Reconstruction of Lateral Rows of the Late Cambrian and Early Ordovician Active Continental Margin Structures in the Paleozoids of Northern Kazakhstan
- Authors: Degtyarev K.E.1, Tretyakov A.A.1, Salnikova E.B.2, Kotov A.B.2, Kovach V.P.2, Plotkina Y.V.2
-
Affiliations:
- Geological Institute of the Russian Academy of Sciences
- Institute of Precambrian Geology and Geochronology, Russian Academy of Sciences
- Issue: No 1 (2023)
- Pages: 3-47
- Section: Articles
- URL: https://bakhtiniada.ru/0016-853X/article/view/134758
- DOI: https://doi.org/10.31857/S0016853X23010046
- EDN: https://elibrary.ru/EOCDGB
- ID: 134758
Cite item
Full Text
Abstract
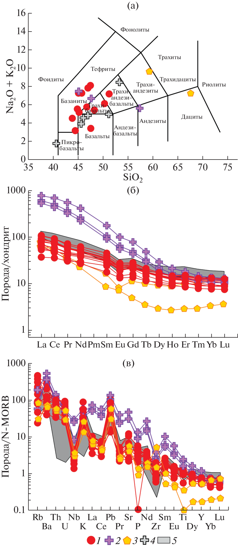
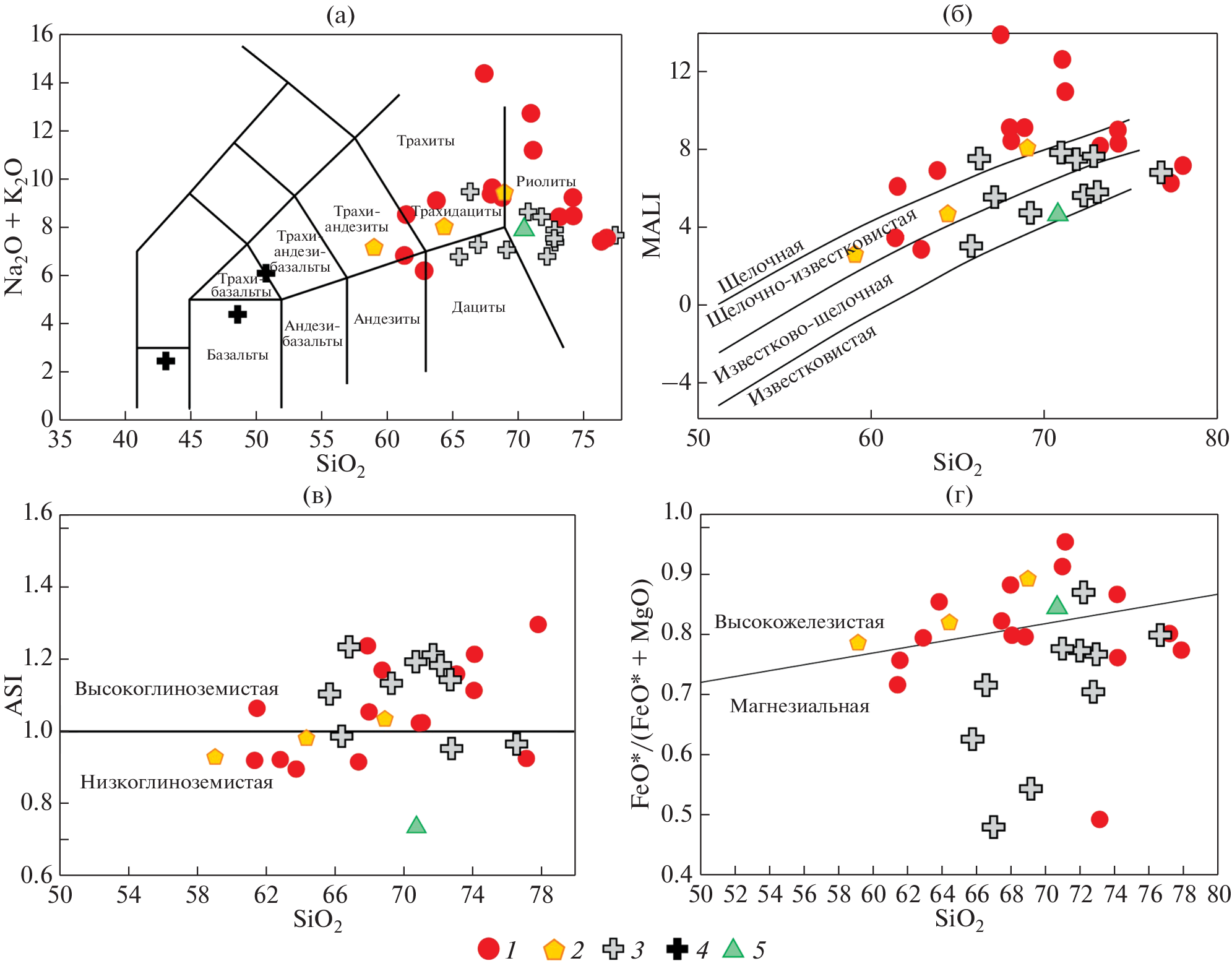
A comprehensive study of the Upper Cambrian and Lower Ordovician complexes of Northern Kazakhstan was carried out, their ages were substantiated, the structures and compositions of the rocks were investigated. It has been ascertained that the Upper Cambrian formations comprise coarse clastic strata, mafic alkaline effusive rocks and gabbro, while felsic volcanic rocks and granites are represented only by boulders in conglomerates. The Lower Ordovician rocks contain basalt-rhyolite series, felsic alkaline volcanic rocks, and granitoids. The lateral rows of structures of the active continental margin have been reconstructed for the Late Cambrian and Early Ordovician. In the Late Cambrian, the lateral series includes only the structures of the rear extension region, where complexes with the within-plate geochemical characteristics were formed. In the lateral series of the Early Ordovician structures, the frontal volcanic area with the island-arc volcanic rocks and the rear extension area with the intraplate felsic volcanic rocks and granites, were revealed. It is assumed that the differences in the lateral rows of structures may be associated with a change in the tectonic mode of the active continental margin at the Cambrian–Ordovician boundary, when the transform mode with no evidence of suprasubduction magmatism was replaced by convergent magmatism accompanied by the wide distribution of island-arc volcanic rocks.
About the authors
K. E. Degtyarev
Geological Institute of the Russian Academy of Sciences
Author for correspondence.
Email: degtkir@mail.ru
Russia, 119017, Moscow, Pyzhevsky per. bld. 7
A. A. Tretyakov
Geological Institute of the Russian Academy of Sciences
Email: degtkir@mail.ru
Russia, 119017, Moscow, Pyzhevsky per. bld. 7
E. B. Salnikova
Institute of Precambrian Geology and Geochronology, Russian Academy of Sciences
Email: degtkir@mail.ru
Russia, 199034, St.-Petersburg, nab. Makarovaб bld. 2
A. B. Kotov
Institute of Precambrian Geology and Geochronology, Russian Academy of Sciences
Email: degtkir@mail.ru
Russia, 199034, St.-Petersburg, nab. Makarovaб bld. 2
V. P. Kovach
Institute of Precambrian Geology and Geochronology, Russian Academy of Sciences
Email: degtkir@mail.ru
Russia, 199034, St.-Petersburg, nab. Makarovaб bld. 2
Yu. V. Plotkina
Institute of Precambrian Geology and Geochronology, Russian Academy of Sciences
Email: degtkir@mail.ru
Russia, 199034, St.-Petersburg, nab. Makarovaб bld. 2
References
- Бабичев Е.А., Борисенок В.И., Великовская Э.М., Минервин О.В., Новикова М.З., Спиридонов Э.М., Филиппович И.З. Геологическое строение и история развития Степнякского синклинория . ‒ В кн.: Геология и полезные ископаемые Центрального Казахстана. ‒ Под ред. Ю.А. Зайцева ‒ М.: Наука, 1977. С. 220–241.
- Берзин Н.А., Колман Р.Г., Добрецов Н.Л., Зоненшайн Л.П., Сяо Сючань, Чанг Э.З. Геодинамическая карта западной части Палеоазиатского океана // Геология и геофизика, 1994. Т. 35. № 7–8. С. 8‒28.
- Берзин Н.А., Кунгурцев Л.В. Геодинамическая интерпретация геологических комплексов Алтае-Саянской области // Геология и геофизика. 1996. Т. 37. № 1. С. 63–81.
- Беспаев Х.А., Глоба В.А., Абишев В.М., Гуляева Н.Я. Месторождения золота Казахстана. ‒ Под ред. А.А. Абдуллина, Х.А. Беспаева, Э.С. Воцалевского, С.Ж. Даукеева, Л.А. Мирошниченко. ‒ Алматы: Информационно-аналитический центр геологии, экологии и природных ресурсов Республики Казахстан. 1997. 232 с.
- Борисенок В.И. Стратиграфия раннегеосинклинальных комплексов Ишкеольмесского антиклинория. ‒ В кн.: Геология раннегеосинклинальных комплексов Центрального Казахстана. ‒ Под ред. Ю.А Зайцева‒ М.: МГУ, 1985. С. 132‒164.
- Буслов М.М., Джен Х., Травин А.В., Отгонбаатар Д., Куликова А.В., Чен Минг, Глори С., Семаков Н.Н., Рубанова Е.С., Абилдаева М.А., Войтишек Е.Э., Трофимова Д.А. Тектоника и геодинамика Горного Алтая и сопредельных структур Алтае-Саянской складчатой области // Геология и геофизика. 2013. Т. 54. № 10. С. 1600‒1628.
- Геологическая карта Казахской ССР. ‒ М-б 1 : : 500 000. ‒ Серия Центрально-Казахстанская. ‒ Объяснительная записка. ‒ Алма-Ата: Мингео СССР, 1981. 326 с.
- Геология Северного Казахстана (стратиграфия). ‒ Под ред. М.А. Абдулкабировой ‒ Алма-Ата: Наука, 1987. 224 с.
- Гребенников А.В., Ханчук А.И. Геодинамика и магматизм трансформных окраин Тихого океана: основные теоретические аспекты и дискриминационные диаграммы // Тихоокеанская геология. 2021. Т. 40. № 1. С. 3–24
- Дегтярев К.Е. Тектоническая эволюция раннепалеозойских островодужных систем и формирование континентальной коры каледонид Казахстана. М.: ГЕОС, 2012. 289 с.
- Дегтярев К.Е. Тектоническая эволюция раннепалеозойской активной окраины в Казахстане. ‒ Под ред. С.А, Куренкова ‒ М.: Наука, 1999. 123 с.
- Дегтярев К.Е., Рязанцев А.В. Модель кембрийской коллизии дуга–континент для палеозоид Казахстана // Геотектоника. 2007. № 1. С. 71‒96.
- Дегтярев К.Е., Третьяков А.А., Котов А.Б., Сальникова Е.Б., Лучицкая М.В., Ковач В.П., Ван К.-Л. Позднесилурийский возраст реперного Аралаульского граносиенит-гранитного массива (Северный Казахстан) // ДАН. 2018. Т. 479. № 1. С. 37–40.
- Дегтярев К.Е., Шатагин К.Н., Ковач В.П., Третьяков А.А. Процессы формирования и изотопная структура континентальной коры каледонид хребта Чингиз (Восточный Казахстан) // Геотектоника. 2015. № 6. С. 20–51.
- Добрецов Н.Л., Буслов М.М. Позднекембрийско–ордовикская тектоника и геодинамика Центральной Азии // Геология и геофизика. 2007. Т. 58. № 1. С. 93–108.
- Добрецов Н.Л., Буслов М.М., Жимулев Ф.И., Травин А.В., Заячковский А.А. Венд–раннеордовикская эволюция и модель экгумации пород сверхвысоких и высоких давлений Кокчетавской субдукционно-коллизионной зоны (Северный Казахстан) // Геология и геофизика. 2006. Т. 47. № 4. С. 428–444.
- Добрецов Н.Л., Симонов В.А., Буслов М.М., Котляров А.В. Магматизм и геодинамика Палеоазиатского океана на венд-кембрийском этапе его развития // Геология и геофизика. 2005. Т. 46. № 9. С. 962‒967.
- Добрецов Н.Л., Симонов В.А., Буслов М.М., Куренков С.А. Океанические и островодужные офиолиты Горного Алтая // Геология и геофизика. 1992. № 12. С. 3‒14.
- Добрецов Н.Л., Тиниссен К., Смирнова Л.В. Структурная и геодинамическая эволюция алмазсодержащих метаморфических пород Кокчетавского массива (Казахстан) // Геология и геофизика. 1998. Т. 39. С. 1645–1666.
- Жимулев Ф.И., Буслов М.М., Травин А.В., Дмитриева Н.В., де Граве И. Ранне-среднеордовикская покровно-чешуйчатая структура зоны сочленения Кокчетавского HP-UHP метаморфического пояса и Степнякской палеоостроводужной зоны (Северный Казахстан) // Геология и геофизика. 2011. № 1. С. 138–157.
- Жимулев Ф.И., Полтаранина М.А., Корсаков А.В., Буслов М.М., Друзяка Н.В., Травин А.В. Структурное положение и петрология эклогитов позднедокембрийско-раннеордовикской Северо-Кокчетавской тектонической зоны (Северный Казахстан) // Геология и геофизика. 2010. № 2. С. 240–256.
- Копяткевич Р.А., Цай Д.Т. О возрасте вулканогенно-яшмовой толщи Степнякского мегасинклинория. ‒ В кн.: Информационный сборник научно-исследовательских работ Института геологических наук 1973 г. ‒ Алма-Ата: ИГН АН Каз ССР, 1974. С. 194‒196.
- Коробкин В.В., Смирнов А.В. Палеозойская тектоника и геодинамика вулканических дуг Северного Казахстана // Геология и геофизика. 2006. Т. 47. № 4. С. 462–474.
- Кузьмичев А.Б. Тектоническая история Тувино-Монгольского массива: раннебайкальский, позднебайкальский и раннекаледонский этапы. М.: ПРОБЕЛ, 2004, 192 с.
- Кузьмичев А.Б., Ларионов А.Н. Неопротерозойские островные дуги Восточного Саяна: длительность магматической активности по результатам датирования вулканокластики по цирконам // Геология и геофизика. 2013. Т. 54. № 1. С. 45‒57.
- Магматизм Северного Казахстана. ‒ Под ред. А.Н. Нурлыбаева ‒ Алма-Ата: Наука. 1988. 168 с.
- Магматические комплексы Казахстана. Кокчетав-Северо-Тянь-Шаньская складчатая система. ‒ Под ред. Г.Ф. Ляпичева ‒ Алма-Ата: Наука. 1982. 236 с.
- Минервин О.В., Бабичев Е.А., Розен О.М. Доордовикские кремнисто-вулканогенные отложения Кокчетавского массива и его южного обрамления. ‒ В кн.: Вопросы геологии Центрального Казахстана. ‒ Под ред. А.А. Богданова ‒ М.: МГУ, 1971. С. 214–224.
- Носова А.А., Возняк А.А., Богданова С.В., Савко К.А., Лебедева Н.М., Травин А.В., Юдин Д.С., Пейдж Л., Ларионов А.Н., Постников А.В. Раннекембрийский сиенитовый и монцонитовый магматизм на юго-востоке Восточно-Европейской платформы: петрогенезис и тектоническая обстановка формирования // Петрология. 2019. Т. 27. № 4. С. 357‒400.
- Парфенов Л.М., Берзин Н.А., Ханчук А.И., Бадрач Г., Беличенко В.Г., Булгатов А.Н., Дриль С.И., Кириллова Г.Л., Кузьмин М.И., Ноклеберг У.Дж., Прокопьев А.В., Тимофеев В.Ф., Томуртогоо О., Янь Х. Модель формирования орогенных поясов Центральной и Северо-Восточной Азии // Тихоокеанская геология. 2003. Т. 22. № 6. С. 7‒41.
- Розен О.М. Рифей Кокчетавского массива // Изв. АН СССР. Сер. геол. 1971. № 7. С. 102–114.
- Руднев С.Н. Раннепалеозойский гранитоидный магматизм Алтае-Саянской складчатой области и Озерной зоны Западной Монголии. Новосибирск. ‒ Под ред. Г.В. Полякова ‒ Новосибирск: СО РАН, 2013. 300 с.
- Руднев С.Н., Ковач В.П., Пономарчук В.А. Венд‒раннекембрийский островодужный плагиогранитоидный магматизм Алтае-Саянской складчатой области и Озерной зоны Западной Монголии (геохронологические, геохимические и изотопные данные) // Геология и геофизика. 2013. Т. 54. № 10. С. 1628‒ 1647.
- Рязанцев А.В. Структуры среднепалеозойской активной окраины в Казахстане: латеральные ряды, миграция // ДАН 1999. Т. 369. № 5. С. 659–663.
- Сальникова Е.Б., Яковлева С.З., Котов А.Б., Толмачева Е.В., Плоткина Ю.В., Козловский А.М., Ярмолюк В.В., Федосеенко А.М. Кристаллогенезис циркона щелочных гранитов и особенности его U‒Pb датирования (на примере Хангайского магматического ареала) // Петрология. 2014. Т.22. № 5. С. 482–495.
- Скобленко А.В., Дегтярев К.Е. Раннепалеозойские высоко- и ультравысокобарические комплексы западной части Центрально-Азиатского орогенного пояса: возраст, условия и модели формирования // Петрология, 2021. Т. 29. № 3. С. 256–291
- Стратиграфический кодекс России. ‒ 3-е изд. ‒ СПб.: ВСЕГЕИ, 2019. 96 с.
- Третьяков А.А., Дегтярев К.Е. Нижнеордовикский островодужный комплекс Северного Казахстана: обоснование возраста и особенности состава // ДАН. Науки о Земле. 2022. Т. 506. № 1. С. 234–241.
- Филиппович И.З., Великовская Э.М. Девонский орогенный магматизм Степнякского синклинория (Северный Казахстан) // Советская геология. 1973. № 6. С. 144‒148.
- Ханчук А.И., Гребенников А.В. Позднемиоцен-плиоценовая трансформная окраина Камчатки // Тихоокеанская геология. 2021. Т. 40. № 5. С. 3‒15.
- Шацкий В.С., Ягоуц Э., Козьменко О.А., Блинчик Т.М., Соболев Н.В. Возраст и происхождение эклогитов Кокчетавского массива (Северный Казахстан) // Геология и геофизика. 1993. № 12. С.47–58.
- Abdel-Rahman A.M. Mesozoic volcanism in the Middle East: geochemical, isotopic and petrogenetic evolution of extension-related alkali basalts from central Lebanon // Geol. Magazine. 2002. Vol. 139. P. 621–640.
- Allegre C.J., Minster J.F. Quantitative models of trace element behavior in magmatic processes // Earth Planet. Sci. Lett. 1978. Vol. 38. P. 1–25.
- Barker F. Trondhjemite: definition, environment and hypotheses or origin. ‒ In: Trondhjemites, Dacites and Related Rocks. ‒ Ed.by F. Barker, (NY: Elsevier, 1979), P. 1‒12.
- Chemenda A.I., Hurpin D., Tang J.-C., Stephan J.-F., Buffet G. Arc-continent collision and mechanism for the burial and exhmation of UHP/LT rock: Constaints provided by experimental and numering modeling // Tectonophysics. 2001. Vol. 342. P. 37–161.
- Claoue–Long J.C., Sobolev N.V., Shatsky V.S., Sobolev A.V. Zircon response to diamond-pressure metemorphism in the Kokchetav massif, USSR // Geology, 1991. Vol. 19. No. 7. P. 710–713.
- Closs M., Sapii B., van Ufford A.Q., Weiland R.J., Warren P.Q., McMahon T.P. Collisional delamination in New Guinea: The geotectonics of subducting slab breakoff // GSA Spec. Pap. 2005. Vol. 400. P. 1‒51.
- Cohen K.M., Finney S.C., Gibbard P.L., Fan J.X. The ICS International Chronostratigraphic Chart // Episodes. 2013 (updated 02.2022). Vol. 36. No. 3. P. 199–204.
- Condie K.C. Sources of Proterozoic mafic dyke swarms: constraints from Th/Ta and La/Yb ratios // Precambrian Research. 1997. Vol. 81. P. 3‒14.
- Dall'Agnol R., Oliveira D.C. Oxidized, magnetite-series, rapakivi-type granites of Carajás, Brazil: Implications for classification and petrogenesis of A-type granites // Lithos. 2007. Vol. 93. P. 215–233.
- Degtyarev K.E., Tolmacheva T.Y., Tretyakov A.A., Kotov A.B., Shatagin K.N. Cambrian-Lower Ordovician complexes of the Kokchetav Massif and its fringing (Northern Kazakhstan): Structure, age and tectonic setting // Geotectonics. 2016. Vol. 30. No. 1. P. 71‒ 142.
- Degtyarev K.E., Yakubchuk A.S., Luchitskaya M.V., Tolmacheva T.Yu., Skoblenko (Pilitsyna) A.V., Tretyakov A.A. Ordovician supra-subduction, oceanic and within-plate ocean island complexes in the Tekturmas ophiolite zone (Central Kazakhstan): Age, geochemistry and tectonic implications // Int. Geol. Rev. 2022. Vol. 64. Is. 15. P. 2108‒2150.
- Degtyarev K.E., Luchitskaya M.V., Tretyakov A.A., Pilitsyna A.V., Yakubchuk A.S. Early Paleozoic suprasubduction complexes of the North-Balkhash ophiolite zone (Central Kazakhstan): Geochronology, geochemistry and implications for tectonic evolution of the Junggar‒Balkhash Ocean // Lithos. 2021. Vol. 380‒ 381. P. 105818.
- Depaolo D.J. Neodymium isotopes in the Colorado Front Range and crust-mantle evolution in the Proterozoic // Nature. 1981. Vol. 291. P. 193–196.
- Eby G.N. Chemical subdivision of the A-type granitoids-petrogenetic andtectonic implications // Geology. 1992. Vol. 20. P. 641–644.
- Eby G.N. The A-type granitoids: a review of their occurrence and chemical characteristics and speculations on their petrogenesis // Lithos. 1990. Vol. 26. P. 115–134.
- Fagan J.J. Carboniferous cherts, turbidites, and volcanic rocks in northern Independence Range, Nevada // GSA Bull. 1962. Vol. 73. P. 595–612.
- Fitton J.G. The OIB paradox. ‒ In: Plates, Plumes, and Planetary Processes. ‒ Ed. by G.R. Foulger, D.M. Jurdy, (GSA Bull. Spec. Pap. 2007. Vol. 430), P. 387–412. https://doi.org/10.1130/2007.2430(20).
- Fitton J.G., Saunders A.D., Norry M.J., Hardarson B.S., and Taylor R.N. Thermal and chemical structure of the Iceland plume // Earth Planet. Sci. Lett. 1997. Vol. 153. P. 197–208.
- Fowler M.B., Henney P.J., Darbyshire D.P.F. et al. Petrogenesis of high Ba‒Sr granites: The Rogart pluton, Sutherland // J. Geol. Soc. London. 2001. Vol. 158. P. 521–534.
- Frost B.R., Barnes C.G., Collins W.J., Arculus R.J., Ellis D.J., Frost C.D. A geochemical classification for granitic rocks // J. Petrol. 2001. Vol. 42. P. 2033–2048.
- Frost C.D., Frost B.R On ferroan (A-type) granitoids: Their compositional variability and modes of origin // J. Petrol. 2010. Vol. 52. P. 39‒53.
- Glorie S., Zhimulev F.I., Buslov M.M., Andersen T., Plavsa D., Izmer A., Vanhaecke F., De Grave J. Formation of the Kokchetav subduction-collision zone (northern Kazakhstan): Insights from zircon U‒Pb and Lu‒Hf isotope systematics // Gondwana Research. 2014. Vol. 27. No. 1. P. 424‒438.
- Jacobsen S.B., Wasserburg G.J. Sm‒Nd evolution of chondrites and achondrites // Earth Planet. Sci. Lett. 1984. Vol. 67. P. 137–150.
- Kárason H., van der Hilst R.D. Constraints on mantle convection from seismic tomography. ‒ In: The history and Dynamics of Global Plate Motions: Geophysical Monograph, ‒ Ed.by M.A. Richards, R.G. Gordon, R.D. van der Hilst, (AGU, 2000. Vol.121), P. 277–288.
- Kröner A., Hegner E., Lehmann B., Heinhorst J., Wingate M.T.D., Lie D.Y., Ermolov P. Palaeozoic arc magmatizm in the Central Asian Orogenic Belt of Kazakhstan: SHRIMP zircon and whole-rock Nd isotopic systematic // J. Asian Earth Sci. 2008. No. 32. P. 118‒130.
- Kuzmichev A., Kroner A., Hegner E., Liu Dunui, Wan Yusheng. The Shishkhid ophiolite, northern Mongolia: A key to the reconstruction of a Neoproterozoic island-arc system in central Asia // Precambrian Research. 2005. Vol. 138. P. 125‒150.
- Kuzmichev A., Sklyarov E., Postnikov A., Bibikova E. The Oka Belt (Southern Siberia and Northern Mongolia): A Neoproterozoic analog of the Japanese Shimanto Belt ? // Island Arc. 2007. Vol. 16. P. 224‒242.
- Larionov A.N., Andreichev V.A., Gee D.G. The Vendian alkaline igneous suite of northern Timan: ion microprobe U‒Pb zircon ages of gabbros and syenite the Vendian alkaline igneous suite of northern Timan: Ion microprobe U‒Pb zircon ages of gabbros and syenite // Geol. Soc. London, Mem. 2004. Vol. 30. P. 69–74.
- Le Bas M.J., Le Maitre R.W., Streckeisen A., Zanettin B. A chemical classification of volcanic rocks based on the total alkali-silica diagram // J. Petrol. 1986. Vol. 27. P. 745–750.
- Liu B., Han B.F., Xu Z., Ren R., Chen J.F. The Ediacaran to Early Palaeozoic evolution of the Junggar–Balkhash Ocean: A synthesis of the ophiolitic mélanges in the southern West Junggar terrane, NW China // Geological Journal, 2020. Vol. 55. P. 1689–1707.
- McDermott F., Harris N.B.W., Hawkesworth C.J. Geochemical constraints on crustal anatexis: a case study from the Pan-African Damara granitoids of Namibia // Contrib. Mineral. Petrol. 1996. Vol. 123. P. 406‒423.
- Miller C.F., McDowell S.M., Mapes R.W. Hot and cold granites? Implications of zircon saturation temperatures and preservation of inheritance // Geology. 2003. Vol. 31. P. 529–532.
- Neal C.R., Mahoney J.J., Chazey (III) W.J. Mantle sources and the highly variable role of continental lithosphere in basalt petrogenesis of the Kergulen Plateau and Broken Ridge LIP: Results from ODP Leg 183 // J. Petrol. 2002. Vol. 43. P. 1177–1205.
- Patiño Douce A.E. Generation of metaluminous A-type granites by lower pressure melting of calc- alkaline granitoids // Geology. 1997. Vol. 25. P. 743‒746.
- Pearce J.A. Geochemical fingerprinting of oceanic basalts with applications to ophiolite classification and the search for Archean oceanic crust // Lithos, 2008. Vol. 100. P. 14–48.
- Pearce J.A., Harris N.W., Tindle A.G. Trace element discrimination diagrams for the tectonic interpretation of granitic rocks // J. Petrol. 1984. Vol. 25. P. 956–983.
- Qian Q., Chung S.L., Lee T.Y. et al. Mesozoic high-Ba‒Sr granitoids from North China: Geochemical characteristics and geological implications // Terra Nova. 2003. Vol. 15. No. 4. P. 272–278.
- Rudnick R.L., McDonough W.F., Chappell B.W. Carbonatite metasomatism in the northern Tanzanian mantle: petrographic and geochemical characteristics // Earth Planet. Sci. Lett. 1993. Vol. 114. P. 463–475.
- Safonova I.Y., Santosh M. Accretionary complexes in the Asia-Pacific region: Tracing archives of ocean plate stratigraphy and tracking mantle plumes // Gondwana Research. 2014. Vol. 25. P. 126–158.
- Safonova I.Y. Juvenile versus recycled crust in the Central Asian Orogenic Belt: Implications from ocean plate stratigraphy, blueschist belts and intra-oceanic arcs // Gondwana Research. 2017. Vol. 47. P. 6–27.
- Stern R. Subduction Zones // Rev. Geophys. 2002. https://doi.org/10.1029/2001RG000108
- Stow D.A.V., Tabrez A.R. Hemipelagites: processes, facies and model // Geol. Soc. London, Spec. Publ. 1998. Vol. 129. No. 1. P. 317‒337.
- Sun S.S., McDonough W.F. Chemical and isotopic systematic of oceanic basalts: Implications for mantle composition and processes. ‒ In: Magmatism in the Ocean Basins, ‒ Ed.by A.D. Saunders, M.J. Norry, (Geol. Soc. London. Spec. Publ. 1989. Vol. 42), P. 313–345.
- Tarney J., Jones C.E. Trace element geochemistry of orogenic igneous rocks and crustal growth models // J. Geol. Soc. London. 1994. Vol. 151. P. 855–868.
- The Diamond–Bearing Kokchetav Massif, Kazakhstan. ‒ In: Petrochemistry and Tectonic Evolution of an Unique Ultrahigh-Pressure Metamorphic Terrane. ‒ Ed. by C.D. Parkinson, I. Katayama, J.G. Liou, S. Maruyama, (Tokyo: Univers. Acad. Press, 2002), pp. 528.
- Thompson R.N., Morrison M.A., Hendry C.N., Parry S.J. A new assessment of the relative roles of crust and mantle in magma genesis: An elemental approach // Phil. Trans. Roy. Soc. London, Ser. A. 1984. Vol. 310. P. 549–590.
- Uyeda S., Kanamori H. Back-arc opening and the mode of subduction // J. Geophys. Res. 1979. Vol. 84. P. 1049‒1061.
- Wang K., Plank T., Walker J.D., Smith E.I. A mantle melting profile across the basin and range, SW USA // J. Geophys. Res. 2002. Vol. 107. No. B1. https://doi.org/10.1029/2001JB0002092
- Whalen J.B., Currie K.L., Chappell B.W. A-type granites-geochemical char-acteristics, discrimination and petrogenesis // Contrib. Mineral. Petrol. 1987. Vol. 95. P. 407–419.
- Windley B., Xiao W. Ridge subduction and slab windows in the Central Asian Orogenic Belt: Tectonic implications for the evolution of an accretionary orogen // Gondwana Research. 2018. Vol. 61. P. 73–87
- Xu Z., Han B.F., Ren R., Zhou Y.Z., Su L. Palaeozoic multiphase magmatism at Barleik Mountain, southernWest Junggar, Northwest China: Implications for tectonic evolution of the West Junggar // Int. Geol. Rev. 2013. Vol. 55. P. 633–656.
- Yang G., Li Y., Gu P., Yang B., Tong L., Zhang H. Geochronological and geochemical study of the Darbut Ophiolitic Complex in the West Junggar (NW China): Implications for petrogenesis and tectonic evolution // Gondwana Research. 2012. Vol. 21. P. 1037–1049.
- Yang G., Li Y., Santosh M., Yang B., Zhang B., Tong L. Carboniferous intra-oceanic accretionary tectonics of the southern Altaids mélange in West Junggar (NW China): Implications for Devonian // GSA Bull. 2013. Vol. 125. No. 3–4. P. 401‒419.
- Yang G.X., Li Y.J., Santosh M., Gu P.Y., Yang B.K., Zhang B., Wang H.B., Zhong X., Tong L.L. A Neoproterozoic seamount in the Paleoasian Ocean: evidence from zircon U–Pb geochronology and geochemistry of the Mayile ophiolitic mélange in West Junggar, NW China // Lithos. 2012. Vol. 140–141. P. 53–65.
- Zhang J., Xiao W., Han C., Mao Q., Ao S., Guo Q., Ma C. A Devonian to Carboniferous intra-oceanic subduction system in Western Junggar, NW China // Lithos. 2011. Vol. 125. P. 592–606.
- Zheng B., Han B.F., Liu B., Wang Z.Z. Ediacaran to Paleozoic magmatism in West Junggar Orogenic Belt, NW China, and implications for evolution of Central Asian Orogenic Belt // Lithos. 2019. Vol. 338–339. P. 111–127.
- Zack T., Moraes R., Kronz A. Temperature dependence of Zr in rutile: Empirical calibration of a rutile thermometer // Contrib. Mineral. Petrol. 2004. Vol. 148. P. 471–488.
Supplementary files
































