About Some Peculiarities of Positron Annihilation and Sorption Methods in Microporosity Studies on Polymers
- Authors: Shantarovich V.P.1, Bekeshev V.G.1, Kevdina I.B.1, Gustov V.V.1, Belousova E.V.1
-
Affiliations:
- Semenov Research Center for Chemical Physics, Russian Academy of Sciences
- Issue: Vol 57, No 4 (2023)
- Pages: 260-266
- Section: GENERAL QUESTIONS
- URL: https://bakhtiniada.ru/0023-1193/article/view/139977
- DOI: https://doi.org/10.31857/S0023119323040137
- EDN: https://elibrary.ru/QOBJRE
- ID: 139977
Cite item
Full Text
Abstract
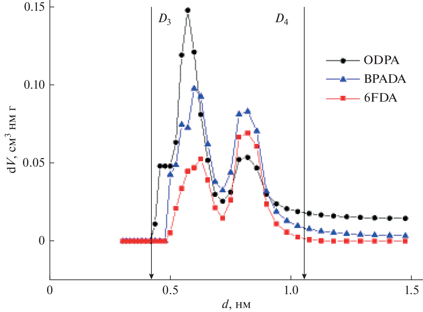
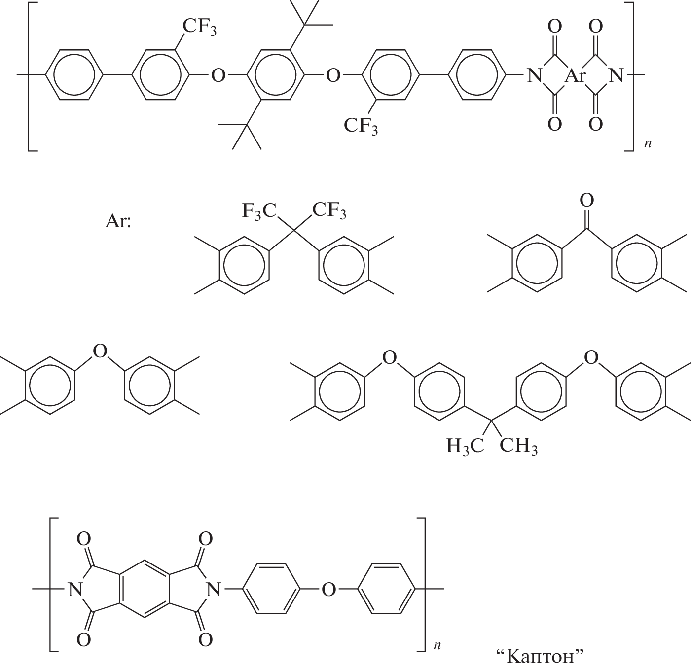
Data on microporosity (micropore size distribution) in the range from several angstroms to several nanometers, obtained by measuring the positron annihilation lifetime (PALS method) and by measuring CO2 sorption (low-temperature gas sorption, LTGS) are collated for a number of polymers with amorphous (polyetherimides, PEI) and semicrystalline (polyphenylene oxides, PPO) structures. The microporosity estimates based on the positron annihilation and CO2 sorption data are compared with published data obtained both
experimentally and by the group contribution method for the permeability of these materials. The discrepancies found and their possible causes are discussed.
About the authors
V. P. Shantarovich
Semenov Research Center for Chemical Physics, Russian Academy of Sciences
Email: shant@chph.ras.ru
Moscow, 119991 Russia
V. G. Bekeshev
Semenov Research Center for Chemical Physics, Russian Academy of Sciences
Email: shant@chph.ras.ru
Moscow, 119991 Russia
I. B. Kevdina
Semenov Research Center for Chemical Physics, Russian Academy of Sciences
Email: shant@chph.ras.ru
Moscow, 119991 Russia
V. V. Gustov
Semenov Research Center for Chemical Physics, Russian Academy of Sciences
Email: shant@chph.ras.ru
Moscow, 119991 Russia
E. V. Belousova
Semenov Research Center for Chemical Physics, Russian Academy of Sciences
Author for correspondence.
Email: shant@chph.ras.ru
Moscow, 119991 Russia
References
- Budd P.M., McKeown N.B., Fritsch D., Yampolskii Yu.P., Shantarovich V.P. In: Membrane Gas Separation. Ed. by Y. Yampolskii and B. Freeman. 2010. P. 29.
- Mogensen O.E. 1995. Positron Annihilation in Chemistry. Eds: V.I. Goldanskii, E.P. Schaeffer. (Berlin-Heidelberg-New York: Springer-Verlag) 66.
- Rudel M., Krause J., Ratzke K., Faupel M., Yampolskii Yu., Shantarovich V., Dlubek G. // Macromolecules. 2008. V. 41. P. 788.
- Gun’ko V.M., Leboda R., Skubiszewska-Zieba, Gawdzik B., Charmas B. // Applied Surface Science. 2005. V. 252. P. 612.
- Шантарович В.П., Бекешев В.Г., Бермешев М.В., Алентьев Д.А., Густов В.В., Белоусова Э.В., Кевдина И.Б., Новиков Ю.А. // Химия высоких энергий. 2019. Т. 53. № 4. С. 267–273.
- Шантарович В.П., Бекешев В.Г., Кевдина И.Б., Бермешев М.В., Возняк А.И. // Химия высоких энергий. 2021. Т. 55. № 1. С. 81–87.
- Alentiev A.Yu., Levin I.S., Buzin V.I., Belov N.A., Nikiforov R.Yu., Chirkov S.V., Blagodatskikh I.V., Kechekyan A.S., Bekeshev V.G., Ryzhikh V.E., Yampolskii Yu.P. // Polymer. 2021. V. 226. 123804.
- Alentiev A.Yu., Levin I.S., Belov N.A., Nikiforov R.Y., Chirkov S.V., Bezgin D.A., Ryzhikh V.E., Kostina J.V., Shantarovich V.P., Grunin L.Y. // Polymer. 2022. V. 14. № 1.
- Auriemma F., Daniel C., Golla M., Nagedra B., Rizzo P., Tarallo O., Guerra G. // Polymer. 2022. 258. 125290.
- Алентьев А.Ю., Ямпольский Ю.П., Русанов А.Л., Лихачев Д.Ю., Лазаков Г.В., Комарова Л.Г., Пригожина М.П. // Высок. омол. соед. Сер. А. 2003. Т. 45. № 9. С. 1566.
- Weber M.H., Lynn K.G. Positron Porosimetry. In: Principles and Applications of Positron and Positronium Chemistry. Eds. Jean Y.C., Mallon P.E., Schrader D.M. New Jersey-London-Singapore–Hong ader D.M. New Jersey Kong: World Scientific, 2003. P. 167–211.
- Shantarovich V.P. // J. Polym. Sci. Part B: Polym. Phys. 2008. V. 46. P. 2485.
- NOVAWIN2 V. 2. 1. Operating Manual / Quantachrome Instruments. 2004.
- Weber J., Najying Du, Guiver M.D. // Macromolecules. 2011. V. 44. P. 1763–1767.
- Elmehalmey W.A., Azzam R.A., Hassan Y.S., Alkordi M.H., Madkour T.M. // ACS OMEGA 2018. V. 3. P. 2757.
- Shantarovich V.P., Suzuki T., He C., Gustov V.W. // Radiation Physics and Chemistry. 2003. V. 67. P. 15–23.
- Nagai Y., Nonaka T., Hasegava M., Kobayashi Y., Wang C.L., Zheng W., Zhang C. // Phys. Rev. B. 1999. V. 60. № 17. P. 11863.
- Токарев А.В., Бондаренко Г.Н., Ямпольский Ю.П. // Высокомолек. соед. Сер. А. 2007. Т. 49. С. 1510–1523.
- Shantarovich V.P., Suzuki T., He C., Ito Y., Yampolskii Yu.P., Alentiev A.Yu. // Rad. Phys. and Chem. 2005. V. 73. № 1. P. 45–53.
Supplementary files








