Радиолитическое инактивирование мутагенности Понсо 4R в водном растворе
- Авторы: Пономарев А.В.1, Холодкова Е.М.1, Зотова И.В.2,3, Шумега А.Р.2, Степченкова Е.И.2,3
-
Учреждения:
- Институт физической химии и электрохимии им. А.Н. Фрумкина РАН
- Санкт-Петербургский государственный университет
- Институт общей генетики им. Н.И. Вавилова РАН
- Выпуск: Том 57, № 5 (2023)
- Страницы: 415-418
- Раздел: РАДИАЦИОННАЯ ХИМИЯ
- URL: https://bakhtiniada.ru/0023-1193/article/view/140024
- DOI: https://doi.org/10.31857/S002311932305011X
- EDN: https://elibrary.ru/MZIVSK
- ID: 140024
Цитировать
Полный текст
Аннотация
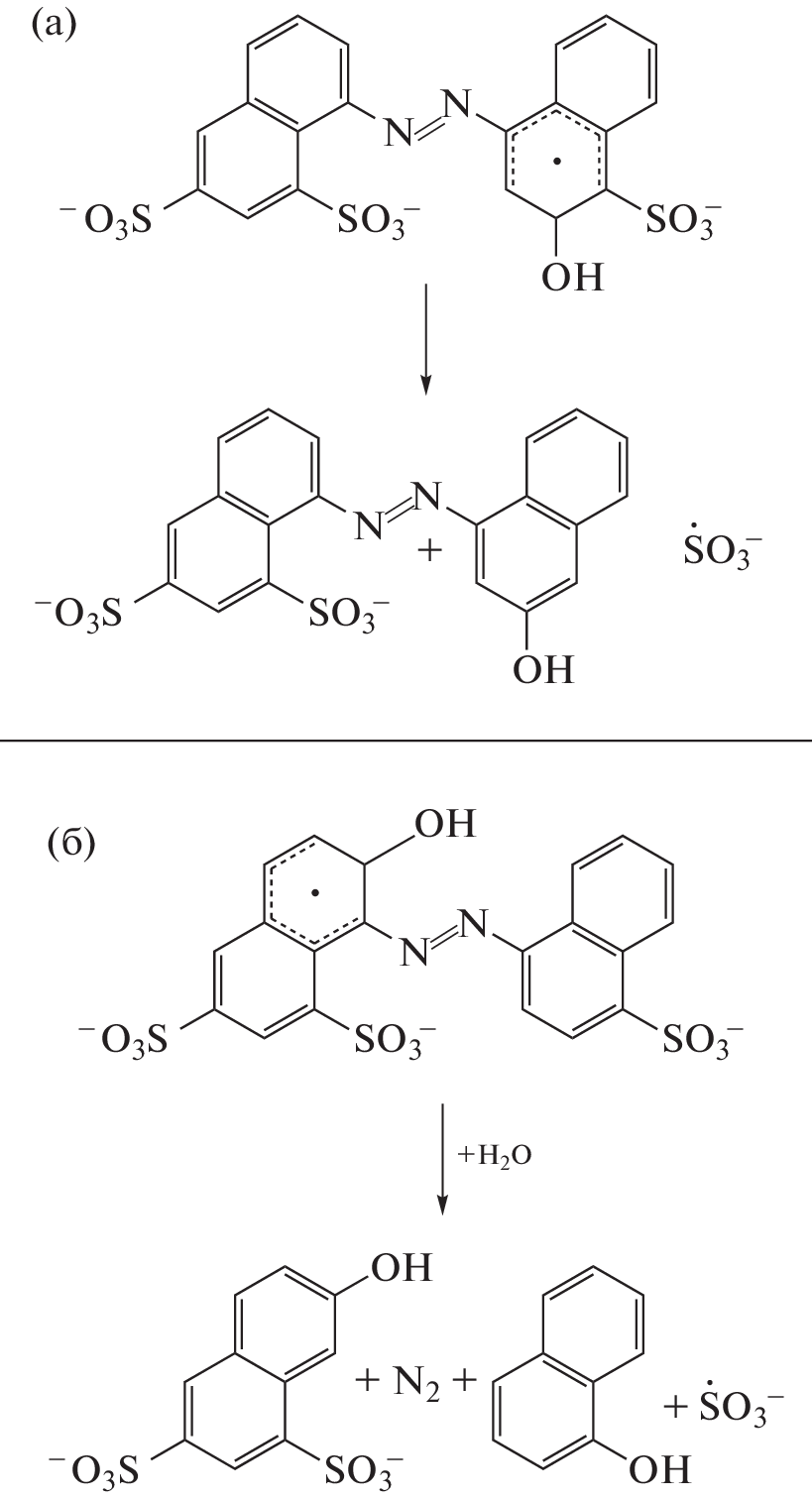
Электронно-лучевая обработка 0.02 г/дм3 водного раствора азокрасителя Понсо 4R при дозе 1.5 кГр на воздухе приводит к полному устранению цветности и генотоксичности. Ключевым радиолитическим процессом является присоединение ОН радикалов к системе сопряженных связей красителя (образование ОН-аддуктов), что приводит к отщеплению боковых групп с более низкой энергией связи.
Ключевые слова
Об авторах
А. В. Пономарев
Институт физической химии и электрохимии им. А.Н. Фрумкина РАН
Email: ponomarev@ipc.rssi.ru
Россия, 119071, Москва, Ленинский просп. 31
Е. М. Холодкова
Институт физической химии и электрохимии им. А.Н. Фрумкина РАН
Email: ponomarev@ipc.rssi.ru
Россия, 119071, Москва, Ленинский просп. 31
И. В. Зотова
Санкт-Петербургский государственный университет; Институт общей генетики им. Н.И. Вавилова РАН
Email: ponomarev@ipc.rssi.ru
Россия, 199034, Санкт-Петербург, Университетская наб., 7/9; Россия, 199034, Санкт-Петербург, Университетская наб., 7/9
А. Р. Шумега
Санкт-Петербургский государственный университет
Email: ponomarev@ipc.rssi.ru
Россия, 199034, Санкт-Петербург, Университетская наб., 7/9
Е. И. Степченкова
Санкт-Петербургский государственный университет; Институт общей генетики им. Н.И. Вавилова РАН
Автор, ответственный за переписку.
Email: ponomarev@ipc.rssi.ru
Россия, 199034, Санкт-Петербург, Университетская наб., 7/9; Россия, 199034, Санкт-Петербург, Университетская наб., 7/9
Список литературы
- Tkaczyk A., Mitrowska K., Posyniak A. // Sci. Total Environ. 2020. V. 717. P. 137222. https://doi.org/10.1016/j.scitotenv.2020.137222
- Rocha O.P., Cesila C.A., Christovam E.M., Barros S.B., Zanoni M.V., de Oliveira D.P. // Toxicology. 2017. V. 376. P. 113. https://doi.org/10.1016/j.tox.2016.04.002
- Yamjala K., Subramania Nainar M., Varma S.K., Ambore N. // Anal. Methods. 2016. V. 8. P. 5017. https://doi.org/10.1039/C6AY00716C
- Ames B.N., McCann J., Yamasaki E. // Mutat. Res. Mutagen. Relat. Subj. 1975. V. 31. P. 347. https://doi.org/10.1016/0165-1161(75)90046-1
- Mortelmans K., Zeiger E. // Mutat. Res. Mol. Mech. Mutagen. 2000. V. 455. P. 29. https://doi.org/10.1016/S0027-5107(00)00064-6
- Kholodkova E.M., Ponomarev A.V. // High Energy Chem. 2023. V. 57. P. 146. https://doi.org/10.1134/S0018143923020078
- Ponomarev A.V., Ershov B.G. // Environ. Sci. Technol. 2020. V. 54. P. 5331. https://doi.org/10.1021/acs.est.0c00545
- Traven V.F. // Frontier Orbitals and Properties of Organic Molecules (Ellis Horwood Series in Organic Chemistry), Mellor J. ed. Ellis Horwood Ltd, New York. 1992.
- Hunger K., Mischke P., Rieper W., Raue R., Kunde K., Engel A. // Azo Dyes. In Ullmann’s Encyclopedia of Industrial Chemistry; Wiley-VCH Verlag GmbH & Co. KGaA: Weinheim, Germany. 2000
- Kim Yuri, Ershov B.G., Ponomarev A.V. // High Energy Chem. 2020, V. 54(6). P. 462. https://doi.org/10.1134/S0018143920060089
Дополнительные файлы



