Моделирование кинетических процессов в газоаналитическом детекторе на основе плазменной электронной спектроскопии
- Авторы: Сайфутдинов А.И.1, Сысоев С.С.2, Нуриддинов Х.1, Валеева Д.Р.1, Сайко А.М.1
-
Учреждения:
- Казанский национальный исследовательский технический университет им. А.Н. Туполева-КАИ
- Санкт-Петербургский государственный университет
- Выпуск: Том 57, № 2 (2023)
- Страницы: 149-155
- Раздел: ПЛАЗМОХИМИЯ
- URL: https://bakhtiniada.ru/0023-1193/article/view/140006
- DOI: https://doi.org/10.31857/S0023119323020122
- EDN: https://elibrary.ru/NHHCKA
- ID: 140006
Цитировать
Полный текст
Аннотация
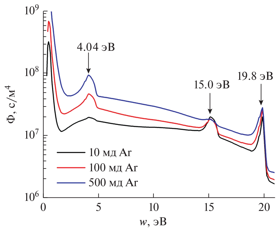
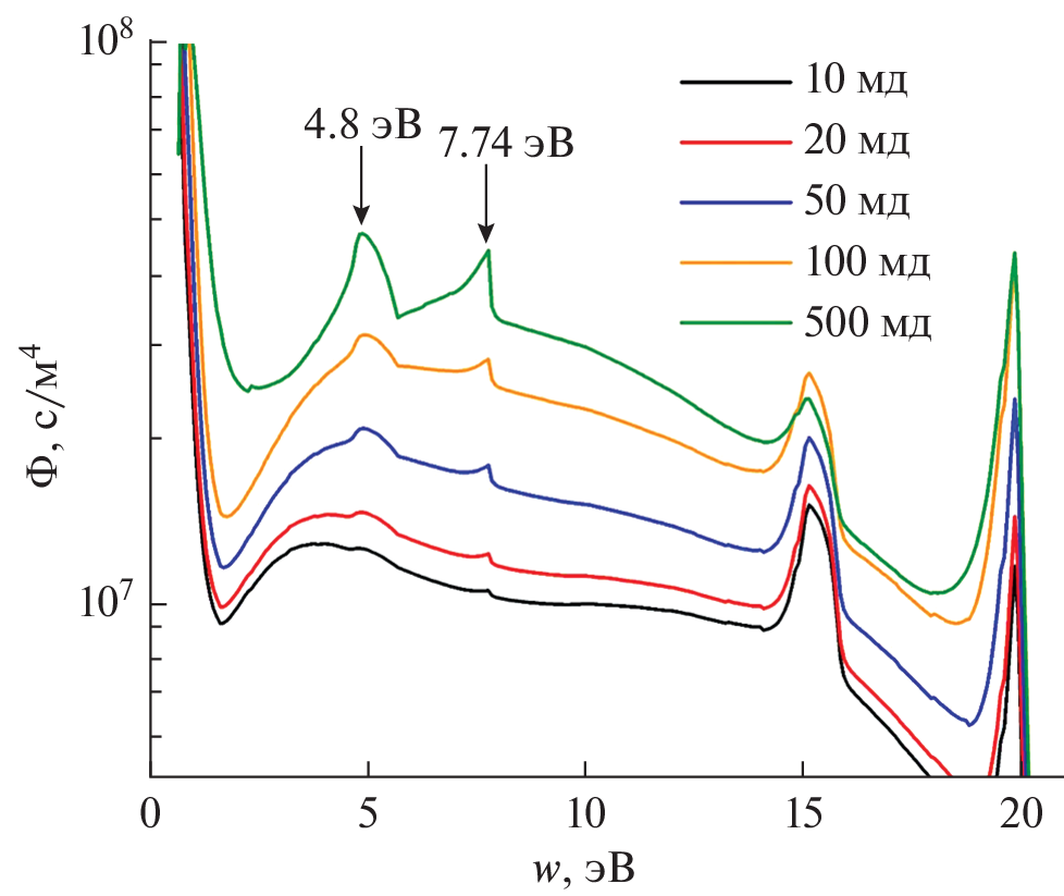
В работе на основе гибридной модели прикатодной плазмы (отрицательного свечения) короткого тлеющего разряда представлены результаты численных расчетов, описывающих процессы, протекающиe в новом разрабатываемом детекторе на основе плазменной электронной спектроскопии (ПЛЭС) для газовой хроматографии. Продемонстрировано формирование узких пиков – спектров быстрых электронов, рожденных в результате реакций Пеннинговской ионизации от атомов и молекул примеси в гелии на примере: Ar, N2, O2, CO2.
Об авторах
А. И. Сайфутдинов
Казанский национальный исследовательский технический университет им. А.Н. Туполева-КАИ
Email: as.uav@bk.ru
Россия, Казань
С. С. Сысоев
Санкт-Петербургский государственный университет
Email: as.uav@bk.ru
Россия, Санкт-Петербург
Х. Нуриддинов
Казанский национальный исследовательский технический университет им. А.Н. Туполева-КАИ
Email: as.uav@bk.ru
Россия, Казань
Д. Р. Валеева
Казанский национальный исследовательский технический университет им. А.Н. Туполева-КАИ
Email: as.uav@bk.ru
Россия, Казань
А. М. Сайко
Казанский национальный исследовательский технический университет им. А.Н. Туполева-КАИ
Автор, ответственный за переписку.
Email: as.uav@bk.ru
Россия, Казань
Список литературы
- Kumar A., Lin P. A., Xue A., Hao B., Yap K.Y. and Sankaran R.M. // Nature commun. 2013. 4. P. 2618.
- Kortshagen U.R., Sankaran R.M., Pereira R.N. et al. // Chem. Rev. 2016. V. 116. P. 11061–11127.
- Lin L and Wang Q // Plasma Chem. Plasma Process. 2015. V. 35. P. 925–962.
- Wang P.Y., Chen W.G., Wang J.X., Zhou F., Hu J., Zhang Z.X., and Wan F. // Anal. Chem. 2021. V. 93. P. 15474–15481.
- Gouma P., Prasad A., Stanacevic S.A. // J. Breath Res. 2011. V. 5. P. 037110.
- Čermák, V. // The Journal of Chemical Physics. 1966. V. 44. № 10. P. 3781–3786.
- Cermák V., Herman Z. // Chemical Physics Letters. 1968. V. 2. № 6. P. 359–362.
- Schmeltekopf A.L., Fehsenfeld F.C. // The Journal of Chemical Physics. 1970. V. 53. № 8. P. 3173–3177.
- Čermák V., Ozenne J.B. // International Journal of Mass Spectrometry and Ion Physics. 1971. 7(5). P. 399–413.
- Cermak V. // J . Electron. Spectr. and Relat. Phenomena. 1976. V. 9. P. 419.
- Demidov V.I., Kolokolov N.B. // Soviet Physics Journal 1987. 30(2). 97–99. https://doi.org/10.1007/bf00898142
- Kolokolov N.B., Kudrjavtsev A.A., Blagoev A.B. // Physica Scripta. 1994. 50(4). 371–402.
- Смирнов Б.М. // УФН. 1981. V. 133. № 4. P. 569–616.
- Демидов В.И., Колоколов Н.Б., Кудрявцев А.А., Зондовые методы исследования низкотемпературной плазмы // Энергоатомиздат, 1996.
- Кудрявцев А.А., Чирцов А.С., Цыганов А.Б. Способ определения состава газовых смесей и ионизационный детектор для анализа примесей в газах. 2011 – Патент на изобретения РФ № 2422812.
- Ivanov Yu.A., Lebedev Yu.A., Polak L.S. Metody kontaktnoi diagnostiki v neravnovesnoi plazmokhimii (Contact Diagnostics Methods for Non-Equilibrium Plasma Chemistry), M.: Nauka, 1981.
- Chen F.F. // Langmuir Probe Analysis for High Density Plasmas, LTP-006, Los Angeles, CA: Univ. of California, 2000.
- Rudenko K.V., Myakon’kikh A.V., Orlikovsky A.A. // Russ. Microelectron. 2007. V. 36. № 3. P. 179–192.
- Impedans Langmuir Probe Measurement System, Exploitation Manual. Accessed August 26, 2016.
- Saifutdinov A.I., Sysoev S.S. // Instrum. Exp. Tech. 2022. V. 65. P. 75–79.
- Kudryavtsev A., Pramatarov P., Stefanova M., Khromov N. // JINST 7. 2012. P. 07002.
- Stefanova M., Pramatarov P., Kudryavtsev A., Peyeva R. // J. Phys.: Conf. Ser. 2014 V. 514. P. 012052.
- Kudryavtsev A.A., Stefanova M.S., Pramatarov P. // J. Appl. Phys. 2015. V. 117. P. 133303.
- Kudryavtsev A.A., Stefanova M.S., Pramatarov P.M. // Phys. Plasmas. 2015. V. 22. P. 103513.
- Yuan C.X., Kudryavtsev A.A., Saifutdinov A.I. et al. // Phys. Plasmas. 2018. V. 25. P. 104501.
- Kudryavtsev A.A., Saifutdinov A.I., Stefanova M.S. et al. // Physics of Plasmas. 2017. V. 24. № 5. P. 054507.
- Zhou C., Yao J.F., Saifutdinov A.I. et al. // Plasma Sources Sci. Technol. 2021. 30. 117001.
- Yuan C., Kudryavtsev A., Saifutdinov A. et al. // Plasma Sources Science and Technology. 2019. 28. 067001.
- Saifutdinov A.I., Sysoev S.S. // Plasma Sources Sci. Technol. 2021. V. 30. 017001.
- Zhou Ch., Yao J., Saifutdinov A. et al. // Plasma Sources Science and Technology. 2022. V. 31. 107001.
- Кудрявцев А.А., Смирнов А.С., Цендин Л.Д. // Физика тлеющего разряда, СПб.: Лань, 2010, 512 с.
- Chai Y., Yao J., Bogdanov E.A., Kudryavtsev A.A., Yuan Ch., Zhou Zh. // Plasma Sources Sci. Technol. 2021. V. 30. P. 095006.
- Alves L.L., Gousset G., Ferreira C.M. // Physical Review E. 1997. V. 55(1). P. 890–906.
- Zobnin A.V., Usachev A.D., Petrov O.F., Fortov V.E. // Phys. Plasmas. 2014. V. 21. P. 113503.
- Phelps database, private communication, www.lxcat.net, retrieved on August 15, 2021.
- IST-Lisbon database, private communication, www.lxcat.net, retrieved on August 15, 2021.
Дополнительные файлы








