Испарение атомов и молекул углерода в слаботочном дуговом разряде с графитовыми электродами в атмосфере гелия
- Authors: Saifutdinov A.I.1, Sorokina A.R.1, 2, 2, 2
-
Affiliations:
- Tupolev National Research Technical University—KAI
- Казанский национальный исследовательский технический университет им. А.Н. Туполева-КАИ
- Issue: Vol 57, No 1 (2023)
- Pages: 39-48
- Section: PLASMA CHEMISTRY
- URL: https://bakhtiniada.ru/0023-1193/article/view/139989
- DOI: https://doi.org/10.31857/S0023119322060171
- EDN: https://elibrary.ru/DDHCAS
- ID: 139989
Cite item
Full Text
Abstract
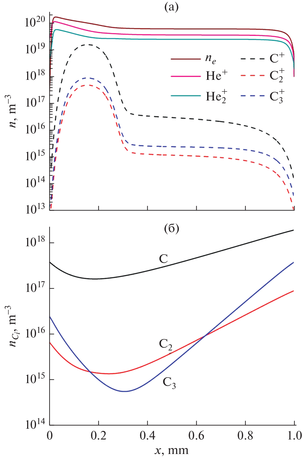
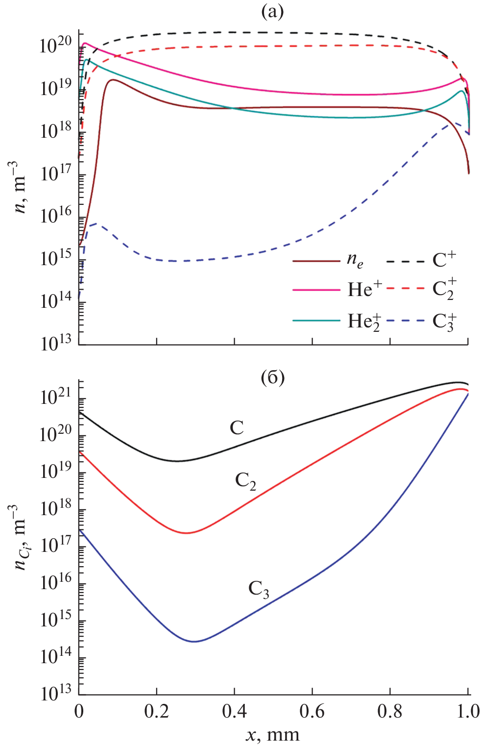
В работе в рамках единой модели слаботочного разряда постоянного тока, описывающей процессы, протекающие в газоразрядном промежутке и в электродах, проведены численные расчеты по исследованию испарения атомов и молекул углерода с графитовых электродов в неравновесную плазму дугового разряда в гелии. Для различных значений плотности разрядного тока представлены распределения атомарного и молекулярного углерода и их ионов.
About the authors
A. I. Saifutdinov
Tupolev National Research Technical University—KAI
Author for correspondence.
Email: as.uav@bk.ru
Kazan, Russia
A. R. Sorokina
Tupolev National Research Technical University—KAI
Email: as.uav@bk.ru
Kazan, Russia
Казанский национальный исследовательский технический университет им. А.Н. Туполева-КАИ
Email: as.uav@bk.ru
Россия, Казань
Казанский национальный исследовательский технический университет им. А.Н. Туполева-КАИ
Email: as.uav@bk.ru
Россия, Казань
Казанский национальный исследовательский технический университет им. А.Н. Туполева-КАИ
Email: as.uav@bk.ru
Россия, Казань
References
- Iijima S. // Nature. 1991. 354. 56–58 https://doi.org/10.1038/354056a0
- Ray H. Baughman, Anvar A. Zakhidov, Walt A de Heer // Science. 2002. Aug 2;297(5582): 787-92. https://doi.org/10.1126/science.1060928
- Journet C., Maser W., Bernier P. et al. // Nature. 1997. 388. 756–758. https://doi.org/10.1038/41972
- Ng J., Raitses Y. // Journal of Applied Physics. 2015. 117. 063303. https://doi.org/10.1063/1.4906784
- Rodney Andrews, David Jacques, Dali Qian, Terry Rantell // Acc Chem Res. 2002. Dec; 35(12): 1008-17. https://doi.org/10.1021/ar010151m
- Antisari M.V., Marazzi R., Krsmanovic R. // Carbon. 41. 2393–401 https://doi.org/10.1016/S0008-6223(03)00297-5
- Timerkaev B.A., Kaleeva A.A., Timerkaeva D.B., Saifutdinov A.I. // High Energy Chemistry. 2019. V. 53. № 5. P. 390–395. https://doi.org/10.1134/S0018143919050138
- Kumar A., Lin P.A., Xue A., Hao B., Yap Y.Kh., Sankaran R.M. // Nature Communications. 2013. 4. Article number: 2618. https://doi.org/10.1038/ncomms3618
- Ostrikov K., Murphy B.J. // Phys. D. Appl. Phys. 2007. 40 2223–41. https://doi.org/10.1088/0022-3727/40/8/S01
- Shavelkina M.B., Ivanov P.P., Amirov R.K. et al. // High. Energy Chem. 2021. 55. 531–536. https://doi.org/10.1134/S001814392106014X
- Shavelkina M.B., Ivanov P.P., Amirov R.K. et al. // Plasma Phys. Rep. 2021. 47. 1014–1020. https://doi.org/10.1134/S1063780X21100093
- Shavelkina M.B., Ivanov P.P., Bocharov A.N. et al. // Plasma Chem Plasma Process. 2021. 41. 171–189. https://doi.org/10.1007/s11090-020-10133-8
- Lebedev Y.A., Averin K.A., Borisov R.S. et al. // High Energy Chem. 2018. 52. 324–329. https://doi.org/10.1134/S0018143918040100
- Lebedev Y.A., Tatarinov A.V., Epstein I.L. // Plasma Chem Plasma Process. 2019. 39. 787–808. https://doi.org/10.1007/s11090-019-09975-8
- Lebedev Y.A. // Polymers. 2021. 13(11). 1678. https://doi.org/10.3390/polym13111678
- Saifutdinov A.I., Fairushin I.I., Kashapov N.F. // JETP Letters. 2016. 104. 180. https://doi.org/10.1134/S0021364016150145
- Baeva M., Boretskij V.F., Gonzalez D. et all. // Journal of Physics D: Applied Physic. 2021. 54(2). 025203. https://doi.org/10.1088/1361-6463/abba5d
- Saifutdinov A.I., Timerkaev B.A., Saifutdinova A.A. // JETP Letters. 2020. 112 (7). P. 405–412. https://doi.org/10.1134/S0021364020190091
- Saifutdinov A.I. // Journal of Applied Physics. 2021. 129 (9). № 093302. https://doi.org/10.1063/5.0033372
- Wang W., Rong M., Murphy A.B., Wu Y., Spencer J.W., Yan J.D., Fang M.T.C. // Thermophysical properties of carbon–argon and carbon–helium plasmas. J. of Physics D: Applied Physics. 2011. 44(35), 355207. https://doi.org/10.1088/0022-3727/44/35/355207
- Kutasi K., Hartmann P., Donkó Z. // J. Phys. D. 2001. 34. 3368–3377. https://doi.org/10.1088/0022-3727/34/23/308
- Sasaki S., Ohkouchi Y., Takamura S., Kato T. // J. Phys. Soc. Japan. 1994. 63. P. 2942–2954.
- Kramida A., Ralchenko Y. // Reader J. and NIST ASD Team 2018 NIST Atomic Spectra Database (Gaithersburg, MD:National Institute of Standards and Technology).
- Weltner W., Van Zee R.J. // Chem. Rev. 1989. 89 1713–47 (1989) https://doi.org/10.1021/cr00098a005
- Fantz U., Meir S. // J. Nucl. Mater. 2005. 337. 1087–91.
- Huber K.P., Herzberg G. // Constants of diatomic molecules NIST Chemistry WebBook, NIST Standard Reference Database Number 69 (Gaithersburg, MD: National Institute of Standards and Technology). 2018
- Jacox M. // Vibrational and electronic energy levels of polyatomic transient molecules NIST Chemistry WebBook, NIST Standard Reference Database Number 69 (Gaithersburg, MD: National Institute of Standards and Technology). 2018.
- Halmova G., Gorfinkiel J.D., Tennyson J. // J. Phys. B: At. Mol. Opt. Phys. 2006. 39 2849.
- Munjal H., Baluja K.L. // J. Phys. B: At. Mol. Opt. Phys. 2006. 39. 3185–98. https://doi.org/10.1016/j.adt.2006.01.001
- Curtis L., Engman B., Erman P. // Phys. Scr. 1976. 13. 270–4. https://doi.org/10.1088/0953-4075/39/12/018
- Deutsch H., Becker K., Mark T.D. // Eur. Phys. J. D. 2000. 12. 283–7 https://doi.org/10.1007/s100530070023
- Vriens L., Smeets A.H.M. // Phys. Rev. A. 1980. 22. 940–51. https://doi.org/10.1103/PhysRevA.22.940
- Райзер Ю.П. // Физика газового разряда – 3-е изд., перераб. и доп. Долгопрудный: Интеллект, 2009. 734 с.
- Mul P., McGowan J. // Astrophys. J. 1980. 237. 749.
- Blottner F.G. // NASA SP-252. 1970. P. 219–40.
- Diaz-Tendero S., Sanchez G., Hervieux P.A., Alcami M., Martin F. // Braz. J. Phys. 2006. 36. P. 529. https://doi.org/10.1590/S0103-97332006000400009
- Langmuir I. // Phys. Rev. 1913. 2. 329. https://doi.org/10.1103/PhysRev.2.329
- Thorn R.J., Winslow G.H. // J. Chem. Phys.1957. 26. P. 186.
- Mansour A.R., Hara K. // J. Phys. D: Appl. Phys. 2019. 52. 105204. https://doi.org/10.1088/1361-6463/aaf945
Supplementary files





