High-Spin Photolysis Products of 1,3,5-Triazido-2,4,6-trichlorobenzene in a Frozen 2-Methyltetrahydrofuran Solution
- Authors: Chapyshev S.V.1, Korchagin D.V.1
-
Affiliations:
- Federal Research Center for Problems of Chemical Physics and Medicinal Chemistry, Russian Academy of Sciences
- Issue: Vol 57, No 4 (2023)
- Pages: 276-281
- Section: ФОТОХИМИЯ
- URL: https://bakhtiniada.ru/0023-1193/article/view/139991
- DOI: https://doi.org/10.31857/S002311932304006X
- EDN: https://elibrary.ru/QNEWZZ
- ID: 139991
Cite item
Full Text
Abstract
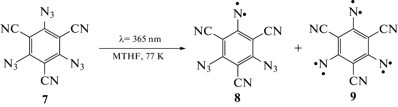
High-spin products of photolysis of 1,3,5-triazido-2,4,6-trichlorobenzene in a 2-methyltetrahydrofuran solution frozen at 6 K has been studied using EPR spectroscopy in combination with quantumchemical calculations. It has been found that the photolysis of this triazide leads to the formation of a mixture of triplet 1,3-diazido-2,4,6-trichlorophenyl-5-nitrene, quintet 1-azido-2,4,6-trichlorophenyl-3,5-dinitrene, and septet 2,4,6-trichlorophenyl-1,3,5-trinitrene. The solvent effect on the EPR spectra and the magnetic
characteristics of nitrenes has been studied.
About the authors
S. V. Chapyshev
Federal Research Center for Problems of Chemical Physics and Medicinal Chemistry, Russian Academy of Sciences
Email: chap@icp.ac.ru
Chernogolovka, Moscow oblast, 142432 Russa
D. V. Korchagin
Federal Research Center for Problems of Chemical Physics and Medicinal Chemistry, Russian Academy of Sciences
Author for correspondence.
Email: chap@icp.ac.ru
Chernogolovka, Moscow oblast, 142432 Russa
References
- Чапышев С.В., Корчагин Д.В., Мисочко Е.Я. // Усп. Химии. 2021. Т. 90. С.39.
- Chapyshev S.V., Mendez-Vega E., Sander W. // Chem. Eur. J. 2021. V. 27. P. 1258.
- Misochko E.Ya., Akimov A.V., Masitov A.A. et al. // J. Chem. Phys. 2013. V. 138. № 204317.
- Mendez-Vega E., Mieres-Perez J., Chapyshev S.V. et al. // Angew. Chem. Int. Ed. 2019. V. 58. P. 12994.
- Chapyshev S.V., Korchagin D.V., Costa P. et al. // Magn. Reson. Chem. 2022. V. 60. P. 829.
- Chapyshev S.V., Korchagin D.V., Grote D. et al. // Magn. Reson. Chem. 2019. V. 57. P. 472.
- Akimov A.V., Masitov A.A., Korchagin D.V. et al. // J. Chem. Phys. 2015. V. 143. № 084313.
- Chapyshev S.V., Grote D., Finke C. et al. // J. Org. Chem. 2008. V. 73. P. 7045.
- Misochko E.Ya., Akimov A.V., Chapyshev S.V. // J. Chem. Phys. 2008. V. 129. № 174510.
- Chapyshev S.V., Walton R., Sanborn J.A. et al. // J. Am. Chem. Soc. 2000. V. 122. P. 1580.
- Chapyshev S.V., Chernyak A.V. // J. Fluorine Chem. 2013. V. 156. P. 303.
- Stoll S., Schweiger A. // J. Magn. Reson. 2006. V. 178. P. 42.
- Neese F. // Comput. Mol. Sci. 2012. V. 2. P. 73.
- Misochko E.Ya., Korchagin D.V., Bozhenko K.V. et al. // J. Chem. Phys. 2010. V. 133. № 064101.
- Marenich A.V., Cramer C.J., Truhlar D.G. // J. Chem. Phys. B. 2009. V. 113. P. 6378.
- Chapyshev S.V., Misochko E.Ya., Akimov A.V. et al. // J. Org. Chem. 2009. V. 74. P. 7238.
- Чапышев С.В. // Изв. АН. Сер. хим. 2006. С. 1085.
- Koto T., Sugisaki K., Shiomi D. et al. // Appl. Magn. Reson. 2010. V. 37. P. 703.
- Chapyshev S.V., Korchagin D.V., Budyka M.F. et al. // J. Phys. Chem. A. 2011. V. 115. P. 8419.
- Chapyshev S.V., Korchagin D.V., Budyka M.F. et al. // ChemPhysChem. 2012. V. 13. P. 2721.
- Wasserman E., Schueller K., Yager W.A. // Chem. Phys. Lett. 1968. V. 2. P. 259.
- Weltner W.Jr. Magnetic Atoms and Molecules, New York, Dover Publications, 1989.
Supplementary files








