Synthesis and Study of the Properties of Porous Carbon–Carbon Nanocomposites with Nitrogen-Containing Carbon Nanofibers
- 作者: Kryazhev Y.G.1, Pod”yacheva O.Y.2, Trenikhin M.V.1, Gulyaeva T.I.1, Anikeeva I.V.1, Vol’fkovich Y.M.3, Rychagov A.Y.3
-
隶属关系:
- Center of New Chemical Technologies BIC, Boreskov Institute of Catalysis, Siberian Branch, Russian Academy of Sciences
- Boreskov Institute of Catalysis, Siberian Branch, Russian Academy of Sciences
- Frumkin Institute of Physical Chemistry and Electrochemistry, Russian Academy of Sciences
- 期: 编号 1 (2023)
- 页面: 4-12
- 栏目: Articles
- URL: https://bakhtiniada.ru/0023-1177/article/view/140029
- DOI: https://doi.org/10.31857/S0023117723010048
- EDN: https://elibrary.ru/IOXOTA
- ID: 140029
如何引用文章
全文:
详细
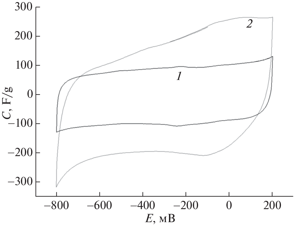
The possibility of synthesizing carbon–carbon nanocomposites with nanofibers embedded in a carbon matrix by two-stage dehydrochlorination (under the action of alkali followed by carbonization) of a carbon-chain chloropolymer has been shown. Chlorinated polyvinyl chloride was used as the initial chloropolymer, and nitrogen-containing carbon nanofibers (N-CNFs) were used as a nanoscale component. The structure of the resulting nanocomposites was examined by electron microscopy and the texture parameters were studied using low-temperature nitrogen adsorption–desorption. The introduction of N-CNFs into the carbon matrix and the activation of the resulting carbon–carbon nanocomposite in an atmosphere of CO2 contributed to the formation of a micro- and mesoporous material with a specific surface area of ~1100 m2/g. It was shown that the resulting nanocomposites were characterized by high energy capacity and energy efficiency when tested as electrodes of electrochemical supercapacitors.
作者简介
Yu. Kryazhev
Center of New Chemical Technologies BIC, Boreskov Institute of Catalysis, Siberian Branch, Russian Academy of Sciences
Email: carbonfibre@yandex.ru
644040, Omsk, Russia
O. Pod”yacheva
Boreskov Institute of Catalysis, Siberian Branch, Russian Academy of Sciences
Email: pod@catalysis.ru
630090, Novosibirsk, Russia
M. Trenikhin
Center of New Chemical Technologies BIC, Boreskov Institute of Catalysis, Siberian Branch, Russian Academy of Sciences
Email: tremv@yandex.ru
644040, Omsk, Russia
T. Gulyaeva
Center of New Chemical Technologies BIC, Boreskov Institute of Catalysis, Siberian Branch, Russian Academy of Sciences
Email: tangul-8790@ihcp.ru
644040, Omsk, Russia
I. Anikeeva
Center of New Chemical Technologies BIC, Boreskov Institute of Catalysis, Siberian Branch, Russian Academy of Sciences
Email: irina_anikeeva@inbox.ru
644040, Omsk, Russia
Yu. Vol’fkovich
Frumkin Institute of Physical Chemistry and Electrochemistry, Russian Academy of Sciences
Email: yuvolf40@mail.ru
119071, Moscow, Russia
A. Rychagov
Frumkin Institute of Physical Chemistry and Electrochemistry, Russian Academy of Sciences
编辑信件的主要联系方式.
Email: rychagov69@mail.ru
119071, Moscow, Russia
参考
- Sanjines R., Abad M.D., Vâju Cr., Smajda R., Mionic M., Magrez A. // Surf. and Coat. Techn. 2011. V. 206. I. 4. P. 727. https://doi.org/10.1016/j.surfcoat.2011.01.025
- Zhong R., Sels B. // Appl. Cat. B: Env. 2018. V. 236. P. 518.https://doi.org/10.1016/j.apcatb.2018.05.012
- Zou W., Gao B., Ok Yo., Dong L. // Chemosphere. 2019. V. 218. P. 845.https://doi.org/10.1016/j.chemosphere.2018.11.175
- Peng Y., Chen Sh. // Green Ener.&Envir.2018. V. 3. I. 4. P. 335.https://doi.org/10.1016/j.gee.2018.07.006
- Koyama S., Haniu H., Osaka K., Koyama H., Kuroiwa N., Endo M., Kim Y. A., Hayashi T. // Small. 2006. V. 2. I. 12. P. 1406.https://doi.org/10.1002/smll.200500416
- Patel D., Kim H.-B., Dutta S. D., Ganguly K., Lim K.-T. // Materials. 2020. V. 13. I. 7. P. 1679.https://doi.org/10.3390/ma13071679
- Vijaya Bhaskar Reddy A., Madhavi V., Ahmad, A., Madhavi G. // Green Energy and Technology. 2021. Springer. Singapore. P. 246. https://doi.org/10.1007/978-981-15-6699-8_1
- Noamani S., Niroomand S., Rastgar M., Sadrzadeh M. // Npj Clean Water. 2019. V. 2. № 20.https://doi.org/10.1038/s41545-019-0044-z
- Jiang X., Wu Y., MaoX., Cui X., Zhu L. // Sensors and Actuators. B: Chemical. V. 153. I. 1. P. 158. https://doi.org/10.1016/j.snb.2010.10.023
- Su D.S., Schlogl R. // Chem. Eur. Spec. Iss.: MPI EnerChem. V. 3. I. 2. P. 136. https://doi.org/10.1002/cssc.200900182
- Dresselhaus M., Terrones M. // Proc. IEEE. 2013. V. 101. P. 1522.https://doi.org/10.1109/JPROC.2013.2261271
- Li Q., Chen L., Li X., Zhang J., Zhang X., Zheng K., Fang F., Zhou H., Tian X. // Compos. A Appl. Sci. Manuf. 2016. V. 82. P. 214. https://doi.org/10.1016/j.compositesa.2015.11.014
- An H., Feng B., Su S. // Carbon. 2009. V. 47. I. 10. P. 2396. https://doi.org/10.1016/j.carbon.2009.04.029
- Li X., Li X., Zhou J., Dong Y., Xie Zh, Caia W., Zhang Ch. // RSC Adv. 2017. I. 69. P. 43965. https://doi.org/10.1039/C7RA08602D
- Zhang Y., Sun J., Tan J., Ma Ch.-H., Luo Sh., Li W., Liu Sh. // Fuel. 2021. V. 305. P. 121622. https://doi.org/10.1016/j.fuel.2021.121622
- Zhang B., Chen R., Yang Z., Chen Y., Zhou L., Yuan Y. // Intern. J. Hydr. Ener. 2019. V. 44. I. 59. P. 31094. https://doi.org/10.1016/j.ijhydene.2019.10.045
- Krasnikova I., Mishakov I., Vedyagin A., Krivoshapkin P., Korneev D. // Comp. Comm. 2018. V. 7. P. 65–68. https://doi.org/10.1016/j.coco.2018.01.002
- Yang Y.-S., Wang C.-Y., Chen M.-M., Shi Zh.-Q., Zheng J.-M. // J. Solid St. Chem. 2010. V. 183. I. 9. P. 2116. https://doi.org/10.1016/j.jssc.2010.07.011
- Khan M., Tiehu L., Hussain A., Raza A. // Diam. And Rel. Mater. 2022. V. 126. P. 109077. https://doi.org/10.1016/j.diamond.2022.109077
- Аникеева И.В., Кряжев Ю.Г., Солодовниченко В.С., Дроздов В.А. // ХТТ. 2012. № 4. С. 70. [Solid Fuel Chemistry. 2012. V. 46. № 4. P. 271. doi: 10.3103/S0361521912040039]
- Кряжев Ю.Г., Вольфкович Ю.М., Мельников В.П., Рычагов А.Ю., Тренихин М.В., Солодовниченко В.С., Запевалова Е.С., Лихолобов В.А. // Физ. хим. поверхности и защиты материалов. 2017. Т. 53. № 3. С. 266. [Prot. of Met. and Phys. Chem. of Surf. 2017. V. 53. № 2. С. 268. doi: 10.1134/s2070205117020150] href='https://doi.org/10.7868/s0044185617030111' target='_blank'>https://doi.org/10.7868/s0044185617030111
- Кряжев Ю.Г., Солодовниченко В.С. // ХТТ. 2012. № 5. С. 54. [Solid Fuel Chemistry. 2012. V. 46. № 5. P. 330. doi: 10.3103/S0361521912050060]
- Podyacheva O.Yu., Ismagilov Z.R. // Catal. Today. 2015. V. 249. P. 12. https://doi.org/10.1016/j.cattod.2014.10.033
- Shalagina A.E., Ismagilov Z.R., Podyacheva O.Yu., Kvon R.I., Ushakov V.A. // Carbon. 2007. V. 45. P. 1808–1820. https://doi.org/10.1016/j.carbon.2007.04.032
- Podyacheva O.Y., Cherepanova S.V., Romanenko A.I., Kibis L.S., Svintsitskiy D.A., Boronin A.I., Stonkus O.A., Suboch A.N., Puzynin A.V., Ismagilov Z.R. // Carbon. 2017. V. 122. P. 475. https://doi.org/10.1016/j.carbon.2017.06.094
- Thommes M., Kaneko K., Neimark A.V., Olivier J.P., Rodriguez-Reinoso F., Rouquerol J., Sing K.S.W. // Pure Appl. Chem. IUPAC Technical Report.2015. V. 89. I. 9–10. P. 1051. https://doi.org/10.1515/pac-2014-1117
- Inagaki M., Konno H., Tanaike O. // J. of Pow. Sour. 2010. V. 195. I. 24. P. 7880. https://doi.org/10.1016/j.jpowsour.2010.06.036
- Conway B. // Electrochemical Supercapacitors: Scientific Fundamentals and Technological Applications. Springer Science & Business Media. 1999. 685 p. https://doi.org/10.1007/978-1-4757-3058-6
- Bagotsky V.S., Skundin A.M., Volfkovich Yu.M. // Electrochemical Power Sources. Batteries, Fuel Cells, Supercapacitors.JhonWiely& Sons Inc. Publisher. N.J. USA. 2015. 372 p.
- Volfkovich Yu.M., Bograchev D.A., Rychagov A.Yu., Sosenkin V.E., Chaika M.Yu. // J. Solid State Electrochem. 2015. V. 19. P. 19: 2771–2779. https://doi.org/10.1007/s10008-015-2804-0
- Volfkovich Yu.M., Bograchev D.A., Mikhalin A.A., Ba-gotsky V.S. // Solid State Electrochem.2014. V. 18. P. 1351. https://doi.org/10.1007/s10008-013-2271-4
- Подъячева О.Ю., Субоч А.Н., Яшник С.А., Сальников А.В., Черепанова С.В., Кибис Л.С., Сименюк Г.Ю., Романенко А.И., Исмагилов З.Р. // Журн. структурной химии. 2021. Т. 62. № 5. С. 827. https://doi.org/10.26902/JSC_id72907
- Langendahl P.-A., Roby H., Potter S., Cook M. // EnergyRes. Soc. Sci. 2019. V. 58. P. 101277. https://doi.org/10.1016/j.erss.2019.101277
- Chapaloglou S., Nesiadis A., Iliadis P., Atsoniosa K., Nikolopoulosa N., Grammelisa P., Yiakopoulosb Ch., Antoniadisb I., Kakaras E. // Appl. Energy. 2019. V. 238. https://doi.org/10.1016/j.apenergy.2019.01.102
- Вольфкович Ю.М. // Электрохимия. 2021. Т. 57. № 4. С. 197–238. https://doi.org/10.31857/S0424857021040101
- Volfkovich Yu.M., Filippov A.N., Bagotsky V.S. // Springer Publisher. London. 2014. https://doi.org/10.1007/978-1-4471-6377-0
- Volfkovich Yu.M., Sakars A.V., Volinsky A.A. // Int. J. Nanotechnology. 2005. V. 2. P. 292. https://doi.org/10.1504/IJNT.2005.008066
补充文件








