Mechanism of Interaction of Nitro Compounds with Olefins in Acetonitrile
- Authors: Plekhovich S.D.1, Zelentsov S.V.1, Grimova I.T.1
-
Affiliations:
- Lobachevsky State University of Nizhny Novgorod (National Research University)
- Issue: Vol 57, No 6 (2023)
- Pages: 443-448
- Section: ФОТОХИМИЯ
- URL: https://bakhtiniada.ru/0023-1193/article/view/232779
- DOI: https://doi.org/10.31857/S0023119323060141
- EDN: https://elibrary.ru/RVSKPQ
- ID: 232779
Cite item
Full Text
Abstract
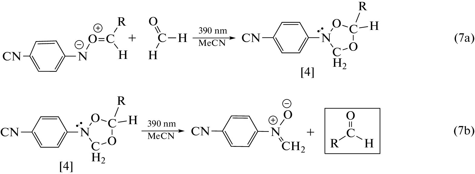
The interaction of 4-fluorostyrene with 4-CN-PhNO2 in the presence of various solvents has been simulated by quantum chemistry methods. The reaction mechanism and activation barriers of its stages are proposed. The software package Gaussian03 was used for calculations. The optimal geometric parameters of the structures under study were obtained by means of the DFT/WB97XD/DGDZVP2 methods, the TDSCF/DFT/WB97XD/DGDZVP2 and TD-SCF/DFT/PBEPBE/6-311g++(3d2f,3p2d) methods were used to calculate excited singlet and triplet states, and the IEFPCM model was employed to account for the solvent effects. The transition states were calculated by the TS method using the DFT/PBEPBE/6-311g++(3d2f,3p2d) method.
About the authors
S. D. Plekhovich
Lobachevsky State University of Nizhny Novgorod (National Research University)
Email: senypl@mail.ru
Nizhny Novgorod, 603950 Russia
S. V. Zelentsov
Lobachevsky State University of Nizhny Novgorod (National Research University)
Email: senypl@mail.ru
Nizhny Novgorod, 603950 Russia
I. T. Grimova
Lobachevsky State University of Nizhny Novgorod (National Research University)
Author for correspondence.
Email: senypl@mail.ru
Nizhny Novgorod, 603950 Russia
References
- Gaussian R.A., Frisch M.J., Trucks G.W., Schlegel H.B., Scuseria G.E., Robb M.A., Cheeseman J.R., Scalmani G., Barone V., Mennucci B., Petersson G.A. et al. // Gaussian. Inc., Wallingford CT. 2003.
- Buchi G., Ayer D. E. // J. Am. Chem. Soc. 1956. V. 78. № 3. P. 689.
- Plekovich S.D., Zelentsov S.V., Minasyan Y.V., Grimova I.T. // High Energy Chemistry. 2022. V. 56. № 1. P. 32.
- Wise E., Gogarnoiu E., Duke A., Paolillo J., Vacala T., Hussain W., Parasram M. // J. Am. Chem. Soc. 2022. V. 144. № 34. P. 15437.
- Talipov M.R., Khursan S.L., Safiullin R.L. // Russ. J. Phys. Chem. 2011. V. 85. p. 364.
- Ishikawa S., Tsuji S., Sawaki Y. // J. Amer. Chem. Soc. 1991. V. 113. p. 4282.
- Tang L., Fang C. // J. Phys. Chem. B. 2019. V. 123. № 23. p. 4915.
- Issa Y., Abdel-Latif S., El-Ansary A., Hassib H. // New J. Chem. 2021. V. 45. P. 1482.
- Wiley & Sons, Inc. SpectraBase; SpectraBase Compound ID=AZU8Yr4NC7o SpectraBase Spectrum ID=8nNbPlotVFS https://spectrabase.com/spectrum/8nNbPlotVFS (access 16.05.2023).
- Veeman W.S., van der Waals J.H. // Mol. Phys. 1970. V. 18. № 1. P. 63.
- Xiong J.Yi., Cheng Y.K., Li M, Chu G., Pu X., Xu T. // Scientific Reports. 2016. V. 6. P. 19364.
- Harley R., Tesla A.C. // J. Am. Chem. Soc. 1968. V. 90. p. 1949.
- Buchi G., Ayer D. E. // J. Am. Chem. Soc. 1956. V. 78. P. 689.
- Plekhovich S.D., Zelentsov S.V., Minasyan Y.V., Degtyarenko A.I. // High Energy Chemistry. 2018. V. 52. № 6. p. 469.
Supplementary files












