Geochemical features of coals of the Mezhegey deposit
- 作者: Yanchat N.N.1, Tas-ool L.K.1
-
隶属关系:
- Federal State Budgetary Institution of Science Tuvinian Institute for Exploration of Natural Resources of Siberian Branch of the Russian Academy of Sciences
- 期: 编号 3 (2024)
- 页面: 89-96
- 栏目: Articles
- URL: https://bakhtiniada.ru/0023-1177/article/view/266916
- DOI: https://doi.org/10.31857/S0023117724030112
- EDN: https://elibrary.ru/NBSMEK
- ID: 266916
如何引用文章
全文:
详细
An analysis of the correlations between the ash content of coal (Adср) and the content of ash-forming elements was carried out. Significant positive pairwise correlations were revealed in the accumulations of SiO2, Al2O3, TiO2 and each of them with ash content Adср (rcr0.05=0.23). In the group Fe2O3, MgO, CaO, a significant positive correlation is observed between the accumulations of only Fe2O3 and MgO, but each of them correlates negatively with Adср. A qualitative analysis of the distributions of petrochemical modules (GM, AM, ZhM, TM) of coal ash from the 2.2-Ulug seam of the Mezhegey deposit was carried out. Hydrolyzate destruction of the mineral matter of coal in 94% of the studied sample (n = 70) is represented by superhydrolysates (GMmin 2.07, GMmax 7.45), normohydrolysates (GMmin 0.86, GMmax 1.95), hypohydrolysates (GMmin 0.56, GMmax 0.84). A combined analysis of correlations between the ash content of coal (Adср) and the contents of ash-forming elements and petrochemical modules of ash made it possible to establish the origin of ash-forming elements - ash-carrier Fe is aquagenic, ash-carriers Al, Ti are allotigenic.
全文:
Введение
В юго-западной части Улуг-Хемского каменноугольного бассейна расположено Межегейское месторождение. Формирование угленосных отложений в пределах месторождения происходило в аллювиальных, озерно-болотных и бассейновых условиях. Тектоническое строение характеризуется в основном спокойным слабо наклонным залеганием угольных пластов с углами падения 4°–6°, на отдельных участках 8°–30°. Локальные участки представлены крупными складчатыми структурами: Межегейской брахисинклиналью, Поперечной антиклиналью и Кочетовской антиклиналью [1].
Угленосными на месторождении являются юрские отложения элегесткой (J2el), эрбекской (J2er) и салдамской (J2-3sl) свит. В отложениях эрбекской свиты залегает пласт 2.2-Улуг, являющийся основным рабочим пластом на всей территории бассейна. Мощность пласта изменяется в пределах 0.6–6.1 м, на большей части месторождения 3–4 м. Подошва пласта сложена алевролитами, реже углистыми алевролитами и мелкозернистыми песчаниками с прослоями алевролитов. Кровля представлена средне- и крупнозернистыми песчаниками, иногда с маломощными прослоями конгломератов. Контакт вмещающих пород с углем пласта 2.2-Улуг резкий, отчетливый [1].
В работе исследованы закономерности распределений золообразующих элементов и петрохимических модулей углей межегейского месторождения для понимания природы формирования угольного пласта 2.2-Улуг.
Методы исследования
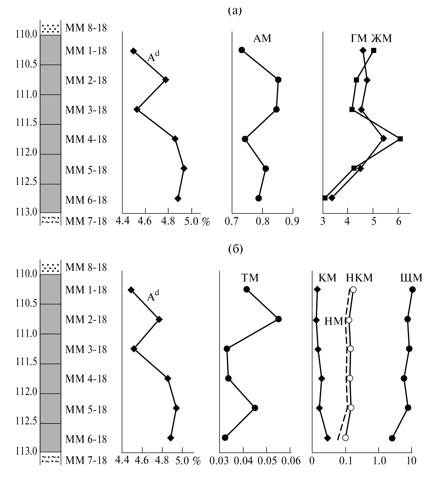
На участке КСО3 разрабатываемой шахты “Межегейуголь” в вертикальном срезе пласта 2.2-Улуг (мощность 3 м) произведен отбор шести образцов угля ММ-18 (n = 1, m = 6) с интервалом опробования 0.5 м и по одной пробе пород подошвы и кровли (мощность 0.1 м), нумерация проб показана на рис. 1. Глубина залегания (h) подошвы пласта 113 м.
Рис. 1. Графики распределения показателей в колонке угольного пласта из шахты: (а) Ad, АМ, ГМ и ЖМ; (б) Ad, ТМ, КМ, НМ, НКМ и ЩМ.
Зольность угля определена при 815 ± 10°С в соответствии с ГОСТ 11022-95. Элементный состав золы угля, углевмещающих пород определен на рентгенофлуоресцентном анализаторе (РФА) в ИГХ СО РАН им. А.П. Виноградова. Данные силикатного анализа шести интервальных проб угля проанализированы в совокупности с такими же данными углей 69-ти скважин месторождения из Территориального фонда геологической информации по Республике Тыва [2–4].
Петрографическое описание шлифов углевмещающих пород на поляризационном микроскопе ПОЛАМ Л-213М выполнено инженером-геологом Е.К. Дружковой. Обломки пород описаны в соответствии с гранулометрической классификацией Л.Б. Рухина [5], мм: песчаник крупнозернистый (1.0–0.5), среднезернистый (0.5–0.25), мелкозернистый (0.25–0.1), тонкозернистый (0.1–0.05); алеврит крупнозернистый (0.05–0.01), мелкозернистый (0.01–0.005).
Литохимические модули золы угля рассчитаны по методике [6]: гидролизатный ГМ = = (Al2O3 + Fe2O3 + FeO + TiO2 + MnO)/SiO2; глиноземистый АМ = Al2O3/SiO2; железный ЖМ = (Fe2O3 + FeO + MnO)/(TiO2 + Al2O3); титановый ТМ = TiO2/Al2O3; натриевый НМ = = Na2O/Al2O3; калиевый КМ = K2O/Al2O3; нормированная щелочность НКМ = (Na2O + K2O)/Al2O3. Золы углей сгруппированы по величине основного классификационного параметра (ГМ) на три крупных хемотипа: гидролизаты (ГМ>0.55), сиаллиты (ГМ 0.30–0.55), силиты (ГМ <0.30) с выделением внутри хемотипов классов: гипо-, нормо- и супергидролизаты, суперсиаллиты, миосилиты.
Показатели палеоклимата в областях размыва терригенных обломков пород подошвы и кровли угольного пласта оценены по величинам литохимического индикатора 1/TM = Al2O3/TiO2 и индекса химического выветривания CIA= = 100Al2O3/(Al2O3 + CaO + Na2O + K2O) [7, 8]: для аридного климата свойственны значения CIA ≤ 60, гумидного CIA > 70, для переходных периодов CIA = 60−70. При гумидном климате литихимический индикатор имеет значение 1/TM ≤ 20, при аридном 1/TM > 30, для переходных периодов 1/TM = 20−30.
Обсуждение результатов
На территории Межегейского месторождения Улуг-Хемского бассейна показатель зольности угля пласта 2.2-Улуг изменяется в широких пределах, Ad 2.80–23.33, в среднем 8.49% (табл. 1). Химический состав золы угля, как и золы угля в Каа-Хемском месторождении [9], характеризуется повышенными содержаниями Fe2O3 (27%) и CaO (17%).
Химический состав золы угля Межегейского месторождения по латерали. Анализ химического состава золы угля обнаруживает (табл. 1) наличие значимых положительных парных корреляционных связей между накоплениями SiO2, Al2O3, TiO2 и каждого из них с зольностью Adср (rкр0.05 = 0.23). Нарастание содержаний Si, Al, Ti в золе угля с ростом зольности может указывать на их связь с аллотигенными (терригенными) минералами, минералоидами, привнесенными в угольный пласт с областей размыва.
Таблица 1. Состав золы угля пласта 2.2-Улуг Межегейского месторождения и коэффициенты парной корреляции
Показатель | h*, м | Ad | SiO2 | Al2O3 | Fe2O3 | CaO | MgO | TiO2 | MnO | Na2O | K2O | P2O5 | SO3 |
Количество анализов | 70 | 70 | 70 | 70 | 70 | 70 | 70 | 61 | 50 | 56 | 56 | 57 | 68 |
Содержание компонента, %: | |||||||||||||
xсред | 470.23 | 8.49 | 28.93 | 13.05 | 26.70 | 17.50 | 3.84 | 0.58 | 0.29 | 1.41 | 0.90 | 0.12 | 7.49 |
xмакс | 748.00 | 23.33 | 67.87 | 25.59 | 52.71 | 62.37 | 8.41 | 1.44 | 0.95 | 4.41 | 2.19 | 0.71 | 14.10 |
xмин | 39.20 | 2.80 | 7.18 | 2.71 | 4.48 | 3.33 | 1.19 | 0.21 | 0.02 | 0.12 | 0.06 | 0.01 | 1.56 |
Стандартное отклонение, s | 142.76 | 4.62 | 13.88 | 4.46 | 11.16 | 10.74 | 1.33 | 0.22 | 0.18 | 0.70 | 0.54 | 0.16 | 2.78 |
Дисперсия, σ2 | 20381.2 | 21.39 | 192.78 | 19.88 | 124.56 | 115.30 | 1.78 | 0.05 | 0.03 | 0.50 | 0.29 | 0.02 | 7.73 |
Значимый коэффициент парной корреляции, | 0.23 | 0.23 | 0.23 | 0.23 | 0.23 | 0.23 | 0.23 | 0.25 | 0.28 | 0.26 | 0.26 | 0.26 | 0.24 |
h*, м | Ad | SiO2 | Al2O3 | Fe2O3 | CaO | MgO | TiO2 | MnO | Na2O | K2O | P2O5 | SO3 | |
h*, м | 1 | –0.19 | –0.23 | –0.13 | 0.07 | 0.15 | 0.04 | 0.004 | 0.03 | –0.03 | 0.26 | 0.07 | 0.03 |
Ad | –0.19 | 1 | 0.51 | 0.32 | –0.48 | –0.08 | –0.21 | 0.11 | –0.12 | –0.41 | 0.09 | 0.21 | -0.56 |
SiO2 | –0.23 | 0.51 | 1 | 0.71 | –0.74 | –0.63 | –0.43 | 0.67 | –0.70 | –0.11 | 0.69 | 0.26 | -0.50 |
Al2O3 | –0.13 | 0.32 | 0.71 | 1 | –0.60 | –0.64 | –0.28 | 0.59 | –0.69 | 0.17 | 0.59 | 0.34 | -0.14 |
Fe2O3 | 0.07 | –0.48 | –0.74 | –0.60 | 1 | 0.06 | 0.37 | –0.45 | 0.67 | 0.24 | –0.61 | –0.35 | 0.30 |
CaO | 0.15 | –0.08 | –0.63 | –0.64 | 0.06 | 1 | 0.10 | –0.55 | 0.46 | –0.35 | –0.41 | –0.13 | 0.06 |
MgO | 0.04 | –0.21 | –0.43 | –0.28 | 0.37 | 0.10 | 1 | –0.51 | 0.36 | 0.22 | –0.36 | –0.26 | 0.36 |
TiO2 | 0.004 | 0.11 | 0.67 | 0.59 | –0.45 | –0.55 | –0.51 | 1 | –0.57 | 0.17 | 0.46 | 0.15 | –0.12 |
MnO | 0.03 | –0.12 | –0.70 | –0.69 | 0.67 | 0.46 | 0.36 | –0.57 | 1 | –0.31 | –0.55 | –0.22 | 0.08 |
Na2O | –0.03 | –0.41 | –0.11 | 0.17 | 0.24 | –0.35 | 0.22 | 0.17 | –0.31 | 1 | 0.14 | -0.05 | 0.45 |
K2O | 0.26 | 0.09 | 0.69 | 0.59 | –0.61 | –0.41 | –0.36 | 0.46 | –0.55 | 0.14 | 1 | 0.42 | –0.32 |
P2O5 | 0.07 | 0.21 | 0.26 | 0.34 | –0.35 | –0.13 | –0.26 | 0.15 | –0.22 | –0.05 | 0.42 | 1 | –0.04 |
SO3 | 0.03 | –0.56 | –0.50 | –0.14 | 0.30 | 0.06 | 0.36 | –0.12 | 0.08 | 0.45 | –0.32 | –0.04 | 1 |
* Глубина пласта (подошва), м | |||||||||||||
В содержаниях оксидов других золообразующих элементов – Fe2O3, MgO, CaO – выявляются значимые отрицательные парные корреляции с Adср, внутри группы накопления Fe2O3 и MgO коррелируют между собой положительно и значимо. Исходя из этих данных можно ожидать, что Fe,Mg-содержащие компоненты золы межегейских углей имеют сингенетическое происхождение, формировались преимущественно из водных растворов.
Анализ петрохимических модулей (табл. 2) показывает, что зола угольного пласта 2.2-Улуг в 94% выборки имеет гидролизатный хемотип с классами: супергидролизат (ГМмин 2.07, ГМмакс 7.45; hср = 491; n = 27), нормогидролизат (ГМмин 0.86, ГМмакс 1.95; hср = 487; n = 27) и гипогидролизат (ГМмин 0.56, ГМмакс 0.84, hср=395; n = 12). Миосилитная зола определена лишь в одной пробе угля (скв. № 13), отобранной в зоне сочленения Поперечной антиклинали и Межегейской брахисинклинали (ГМ 0.29; hср = 489). Угли с гипогидролизатной золой, а также с суперсиалитной золой (ГМмин 0.49, ГМмакс 0.55; hср= 427; n = 3) и с повышенными содержаниями SO3, Na2O, MgO (n = 13) находятся в зонах расщепления пласта 2.2-Улуг в складчатых структурах Межегейской брахисинклинали, Поперечной и Кочетовской антиклиналей в зонах глубинных разрывных нарушений. Полагаем, что отличия в степени гидролизатной деструкции неорганического вещества угля определяются различиями в обстановках обводнения/питания участков торфяника, диагенеза и метаформизма угольного массива.
Таблица 2. Геохимическая характеристика золы угля пласта 2.2-Улуг Межегейского угольного месторождения
Компонент, модуль | Миосилит | Суперсиаллит | Гипогидролизат | Нормогидролизат | Супергидролизат | ||||||||
ГМ 0.21–0.30 | ГМ 0.49–0.55 | ГМ 0.56–0.85 | ГМ 0.86–2.0 | ГМ 2.01–10.0 | |||||||||
(n = 1) | (n = 3) | (n = 12) | (n = 27) | (n = 27) | |||||||||
x | xмин | xмакс | xсред | xмин | xмакс | xсред | xмин | xмакс | xсред | xмин | xмакс | xсред | |
SiO2 | 67.87 | 46.03 | 55.16 | 50.93 | 40.36 | 58.70 | 48.07 | 19.90 | 46.61 | 28.79 | 7.18 | 25.34 | 16.67 |
Al2O3 | 11.47 | 16.32 | 23.29 | 18.86 | 10.48 | 23.33 | 17.53 | 8.38 | 25.59 | 13.55 | 2.71 | 18.98 | 9.99 |
Fe2O3 | 6.77 | 4.48 | 10.23 | 7.29 | 8.56 | 26.00 | 14.39 | 12.84 | 40.29 | 25.60 | 18.88 | 52.71 | 36.18 |
CaO | 5.92 | 6.85 | 18.93 | 12.80 | 3.33 | 16.16 | 9.12 | 4.18 | 42.34 | 17.81 | 7.69 | 62.37 | 21.85 |
MgO | 1.19 | 2.55 | 8.03 | 4.90 | 1.61 | 4.20 | 2.88 | 1.40 | 5.57 | 3.69 | 2.05 | 8.41 | 4.41 |
TiO2 | 1.44 | 0.46 | 0.81 | 0.63 | 0.33 | 1.12 | 0.72 | 0.40 | 0.86 | 0.62 | 0.21 | 0.98 | 0.47 |
MnO | 0.07 | 0.02 | 0.27 | 0.15 | 0.05 | 0.17 | 0.12 | 0.09 | 0.47 | 0.26 | 0.18 | 0.95 | 0.41 |
Na2O | 0.58 | 0.56 | 0.94 | 0.75 | 0.77 | 1.93 | 1.25 | 0.42 | 3.06 | 1.48 | 0.12 | 4.41 | 1.49 |
K2O | 1.52 | 1.17 | 1.78 | 1.47 | 0.75 | 2.08 | 1.53 | 0.35 | 2.19 | 0.96 | 0.06 | 1.49 | 0.52 |
P2O5 | 0.06 | 0.05 | 0.13 | 0.09 | 0.02 | 0.71 | 0.24 | 0.00 | 0.71 | 0.13 | 0.00 | 0.12 | 0.06 |
SO3 | 3.11 | 4.69 | 4.79 | 4.74 | 1.56 | 11.33 | 5.27 | 2.92 | 14.10 | 7.91 | 1.90 | 13.94 | 8.43 |
Ad | 15.76 | 3.80 | 23.33 | 14.48 | 4.97 | 23.15 | 11.96 | 4.27 | 23.20 | 7.54 | 2.80 | 17.37 | 6.97 |
h, м | 489 | 126 | 648 | 427 | 153 | 590 | 395 | 39 | 748 | 487 | 113 | 658 | 491 |
ГМ | 0.29 | 0.49 | 0.55 | 0.53 | 0.56 | 0.84 | 0.68 | 0.86 | 1.95 | 1.44 | 2.07 | 7.45 | 3.04 |
ЖМ | 0.53 | 0.19 | 0.61 | 0.41 | 0.45 | 2.16 | 0.89 | 0.51 | 3.87 | 1.96 | 1.70 | 9.17 | 3.95 |
АМ | 0.17 | 0.30 | 0.45 | 0.37 | 0.19 | 0.45 | 0.37 | 0.31 | 0.65 | 0.47 | 0.30 | 0.92 | 0.61 |
ТМ | 0.126 | 0.028 | 0.048 | 0.038 | 0.021 | 0.063 | 0.039 | 0.026 | 0.070 | 0.048 | 0.025 | 0.077 | 0.047 |
НКМ | 0.18 | 0.13 | 0.14 | 0.13 | 0.11 | 0.17 | 0.15 | 0.04 | 0.33 | 0.19 | 0.06 | 0.39 | 0.20 |
НМ | 0.05 | 0.03 | 0.06 | 0.05 | 0.04 | 0.12 | 0.07 | 0.02 | 0.23 | 0.11 | 0.04 | 0.26 | 0.15 |
КМ | 0.13 | 0.07 | 0.10 | 0.09 | 0.05 | 0.11 | 0.08 | 0.02 | 0.16 | 0.07 | 0.02 | 0.19 | 0.06 |
Средняя зольность угля (Adср) снижается в направлении перехода от гипогидролизатов (11.96%) к нормогидролизатам (7.54) и супергидролизатам (6.97%) и по мере углубления пласта от поверхности (см. табл. 2). В этом же направлении повышаются средние значения других литохимических модулей гидролизатов: глиноземистость (АМ 0.37, 0.47, 0.61), железистость (ЖМ 0.89, 1.96, 3.95), нормированная щелочность (НКМ 0.15, 0.19, 0.20), титанистость (ТМ 0.039, 0.048, 0.047).
Распределение золообразующих элементов в разрезе пласта. В разрабатываемой шахте на участке КСО3 уголь малозольный Adср 4.74%, мощность пласта 3 м, глубина подошвы пласта 113 м; зола угля характеризуется (табл. 3) повышенными содержаниями Fe2O3 (31–38%) и CaO (20–27%). По литохимическому составу зола супергидролизатная (ГМ 3.33–5.45), гипер-Fe-гидролизатная (ЖМ 3.10–6.11), нормоглиноземистая (AM 0.73–0.85), нормотитанистая (ТМ 0.032–0.055).
Таблица 3. Геохимическая характеристика золы угля пласта 2.2-Улуг с участка КС шахты “Межегейуголь”
Компонент, модуль | Супергидролизат | Миоcилит | ||||||
Уголь пласта 2.2-Улуг | Алевролит (подошва пласта 2.2-Улуг) | Песчаник (кровля пласта 2.2-Улуг) | ||||||
ММ-1-18 | ММ-2-18 | ММ-3-18 | ММ-4-18 | ММ-5-18 | ММ-6-18 | ММ-7-18 | ММ-8-18 | |
SiO2 | 9.92 | 9.68 | 10.58 | 8.07 | 9.26 | 12.64 | 75.37 | 72.87 |
Al2O3 | 7.25 | 8.25 | 8.95 | 5.99 | 7.49 | 9.95 | 13.71 | 17.65 |
Fe2O3 | 37.54 | 37.41 | 38.05 | 37.31 | 32.91 | 31.41 | 3.49 | 2.51 |
CaO | 20.81 | 24.48 | 20.26 | 26.68 | 25.94 | 24.78 | 0.46 | 0.20 |
MgO | 10.13 | 7.13 | 8.52 | 8.52 | 9.53 | 6.65 | 1.11 | 1.03 |
TiO2 | 0.30 | 0.45 | 0.29 | 0.20 | 0.33 | 0.32 | 0.44 | 0.93 |
MnO | 0.38 | 0.40 | 0.31 | 0.49 | 0.35 | 0.42 | 0.04 | 0.02 |
Na2O | 0.97 | 0.81 | 1.11 | 0.66 | 0.92 | 0.72 | 2.36 | 1.35 |
K2O | 0.10 | 0.11 | 0.14 | 0.11 | 0.12 | 0.28 | 2.87 | 3.34 |
P2O5 | 0.01 | 0.02 | 0.01 | 0.01 | 0.02 | 0.01 | 0.08 | 0.01 |
SO3 | 11.65 | 10.55 | 10.81 | 11.07 | 12.01 | 12.03 | 0.00 | 0.00 |
ВаО | 0.16 | 0.17 | 0.25 | 0.20 | 0.25 | 0.21 | 0.04 | 0.04 |
SrO | 0.76 | 0.51 | 0.71 | 0.67 | 0.87 | 0.57 | 0.02 | 0.01 |
ZrO2 | 0.01 | 0.03 | 0.02 | 0.01 | 0.01 | 0.01 | 0.02 | 0.04 |
Ad | 4.49 | 4.77 | 4.51 | 4.85 | 4.93 | 4.88 | 95.84 | 100 |
h, м | 110.5 | 111.0 | 111.5 | 112.0 | 112.5 | 113.0 | 113.1 | 110.0 |
ГМ | 4.59 | 4.81 | 4.50 | 5.45 | 4.44 | 3.33 | 0.23 | 0.29 |
ЖМ | 5.02 | 4.34 | 4.15 | 6.11 | 4.25 | 3.10 | 0.25 | 0.14 |
АМ | 0.73 | 0.85 | 0.85 | 0.74 | 0.81 | 0.79 | 0.18 | 0.24 |
ТМ | 0.042 | 0.055 | 0.033 | 0.034 | 0.045 | 0.032 | 0.032 | 0.053 |
НКМ | 0.15 | 0.11 | 0.14 | 0.13 | 0.14 | 0.10 | 0.38 | 0.27 |
НМ | 0.13 | 0.10 | 0.12 | 0.11 | 0.12 | 0.07 | 0.17 | 0.08 |
КМ | 0.01 | 0.01 | 0.02 | 0.02 | 0.02 | 0.03 | 0.21 | 0.19 |
CIA | - | - | - | - | - | - | 64 | 74 |
1/TM | - | - | - | - | - | - | 31 | 19 |
Максимальные накопления Fe2O3 (38%) и CaO (27%), максимальные значения петрохимических модулей ГМ (5.45) и ЖМ (6.11) определяются в средней части угольного пласта. Распределения модулей ГМ, ЖМ в разрезе пласта практически схожи и имеют максимумы на глубине h = 112 м (рис. 1, а). Полагаем, что синхронный рост значений ГМ, ЖМ может указывать на преимущественно аквагенную/аутигенную природу золы-носителей Fe, сформированных с участием торфяных и инфильтрационных вод при накоплении исходного растительного материала, а также в диагенезе, катагенезе, эпигенезе. Это предположение подтверждается отчетными данными геологов [10]: в шлифах межегейских углей (рис. 2, а, б) под микроскопом идентифицируются прожилки аутигенных минералов диагенетических (пирит, кварц, карбонаты) и эпигенетических (кальцит, кварц, пирит, полевые шпаты).
Рис. 2. Фотографии шлифов угля пласта 2.2-Улуг Межегейского месторождения (материалы ТФИ по РТ, И.Ю. Яковлев., и др. 1987 г.) в отраженном свете увеличение:
а, б – 80×. Условные обозначения: Vt – мацералы группы витринита; L2 – кутинит; F3 – фюзинит; Ml2 – сульфиды железа; Ml3 – карбонаты.
Фотографии шлифов углевмещающих, пласт 2.2-Улуг, пород в проходящем свете: в – алевролит подошвы неокатанный, плохо сортированный крупнозернистый кварц-полевошпатовый; г – песчаник кровли полу угловатый среднезернистый кварц-полевошпатовый: 1 – полевой шпат; 2 – кварц; 3 – слюда.
Максимальные накопления Al2O3 (>8%) определяются в приподошвенной контактной зоне (112.5–113.0 м) и под прикровельной зоной (110.5–111.0 м) пласта. В верхней части пласта АМ повышается синхронно зольности Ad, в нижней зоне (112–113 м) обе функции (АМ и Ad) проходят через слабый максимум. В средней части пласта (111.5–112.5 м) глиноземистый модуль АМ убывает по мере роста гидролизатного модуля ГМ. Закономерность распределения ТМ (и содержаний TiO2) довольно схожа с таковой АМ. В целом, в разрезе пласта закономерности распределения ТМ, АМ и Ad довольно схожи (рис. 1, а, б), что может говорить о преимущественной аллотигенности и/или кластогенности происхождения золы-носителей Al, Ti. Действительно, в шлифах межегейских углей и зерна кварца и тонкие прожилки глинистых минералов (хлорит, слюд) описаны [1, 4, 10] как аллотигенные минералы.
По основности зола нормощелочная (НКМ 0.10–0.15) с превалированием натрия над калием в широких пределах при низких значениях и натриевого и калиевого модулей (НМ 0.07–0.13; КМ 0.01–0.03). Повышенная (относительно калия) натровость золы может указывать на активный вынос калия за пределы пласта с накоплением в угле Na-содержащих слюдисто-глинистых кластогенных минералов.
Углевмещающие породы. В основании пласта залегает алевролит серый массивный мелко-крупнозернистый (рис. 2, в). Обломочный материал угловатый, сложен преимущественно кварцем и полевыми шпатами примерно в равных количествах, единичными обломками слюды (~1%). Цемент контактово-поровый, глинисто-гидрослюдистый. Обломки пород составляют ~90%, цемент ~10%.
Угольный пласт перекрывает песчаник темно-серый, массивный, мелко-среднезернистый с полу угловатыми формами зерен (рис. 2, г). Обломочная составляющая почти нацело состоит из кварца и полевых шпатов (по ~45%), кроме них встречаются слюды (~10%). Цемент поровый глинисто-гидрослюдистый. Обломки пород составляют ~95%, цемент ~5%.
Контакт вмещающих пород с угольным пластом резкий, четкий. Песчаник кровли (ГМ 0.29; АМ 0.24; ЖМ 0.14; ТМ 0.053; НКМ 0.27; НМ 0.08) в сравнении с алевролитом подошвы (ГМ 0.23; АМ 0.18; ЖМ 0.25; ТМ 0.032; НКМ 0.38; НМ 0.172) содержит больше гидролизатных продуктов при меньшей железистости и щелочности.
Показатель параметра палеоклимата (Al2O3/TiO2) в области формирования осадочной породы подошвенного алевролита межегейских углей, превышая пороговые 30 ед. [7, 9], Al2O3/TiO2=31.15, соответствует аридной обстановке; по значению индекса химического выветривания, CIA = 64, формирование алевролита происходило в аридно-гумидной обстановке. Песчаник кровли угольного пласта сложен в гумидных условиях, Al2O3/TiO2=18.97; CIA = 74.
Заключение
Выполнен анализ петрохимических модулей золы угольного пласта 2.2-Улуг Межегейского месторождения, в 94% исследованной выборки (n = 70) зола угля имеет гидролизатный хемотип, представлен супергидролизатами (ГМмин 2.07, ГМмакс 7.45), нормогидролизатами (ГМмин 0.86, ГМмакс 1.95), гипогидролизатами (ГМмин 0.56, ГМмакс 0.84).
Угли с суперсиалитной золой (ГМмин 0.49, ГМмакс 0.55; n = 3) и миосилитной золой (ГМ 0.29; n = 1) находятся в зонах расщепления пласта 2.2-Улуг – глубинных разрывных нарушениях складчатых структур Межегейской брахисинклинали, Поперечной и Кочетовской антиклиналей.
Совокупный анализ корреляционных связей зольности угля (Adср) с содержаниями золообразующих элементов, а также петрохимических модулей золы угля позволяет установить происхождение золообразующих элементов. Так, синхронный рост модулей ГМ, ЖМ может указывать на преимущественно аквагенную природу золы-носителя Fe, сформированной с участием торфяных и инфильтрационных вод на стадии накопления исходного растительного материала, диагенеза, катагенеза и эпигенеза. Отрицательная корреляция глиноземистого и титанового модулей (АМ, ТМ) с гидролизатным модулем ГМ может свидетельствовать о преимущественной аллотигенности и/или кластогенности происхождения золы-носителей Al, Ti.
Алевролит подошвы межегейских углей сформирован в аридной, аридно-гумидной обстановках (параметр палеоклимата Al2O3/TiO2 = 31.15, индекс химического выветривания CIA = 64). Песчаная порода кровли пласта сложена в гумидной обстановке (Al2O3/TiO2 = 18.97, CIA = 74).
Финансирование работы
Работа выполнена в рамках государственного задания ТувИКОПР СО РАН, финансируемого Министерством науки и высшего образования Российской Федерации проект FUFS-2021-0008 № 121031500511-0.
Конфликт интересов
Авторы данной работы заявляют, что у них нет конфликта интересов.
作者简介
N. Yanchat
Federal State Budgetary Institution of Science Tuvinian Institute for Exploration of Natural Resources of Siberian Branch of the Russian Academy of Sciences
编辑信件的主要联系方式.
Email: janchat62@mail.ru
俄罗斯联邦, Kyzyl, 667007
L. Tas-ool
Federal State Budgetary Institution of Science Tuvinian Institute for Exploration of Natural Resources of Siberian Branch of the Russian Academy of Sciences
Email: tasool51@mail.ru
俄罗斯联邦, Kyzyl, 667007
参考
- Быкадоров В.С., Вялов В.И., Подкаменный А.А., Шибанов В.И. Улугхемский бассейн и другие бассейны Республики Тыва // Угольная база России. Т. III. Угольные бассейны и месторождения Восточной Сибири. Южная часть. M.: ООО “Геоинформцентр”, 2002. С. 270–363.
- Результаты анализов, реестры скважин по пласту “Улуг”. Кызыл. 1988. ТФИ по РТ, № 166, ящик 39, 40.
- Быкадоров В.С. и др. Отчет о геологоразведочных и поисковых работах на Меджигейском месторождении Улуг-Хемского каменноугольного бассейна, проведенных в 1952–1956 гг. Красноярск. 1956 г. ТФИ по Красноярскому краю.
- Шибанов В.И. Обобщение результатов геологоразведочных работ по Улуг-Хемскому угольному бассейну по состоянию на 01.01.1993 г.: Отчет М–46–V. – Кызыл, 1994. ТФИ по РТ, № 2179.
- Pухин Л.Б. Основы литологии. 3-е изд. Л., Недра, 1969. 703 с.
- Юдович Я.Э., Кетрис М.П. Основы литохимии. СПб.: Наука, 2000. 479 с.
- Маслов А.В. Осадочные породы: методы изучения и интерпретации полученных данных. Учебное пособие. – Екатеринбург: Изд-во УГГУ, 2005. 289 с.
- Маслов А.В., Гареев Э.З., Крупенин MT., Гареев Э.З. // Литология и полезные ископаемые. 2003. № 5, с. 502–525.
- Янчат Н.Н., Тас-оол Л.Х. // Химия твердого топлива. 2021. № 1. С. 29–39.
- Яковлев И.Ю., Гаврилин К.В. и др. Изучение вещественного состава и метаморфизма углей юрской формации Тувинской АССР. Отчет Угольной партии по теме Б.П.2/108(13)473 за 1985–87 гг. Красноярск, 1987. Кызыл. ТФИ по РТ, № 1941.
补充文件




