Assessment of the amplitude of variations in total solar irradiance in the past
- Authors: Ogurtdov М.G.1,2
-
Affiliations:
- Ioffe institute
- Central Astronomical Observatory of the Russian Academy of Sciences at Pulkovo
- Issue: Vol 65, No 2 (2025)
- Pages: 294-304
- Section: Articles
- URL: https://bakhtiniada.ru/0016-7940/article/view/292599
- DOI: https://doi.org/10.31857/S0016794025020124
- EDN: https://elibrary.ru/CYQRMY
- ID: 292599
Cite item
Abstract
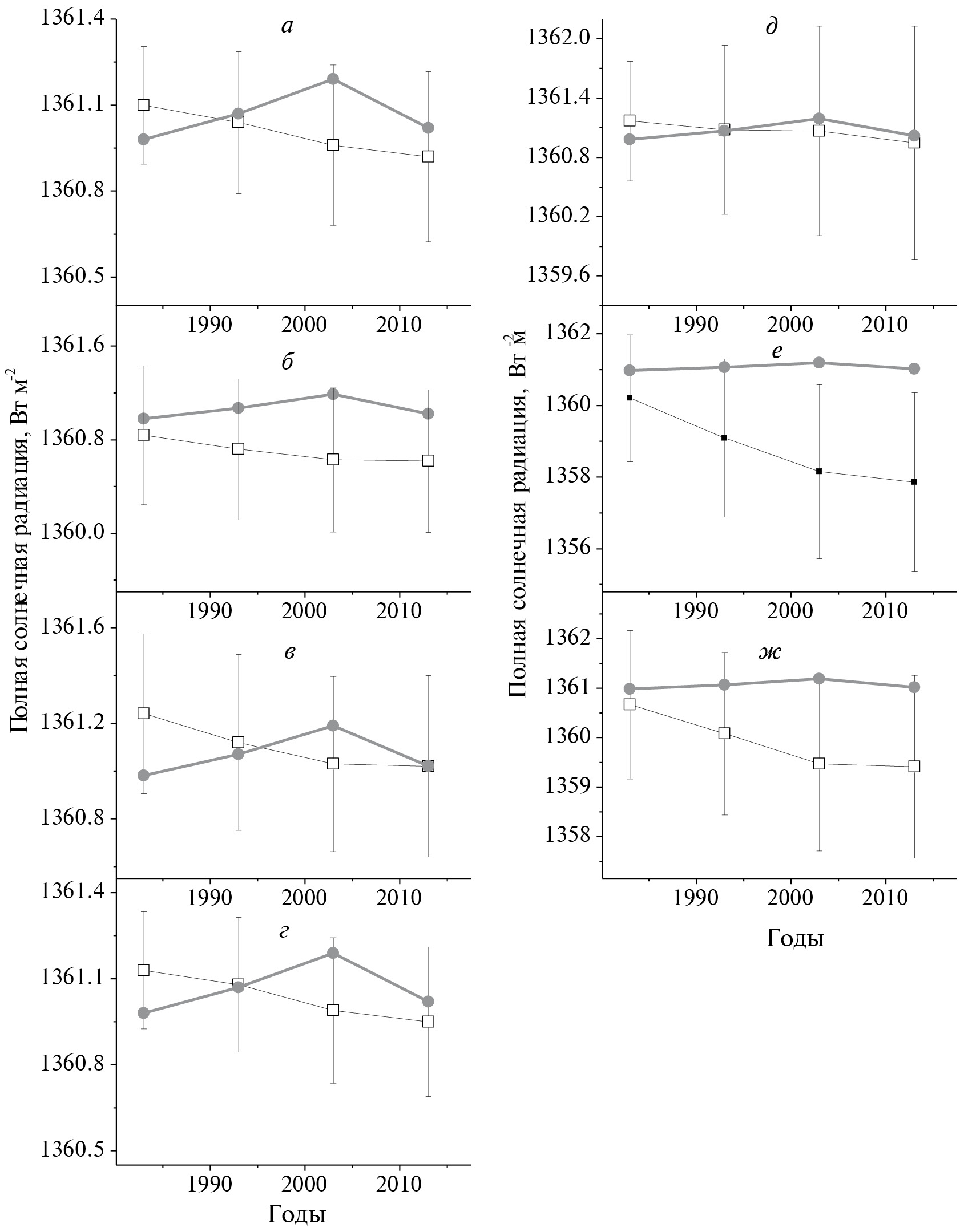
An assessment was made of how reliably various modern reconstructions of total solar irradiance reconstruct long-term changes in this value in the past. To solve this problem, a forecast of long-term changes in total solar radiation in 1978−2017 was made using seven reconstructions covering the last 12−13 centuries. The paleoreconstructions used describe long-term variations with average amplitudes from 0.22 W m–2 (series with low amplitude) to 2.36 W m–2 (series with high amplitude). A nonlinear analog prediction method was applied, and the prediction results were compared with the actually measured values. It turned out that the experimentally measured variations in total solar radiation are better predicted by the low-amplitude reconstructions. However, the possibility that solar radiation in the past experienced more significant variations and the increase in total solar radiation after the Maunder Minimum reached 2.5 W m–2 cannot be completely excluded yet. Possible climatic consequences of such solar radiation variations are discussed.
Full Text
About the authors
М. G. Ogurtdov
Ioffe institute; Central Astronomical Observatory of the Russian Academy of Sciences at Pulkovo
Author for correspondence.
Email: maxim.ogurtsov@mail.ioffe.ru
Russian Federation, St. Petersburg; St. Petersburg
References
- Bard E., Raisbeck G., Yiou F., Jouzel J. Solar irradiance during the last 1200 years based on cosmogenic nuclides // Tellus B. V. 52. № 3. P. 985−992. 2000. https://doi.org/10.1034/j.1600-0889.2000.d01-7.x
- Chatzistergos T., Krivova N.A., Yeo K.L. Long-term changes in solar activity and irradiance // J. Atmos. Sol.-Terr. Phy. V. 252. ID 106150. 2023. https://doi.org/10.1016/j.jastp.2023.106150
- Connolly R., Soon W., Connolly M. et al. How much has the Sun influenced Northern Hemisphere temperature trends? An ongoing debate // Res. Astron. Astrophys. V. 21. № 6. ID 131. 2021. https://doi.org/10.1088/1674-4527/21/6/131
- Delaygue G., Bard E. An Antarctic view of Beryllium-10 and solar activity for the past millennium // Clim. Dynam. V. 36. № 11. P. 2201−2218. 2011. https://doi.org/10.1007/s00382-010-0795-1
- Dewitte S., Cornelis J., Meftah M. Centennial total solar irradiance variation // Remote Sensing. V. 14. № 5. ID 1072. https://doi.org/10.3390/rs14051072.2022
- Dudok de Wit T., Kopp G., Fröhlich C., Schöll M. Methodology to create a new total solar irradiance record: making a composite out of multiple data records // Geophys. Res. Lett. V. 44. № 3. P. 1196−1203. 2017. https://doi.org/10.1002/2016GL071866
- Egorova T., Schmutz W., Rozanov E., Shapiro A.I., Usoskin I., Beer J., Tagirov R.V., Peter T. Revised historical solar irradiance forcing // Astron. Astrophys. V. 615. ID A85. 2018. https://doi.org/10.1051/0004-6361/201731199
- Farmer J.D., Sidorowich J. Predicting chaotic time series // Phys. Rev. Lett. V. 59. № 8. P. 845−848. 1987. https://doi.org/10.1103/PhysRevLett.59.845
- Gulev S.K., Thorne P.W., Ahn J. et al. Changing state of the climate system / Climate Change 2021: The Physical Science Basis. Contribution of Working Group I to the Sixth Assessment Report of the Intergovernmental Panel on Climate Change. Eds. P. Masson-Delmotte, V. Zhai, A. Pirani et al. Cambridge, UK and New York, NY, USA: Cambridge University Press. P. 287–422. 2021. https://doi.org/10.1017/9781009157896.004
- IPCC. 2014 / Climate Change 2014: Synthesis Report. Contribution of Working Groups I. II and III to the Fifth Assessment Report of the Intergovernmental Panel on Climate Change (Core Writing Team). Eds. R.K. Pachauri, L.A. Meyer. Geneva, Switzerland: IPCC, 151 p. 2014.
- IPCC. 2021- Summary for Policymakers / Climate Change 2021: The Physical Science Basis. Contribution of Working Group I to the Sixth Assessment Report of the Intergovernmental Panel on Climate Change. Eds. P. Masson-Delmotte, V. Zhai, A. Pirani et al. Cambridge, UK and New York, NY, USA: Cambridge University Press. P. 3−32. 2021. 10.1017/9781009157896.001' target='_blank'>https://doi: 10.1017/9781009157896.001
- Judge P.G., Lockwood G.W., Radick R.R., Henry G.W., Shapiro A.I., Schmutz W., Lindsey C. Confronting a solar irradiance reconstruction with solar and stellar data // Astron. Astrophys. V. 544. ID A88. 2012. https://doi.org/10.1051/0004-6361/201218903
- Jungclaus J.H., Bard E., Baroni M. et al. The PMIP4 contribution to CMIP6 – Part 3: The last millennium, scientific objective, and experimental design for the PMIP4 past1000 simulations // Geosci. Model Dev. V.10. № 11. P. 4005–4033. 2017. https://doi.org/10.5194/gmd-10-4005-2017
- Kopp G. Magnitudes and timescales of total solar irradiance variability // J. Space Weather Spac. V. 6. ID A30. 2016. https://doi.org/10.1051/swsc/2016025
- Lean J. Evolution of the Sun’s spectral irradiance Since the Maunder Minimum // Geophys. Res. Lett. V. 27. № 16. P. 2425−2428. 2000. https://doi.org/10.1029/2000GL000043
- Lean J.L., Coddington O., Marchenko S.V., Machol J., DeLand M.T., Kopp G. Solar irradiance variability: Modeling the measurements // Earth and Space Science. V. 7. № 8. ID e2019EA000645. 2020. https://doi.org/10.1029/2019EA000645
- Lockwood M., Ball W.T. Placing limits on long-term variations in quiet-Sun irradiance and their contribution to total solar irradiance and solar radiative forcing of climate // P. Roy. Soc. A. –Mat. Phy. V. 476. № 2238. ID 20200077. 2020. https://doi.org/10.1098/rspa.2020.0077
- Matthes K., Funke B., Anderson M. et al. Solar Forcing for CMIP6 (v3.2) // Geosci. Model Dev. V. 10. № 6. P. 2247−2302. 2017. https://doi.org/10.5194/gmd-10-2247-2017
- Montillet J.-P., Finsterle W., Kermarrec G., Sikonja R., Haberreiter M., Schmutz W., Dudok de Wit T. Data fusion of total solar irradiance composite time series using 41 years of satellite measurements // J. Geophys. Res. – Atmos. V. 127. № 13. ID e2021JD036146. 2022. https://doi.org/10.1029/2021JD036146
- Ogurtsov M. Prediction of cycle 24 based on information about solar activity during the last 10000 years // Geomagn. Aeronomy. V. 49. № 3. P. 408−411. 2009. https://doi.org/10.1134/S0016793209030165
- Ogurtsov M. New paleoclimatic evidence of an extraordinary rise in temperature in the Northern Hemisphere in the last 3−4 decades // Geogr. Ann. A. V. 104. № 4. P. 288−297. 2022. https://doi.org/10.1080/04353676.2022.2136454
- Penza V., Berrilli F., Bertello L., Cantoresi M., Criscuoli S., Giobbi P. Total solar irradiance during the last five centuries // Astrophys. J. V. 937. № 2. ID 84. 2022. https://doi.org/10.3847/1538-4357/ac8a4b
- Roth R., Joos F. A reconstruction of radiocarbon production and total solar irradiance from the Holocene 14C and CO2 records: Implications of data and model uncertainties // Clim. Past. V. 9. № 4. P. 1879−1909. 2013. https://doi.org/10.5194/cp-9-1879-2013
- Sarp V., Kilcik A., Yurchyshyn V., Rozelot J.P., Ozguc A. Prediction of solar cycle 25: A non-linear approach // Mon. Not. R. Astron. Soc. V. 481. № 3. P. 2981−2985. 2018. https://doi.org/10.1093/mnras/sty2470
- Shapiro A.I., Schmutz W., Rozanov E., Schoell M., Haberreiter M., Shapiro A.V., Nyeki S. A new approach to the long-term reconstruction of the solar irradiance leads to large historical solar forcing // Astron. Astrophys. V. 529. ID A67. 2011. https://doi.org/10.1051/0004-6361/201016173.
- Solanki S.K., Krivova N.A., Haigh J.D. Solar irradiance variability and climate // Annu. Rev. Astron. Astr. V. 51. № 1. P. 311−351. 2013. https://doi.org/10.1146/annurev-astro-082812-141007
- Steinhilber F., Abreu J.A., Beer J. et al. 9.400 years of cosmic radiation and solar activity from ice cores and tree rings // P. Natl. Acad. Sci. USA. V. 109. № 16. P. 5967−5971. 2012. https://doi.org/10.1073/pnas.1118965109
- Sugihara G., May R.M. Nonlinear forecasting as a way of distinguishing chaos from measurement error in time series // Nature. V. 344. № 6268. P. 734−741. 1990. https://doi.org/10.1038/344734a0
- Sugihara G. Nonlinear forecasting for the classification of natural time series // Phil. T. Roy. Soc. A. V. 348. № 1688. P. 477−495. 1994. https://doi.org/10.1098/rsta.1994.0106
- Wu C.-J., Krivova N.A., Solanki S.K., Usoskin I.G. Solar total and spectral irradiance reconstruction over the last 9000 year // Astron. Astrophys. V. 620. ID A120. 2018. https://doi.org/10.1051/0004-6361/201832956
- Yeo K.L., Solanki S.K., Krivova N.A., Rempel M., Anusha L.S., Shapiro A.I., Tagirov R.V., Witzke V. The dimmest state of the Sun // Geophys. Res. Lett. V. 47. № 19. ID e2020GL090243. 2020. https://doi.org/10.1029/2020GL090243
Supplementary files








