elibrary.ru/RFIRPX
- ID: 232800
Цитировать
Полный текст
Аннотация
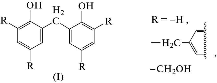
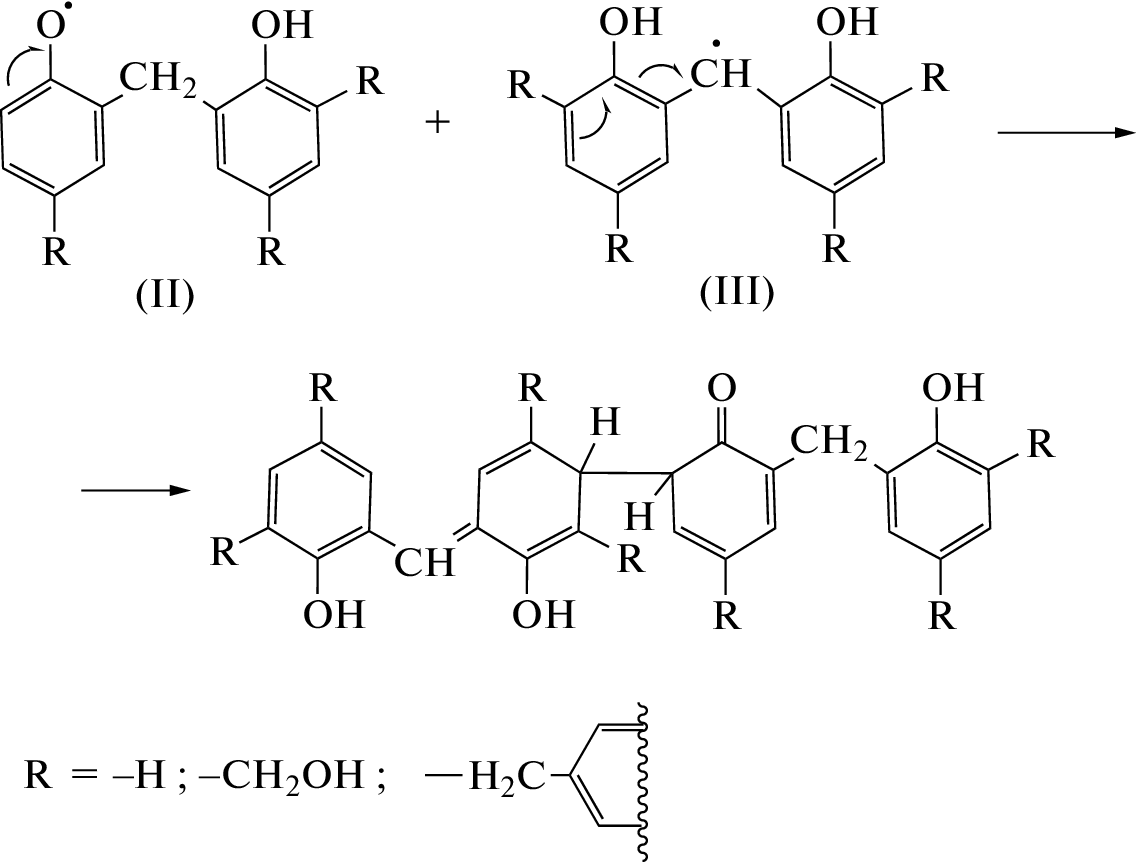
Методом измерения спектров отражения исследованы имплантированные ионами Ag+ пленки позитивного диазохинонноволачного фоторезиста ФП9120 толщиной 1.5 мкм, нанесенные на поверхность пластин кремния марки КДБ-10 (111) методом центрифугирования. Показано, что ионная имплантация приводит к уменьшению показателя преломления фоторезиста, обусловленному радиационным сшиванием молекул новолачной смолы, а также снижением плотности ρ и молекулярной рефракции RM фоторезиста. Установлено, что при увеличении дозы имплантации Ag+ в области непрозрачности фоторезистивной пленки наблюдается рост коэффициента отражения. Обнаруженные изменения оптических свойств пленок в условиях ионной имплантации объяснены с учетом особенностей радиационно-химических процессов в фенол-формальдегидном фоторезисте.
Об авторах
А. А. Харченко
Научно-исследовательское учреждение “Институт ядерных проблем” Белорусского государственного университета (НИИ ЯП БГУ)
Email: Brinkevich@bsu.by
Республика Беларусь, 220006, Минск, ул. Бобруйская, 11
Д. И. Бринкевич
Белорусский государственный университет
Email: Brinkevich@bsu.by
Беларусь, 220050, Минск, пр. Независимости, 4
С. Д. Бринкевич
Белорусский государственный университет; ООО “Мой медицинский центр – высокие технологии”
Email: Brinkevich@bsu.by
Беларусь, 220050, Минск, пр. Независимости, 4; Россия, 188640, Ленинградская область, Всеволожск, Октябрьский пр., 122
В. С. Просолович
Белорусский государственный университет
Автор, ответственный за переписку.
Email: Brinkevich@bsu.by
Беларусь, 220050, Минск, пр. Независимости, 4
Список литературы
- Моро У. Микролитография. Принципы, методы, материалы. В 2-х ч. Ч. 2. М: Мир, 1990. 632 с. (Moreau W.M. Semiconductor lithography. Principles, practices and materials. N.Y., London: Plenum Press. 1988)
- Бринкевич С.Д., Бринкевич Д.И., Просолович В.С., Свердлов Р.Л. // Химия высоких энергий. 2021. Т. 55. № 1. С. 66–75. https://doi.org/10.31857/S0023119321010071
- Вабищевич С.А., Бринкевич С.Д., Вабищевич Н.В., Бринкевич Д.И., Просолович В.С. // Химия высоких энергий. 2021. Т. 55. № 6. С. 461–468. (Vabishche-vich S.A., Brinkevich S.D., Vabishchevich N.V., Brinkevich D.I., Prosolovich V.S. // High Energy Chemistry. 2021. V. 55. № 6. P. 495. https://doi.org/10.1134/S001814392106015110.1134/S0018143921060151)https://doi.org/10.31857/S0023119321060152
- Ganeev R.A., Ryasnyansky A.I., Stepanov A.L., Usmanov T. // Phys. Stat. Sol. 2003. M. B. 238. R5.
- Галяутдинов М.Ф., Нуждин В.И., Фаттахов Я.В., Фаррахов Б.Ф., Валеев В.Ф., Осин Ю.Н., Степанов А.Л. // Письма в ЖТФ. 2016. Т. 42. В. 4. С. 30.
- Головчук В.И., Харченко А.А., Бринкевич Д.И., Лукашевич М.Г., Вабищевич С.А., Вабищевич Н.В. // Вестник ПГУ. Серия С. Фундаментальные науки. 2017. № 2. С. 42.
- Бумай Ю.А., Бринкевич Д.И., Волобуев В.С., Долгих Н.И., Карпович И.А., Лукашевич М.Г. // Вестник БГУ. Сер. 1. Физика. Математика. Информатика. 2012. № 3. С. 41.
- Харченко А.А., Бринкевич Д.И., Бринкевич С.Д., Лукашевич М.Г., Оджаев В.Б. // Поверхность. Рентген., синхротр. и нейтрон. исслед. 2015. № 1. С. 94–99. (Kharchenko A.A., Brinkevich D.I., Brinkevich S.D., Lukashevich M.G., Odzhaev V.B. // J. of Surface Investigation. X-ray, synchrotron and neutron techniques. 2015. V. 9. № 1. P. 87. https://doi.org/10.1134/S102745101501010310.1134/S1027451015010103)https://doi.org/10.7868/S0207352815010102
- Бринкевич Д.И., Харченко А.А., Бринкевич С.Д., Лукашевич М.Г., Оджаев В.Б., Валеев В.Ф., Нуждин В.И., Хайбуллин Р.И. // Поверхность. Рентген., синхротр. и нейтрон. исслед. 2017. № 8. С. 25–30. (Brinkevich D.I., Kharchenko A.A., Brinkevich S.D., Lukashevich M.G., Odzhaev V.B., Valeev V.F., Nuzhdin V.I., Khaibullin R.I. // J. of Surface Investigation. X-ray, synchrotron and neutron techniques. 2017. V. 11. № 4. P. 801.)https://doi.org/10.1134/S1027451017040188
- Харченко А.А., Шварков С.Д., Колесник Е.А., Лукашевич М.Г. // Вестн. Белорус. гос. ун-та. Сер. 1, Физика. Математика. Информатика. 2012. № 2. С. 29.
- Харченко А.А., Бринкевич Д.И., Просолович В.С., Бринкевич С.Д., Оджаев В.Б., Янковский Ю.Н. // Поверхность. Рентген., синхротр. и нейтрон. исслед. 2020. № 6. С. 14–18. (Kharchenko A.A., Brinkevich D.I., Prosolovich V.S., Brinkevich S.D., Odzaev V.B., Yankovski Yu.N. // Journal of Surface Investigation: X-ray, Synchrotron and Neutron Techniques. 2020. V. 14. № 3. Р. 558. https://doi.org/10.1134/S102745102003028310.1134/S1027451020030283)https://doi.org/10.31857/S1028096020060084
- Бринкевич Д.И., Харченко А.А., Просолович В.С., Оджаев В.Б., Бринкевич С.Д., Янковский Ю.Н. // Микроэлектроника. 2019. Т. 48. № 3. С. 235–239. (Brinkevich D.I., Kharchenko A.A., Prosolovich V.S., Odzhaev V.B., Brinkevich S.D., Yankovski Yu.N. // Russian Microelectronics. 2019. V. 48. № 3. P. 197. https://doi.org/10.1134/S106373971902002110.1134/S1063739719020021)https://doi.org/10.1134/S0544126919020029
- Коншина Е.А. Аморфный гидрогенизированный углерод и применение его в оптических устройствах. СПб. СПбГУ ИТМО. 2010. 94 с.
- Бумай Ю.А., Долгих Н.И., Харченко А.А., Валеев В.Ф., Нуждин В.И., Хайбуллин Р.И., Нажим Ф.А., Лукашевич М.Г., Оджаев В.Б. // ЖПС. 2014. № 2. С. 192. (Bumai Yu.A., Dolgikh N.I., Kharchenko A.A., Valeev V.F., Nuzhdin V.I., Khaibullin R.I., Nagim F.A., Lukashevich M.G., Odzhaev V.B. // Journal of Applied Spectroscopy. 2014. V. 81. № 2. P. 188.)https://doi.org/10.1007/s10812-014-9908-7
- Аскадский А.А., Кондрашенко В.И. Компьютерное материаловедение полимеров. Том 1. Атомно-молекулярный уровень. М.: Научный мир, 1999. 544 с.
- Грасси Н., Скотт Дж. Деструкция и стабилизация полимеров. М.: Мир, 1988. 246 с. (Grassie N., Scott G. Polymer degradation and stabilisation. Cambridge University Press. 1985)
- Бринкевич Д.И., Бринкевич С.Д., Олешкевич А.Н., Просолович В.С., Оджаев В.Б. // Химия высоких энергий. 2020. Т. 54. № 2. С. 126. (Brinkevich D.I., Brinkevich S.D., Oleshkevich A.N., Prosolovich V.S., Odzhaev V.B. // High Energy Chemistry. 2020. V. 54. № 2. P. 115–122.https://doi.org/10.1134/S001814392002004610.1134/S0018143920020046)https://doi.org/10.31857/S0023119320020047
- Бринкевич С.Д., Гринюк Е.В., Бринкевич Д.И., Просолович В.С. // Химия высоких энергий. 2020. Т. 54. № 5. С. 377. (Brinkevich S.D., Grinyuk E.V., Brinkevich D.I., Prosolovich V.S. // High Energy Chemistry. 2020. V. 54. № 5. P. 342–351.)https://doi.org/10.1134/S001814392005004510.1134/S0018143920050045).https://doi.org/10.31857/S0023119320050046
- Бринкевич Д.И., Бринкевич С.Д., Просолович В.С. // Химия высоких энергий. 2022. Т. 56. № 4. С. 284. (Brinkevich D.I., Brinkevich S.D., Prosolovich V.S. Ion Implantation in Diazoquinone–Novolac Photoresist // High Energy Chemistry. 2022. V. 56. № 4. P. 270–276.) https://doi.org/10.1134/S001814392204005110.1134/S0018143922040051)https://doi.org/10.31857/S0023119322040052
- Бринкевич С.Д., Бринкевич Д.И., Просолович В.С., Ластовский С.Б., Петлицкий А.Н. // Журнал прикладной спектроскопии. 2020. Т. 87. № 6. С. 941. (Brinkevich S.D., Brinkevich D.I., Prosolovich V.S., Lastovskii S.B., Pyatlitski A.N. // Journal of Applied Spectroscopy. 2021. V. 87. № 6. P. 1072–1078.)https://doi.org/10.1007/s10812-021-01111-9
- Физико-химические свойства полупроводниковых веществ. Справочник. М.: Наука, 1979. 340 с.
Дополнительные файлы







