Radiation-Chemical Transformations of Ethylene Glycol and Its Deuterated Derivative in Deaerated Aqueous Solutions
- Авторлар: Urbanovich O.V.1, Davydenko A.I.1, Sverdlov R.L.1,2, Bekish A.V.3, Lastovskii S.B.4, Tochilin E.V.4
-
Мекемелер:
- Belarusian State University
- Research Institute for Physicochemical Problems, Belarusian State Universit
- Institute of Physical and Organic Chemistry, National Academy of Sciences of Belarus
- Scientific and Practical Center for Materials Science, National Academy of Sciences of Belarus
- Шығарылым: Том 57, № 5 (2023)
- Беттер: 363-368
- Бөлім: RADIATION CHEMISTRY
- URL: https://bakhtiniada.ru/0023-1193/article/view/139985
- DOI: https://doi.org/10.31857/S0023119323050133
- EDN: https://elibrary.ru/LWDXEF
- ID: 139985
Дәйексөз келтіру
Толық мәтін
Аннотация
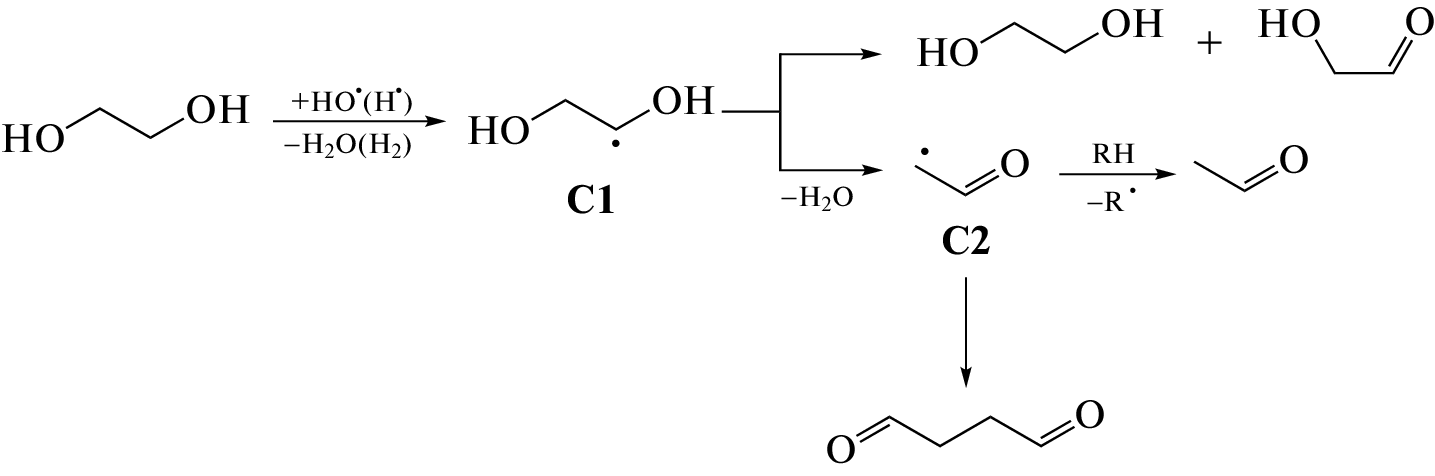
This study is devoted to the effect of complete deuteration of the ethylene glycol carbon skeleton on the formation of its radiation-induced free-radical transformations products in deaerated aqueous solutions at pH 7.00 ± 0.10 and a dose rate of 0.064 ± 0.002 Gy/s. It has been established that the chain process of fragmentation of carbon-centered ethylene glycol radicals (∙CH(OH)CH2OH) plays an important role in the formation of acetaldehyde. The replacement of protium atoms located at carbon atoms by deuterium decreased the radiation-chemical yield of acetaldehyde in aqueous 1 M solutions of diols by a factor of 8. The results of this study indicate that the use of deuterium exchange at the carbon skeleton of organic molecules is a promising way for increasing their resistance to radiation-induced free radical fragmentation processes.
Негізгі сөздер
Авторлар туралы
O. Urbanovich
Belarusian State University
Email: olga.urbanovich@gmail.com
Minsk, 220030 Belarus
A. Davydenko
Belarusian State University
Email: olga.urbanovich@gmail.com
Minsk, 220030 Belarus
R. Sverdlov
Belarusian State University; Research Institute for Physicochemical Problems, Belarusian State Universit
Email: olga.urbanovich@gmail.com
Minsk, 220030 Belarus; Minsk, 220006 Belarus
A. Bekish
Institute of Physical and Organic Chemistry, National Academy of Sciences of Belarus
Email: olga.urbanovich@gmail.com
Minsk, 220072 Belarus
S. Lastovskii
Scientific and Practical Center for Materials Science, National Academy of Sciences of Belarus
Email: olga.urbanovich@gmail.com
Minsk, 220072 Belarus
E. Tochilin
Scientific and Practical Center for Materials Science, National Academy of Sciences of Belarus
Хат алмасуға жауапты Автор.
Email: olga.urbanovich@gmail.com
Minsk, 220072 Belarus
Әдебиет тізімі
- Azzam E.I., Jay-Gerin J.-P., Pain D. // Cancer Lett. 2012. V. 327. P. 48.
- Benderitter M., Vincent-Genod L., Pouget J.P. et al. // Radiat. Res. 2003. V. 159. P. 471.
- Lehninger A.L., Nelson D.L., Cox M.M. Lehninger principles of biochemistry, 6th ed. Freeman W.H. New York, 2012.
- Halliwell B., Gutteridge J.M.C. Free Radicals in Biology and Medicine. Oxford: Oxford University Press, 2015.
- Moskalenko I., Tikhonov I., Pliss E. et al. // Russian Journal of Physical Chemistry B. 2018. V. 12. № 6. P. 987.
- Andreyev A.Y., Tsui H.S., Milne G.L. et al. // Free Radical Biology and Medicine. 2015. V. 82. P. 63.
- Firsov A.M., Fomich M.A., Bekish A.V. et al. // The FEBS Journal. 2019. V. 286. № 11. P. 2099.
- Carreau A., Hafny-Rahbi B.E., Matejuk A. et al. // J. Cell. Mol. Med. 2011. V. 15. P. 1239.
- Петряев Е.П., Шадыро О.И. Радиационная химия бифункциональных органических соединений. Минск: Университетское, 1986.
- Edimecheva I.P., Kisel R.M., Shadyro O.I. et al. // J. Radiat. Res. 2005. V. 46. P. 319.
- Edimecheva I.P., Kisel M.A., Shadyro O.I. et al. // Int. J. Radiat. Biol. 1997. V. 71. P. 555.
- Shadyro O., Lisovskaya A. // Chem. Phys. Lipids. 2019. V. 221. P. 176.
- Shadyro O., Samovich S., Edimecheva I. // Free Radic. Biol. Med. 2019. V. 144. P. 6.
- Shadyro O., Yurkova I., Kisel M. et al. // Free Radic. Biol. Med. 2004. V. 36. P. 1612.
- Shadyro O.I., Yurkova I.L., Kisel M.A. // Int. J. Radiat. Biol. 2002. V. 78. P. 211.
- Shadyro O.I., Yurkova I.L., Kisel M.A. et al. // Int. J. Radiat. Biol. 2004. V. 80. P. 239.
- Sladkova A.A., Sosnovskaya A.A., Edimecheva I.P. et al. // Radiat. Phys. Chem. 2012. V. 81. P. 1896.
- Ksendzova G.A., Sorokin V.L., Edimecheva I.P. et al. // Free Radical Research. 2004. V. 38. № 11. P. 1183.
- Shadyro O.I., Glushonok G.K., Glushonok T.G. et al. // Free Radical Research. 2002. V. 36. P. 859.
- Потоцкая Т.В., Шадыро О.И., Юркова И.Л. // Химия высоких энергий. 2004. Т. 38. С. 4.
- Nepachalovich P.S., Shadyro O.I., Bekish A.V. et al. // Free Radical Research. 2020. V. 54. № 10. P. 732.
- Термические константы веществ. Справочник / Под редакцией акад. В.П. Глушко, В.А. Медведева и др. Вып. 4. М.: ВИНИТИ, 1970.
Қосымша файлдар








