Photoinduced Room-Temperature Magnetism of Low Curie Temperature Cu–Ni Nanoparticles in Polymer Composites with Rubrene Microcrystals
- Authors: Rumyantsev B.M.1, Bibikov S.B.1, Leontiev V.G.2, Berendyaev V.I.1
-
Affiliations:
- nuel Institute of Biochemical Physics, Russian Academy of Sciences
- Baikov Institute of Metallurgy and Materials Science, Russian Academy of Sciences
- Issue: Vol 57, No 2 (2023)
- Pages: 108-113
- Section: PHOTONICS
- URL: https://bakhtiniada.ru/0023-1193/article/view/139971
- DOI: https://doi.org/10.31857/S0023119323020110
- EDN: https://elibrary.ru/NHDBYD
- ID: 139971
Cite item
Full Text
Abstract
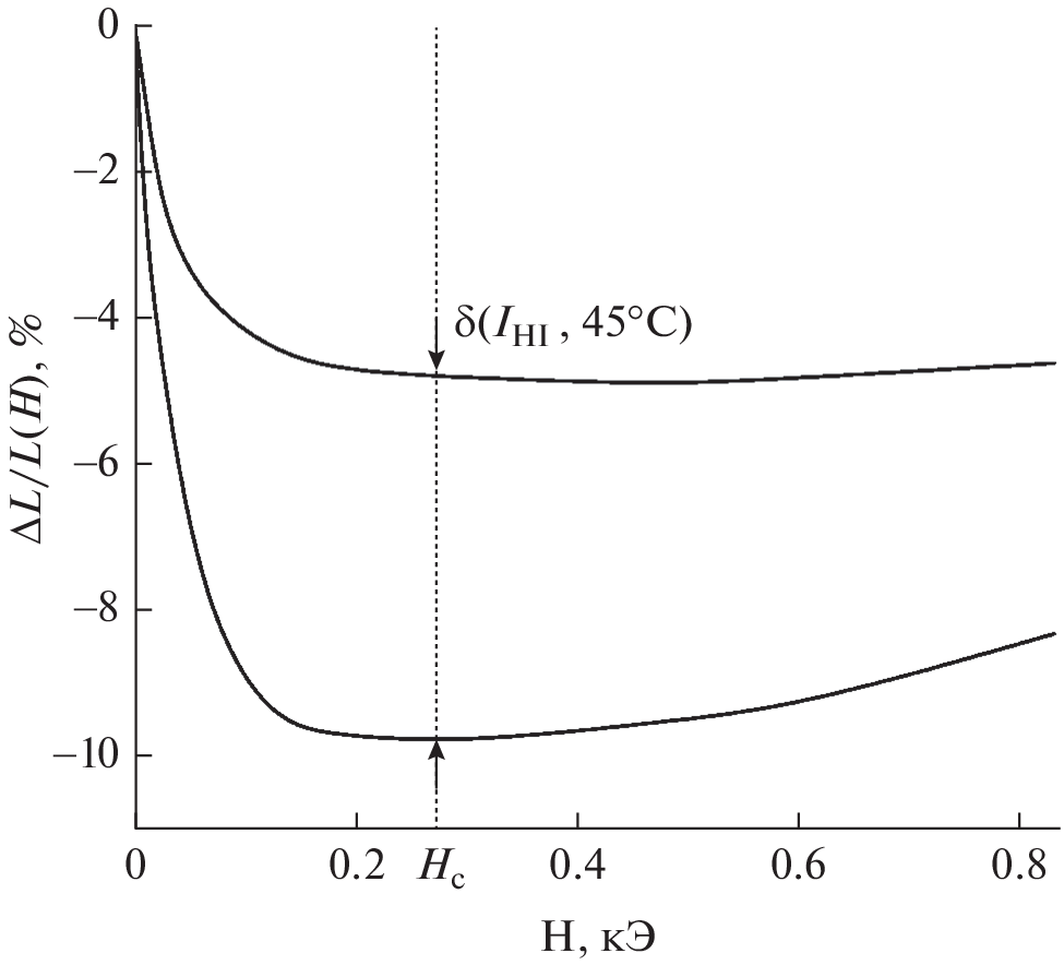
A relation has been established between the decrement of the low-field magnetic spin effect (measured by the luminescence of polymer films of composites with rubrene microcrystals), caused by the addition of magnetic Cu–Ni nanoparticles with a low Curie temperature (TC = 40–60°C), and the photoinduced particle magnetic moment exceeding the dark moment. Based on the study of the temperature dependence of the decrement and its comparison with the thermal demagnetization of the dark magnetic moment, a conclusion was made about a possible mechanism for the photothermal magnetization of nanoparticles
About the authors
B. M. Rumyantsev
nuel Institute of Biochemical Physics, Russian Academy of Sciences
Email: sbb.12@yandex.ru
Moscow, Russia
S. B. Bibikov
nuel Institute of Biochemical Physics, Russian Academy of Sciences
Email: sbb.12@yandex.ru
Moscow, Russia
V. G. Leontiev
Baikov Institute of Metallurgy and Materials Science, Russian Academy of Sciences
Email: sbb.12@yandex.ru
Moscow, Russia
V. I. Berendyaev
nuel Institute of Biochemical Physics, Russian Academy of Sciences
Author for correspondence.
Email: sbb.12@yandex.ru
Moscow, Russia
References
- Кожушнер М.А., Гатин А.К., Гришин М.В., Шуб Б.Р., Ким В.П., Хомутов Г.Б., Трахтенберг Л.И. // Физика твердого тела. 2016. Т. 58. № 2. С. 259.
- Baibich M.N., Broto J.M., Ferteral A. // Phys. Rev. Lett. 1988. V. 61. P. 2472.
- Esquinazi P., Hergert W., Spemann D. et al. // IEEE Transaction on Magnetics. 2013. V. 49. № 8. P. 4668.
- Han S.W., Park Y., Hwang Y.H. et al. // Appl. Phys. Lett. 2016. V. 109. P. 252403.
- Han S.W., Park Y., Hwang Y.H. et al. // Scientific Reports. 2016. V. 6.
- doi: 10.1038/srep38730.
- Коваленко В.Ф., Нагаев Э.Л. // Успехи Физических наук. 1986. Т. 148. № 4. С. 561.
- Holzrichter J., Macfarlane R., Schawlow A. // Phys. Rev. Lett. 1971. V. 26. P. 652.
- Aфанасьев M.M., Компан М.Е., Меркулов И.А. // ЖЭТФ. 1976. Т. 71. С. 2068.
- Osteer T., Barker J., Evans R.F.L. et al. // Nature Communications. 2012. V. 3. № 666. https://doi.org/10.1038/ncomms1666
- Domracheva N.E., Vorobeva V.E., Gruzdev M.S. et al. // J. Nanoparticle Research. 2015. V. 17. № 83. https://doi.org/10.1007/s11051-015-2890-z
- Румянцев Б.М., Берендяев В.И., Пебалк А.В. и др. // Химия Высоких Энергий. 2017. Т. 51. № 5. С. 343.
- Kuznetsov O.A., Sorokina O.N., Leontiev V.G. et al. // Journal of Magnetism and Magnetic Materials. 2007. V. 311. P. 204.
- Румянцев Б.М., Лесин В.И., Франкевич Е.Л. // Оптика и Спектроскопия. 1975. Т. 38. № 1. С. 89.
- Тарасов В.В., Шушин А.А., Франкевич Е.Л. // Химическая Физика. 1995. Т. 14. № 5.
- Rumyantsev B.M., Berendyaev V.I., Pebalk A.V. et al. // Rus. Journ. of Physical Chemistry, A. 2019. V. 93. № 9. P. 1835.
- Rumyantsev B.M., Bibikov S.B., Berendyaev V.I. et al. in “The Chemistry and Physics of Engineering Materials Modern Analytical Methodologies”, Ed. by A.A. Berlin, R. Joswick and N.I. Vatin (Apple Academic, USA, 2015). V.1. Chapt. 21.
- Frankevich E.L., Rumyantsev B.M., Lesin V.I. // J. Luminescence. 1975. V. 11. P. 91.
Supplementary files







