Influence of space weather conditions on the intermittency of the Pi3 irregular geomagnetic pulsations
- Authors: Kurazhkovskaya N.А.1, Klain B.I.1, Kurazhkovskii А.Y.1
-
Affiliations:
- Schmidt Institute of Physics of the Earth, Russian Academy of Sciences
- Issue: Vol 65, No 2 (2025)
- Pages: 179-196
- Section: Articles
- URL: https://bakhtiniada.ru/0016-7940/article/view/292393
- DOI: https://doi.org/10.7868/S3034502225020047
- EDN: https://elibrary.ru/CWUQPY
- ID: 292393
Cite item
Abstract
The influence of substorms intensity, solar wind and interplanetary magnetic field (IMF) parameters on the pattern of amplitude distributions (intermittency) of Pi3 pulsation bursts observed in the night sector of the magnetosphere during substorms development was studied. One-minute digital magnetic field observation data from Arctic and Antarctic observatories were used for the analysis (Heiss Island and Mirny). The index α, which reflects the slope of the cumulative distribution function of the Pi3 burst amplitudes, was considered as the main characteristic of the Pi3 pulsation intermittency. It was shown that the distributions of Pi3 burst amplitudes, depending on space weather conditions, obeyed different power laws. It was found that the α value in the northern and southern hemispheres was greater during the development of weak substorms than during the development of strong and moderate substorms. It was shown that the α values in the two hemispheres were comparable when Pi3 bursts were excited against the background of slow solar wind flows, at the northward direction of the IMF Bz component and at a high level of solar wind plasma turbulence. Under other analyzed conditions, an asymmetry in the change in the α index was found. It is assumed that the intermittency index α qualitatively characterizes the level of plasma turbulence in the region of excitation of Pi3 pulsation bursts.
Full Text
1. ВВЕДЕНИЕ
Как известно, иррегулярные геомагнитные пульсации с периодами >150 c, имеющие вид всплесков с нестационарным спектром частот, относятся к диапазону Pi3 [Пудовкин и др., 1976; Saito, 1978]. Согласно классификации [Saito, 1978] пульсации Pi3 разделяются на два вида по диапазону периодов: Pip (T < 400 с) и Ps6 (T ~ 400‒600 с). Однако обычно исследователи все длиннопериодные иррегулярные пульсации, наблюдаемые в ночном секторе авроральной зоны и связанные с интенсификацией суббурь, рассматривают их как один вид Pi3, например, [Nagano et al., 1981]. Интенсивность Pi3 существенно выше, чем других типов пульсаций, возбуждаемых во время суббурь, и изменяется от десятков до сотен нТл. Одной из характерных особенностей пульсаций Pi3 является то, что они могут наблюдаться как очень локализовано по широте, так и глобально в широком диапазоне широт и долгот, например, [Клейменова и др., 1998; Han et al., 2007].
Пространственно-временные, спектральные, поляризационные и другие характеристики пульсаций Pi3 отражены во многих публикациях, например, [Suzuki et al., 1981; Matsuoka et al., 1995; Моисеев и др., 2020; Куражковская и Клайн, 2021; Martines-Bedenko et al., 2022]. В существующей литературе обсуждаются различные возможные механизмы и области возбуждения иррегулярных пульсаций Pi3. В некоторых исследованиях [Han et al., 2007] даже утверждается, что механизмы генерации пульсации Pi3 на разных широтах должны быть различны. Считается, что источники Pi3 могут находиться как на дневной стороне магнитосферы, так и на ночной. Например, в работе [Han et al., 2007] предполагается, что глобальные пульсации Pi3 могут быть обусловлены импульсивными изменениями динамического давления солнечного ветра, и их источником является дневная сторона магнитосферы. В ряде работ, например [Клейменова и др., 1998; Козырева и др., 2009], в качестве источника возбуждения локальных по широте иррегулярных всплесков Pi3 рассматривается ночная ионосфера. Согласно работе [Клейменова и др., 1998], к генерации Pi3 может приводить интенсификация крупномасштабных трехмерных электрических токов в ионосфере во время развития суббурь на ночной стороне магнитосферы. Синхронные наблюдения высыпаний энергичных электронов, всплесков риометрического поглощения и геомагнитных пульсаций диапазона Pi3 в ночном секторе высоких широт свидетельствуют о том, что областью возбуждения Pi3 является ионосфера [Козырева и др., 2009]. Возбуждение пульсаций Pi3, наблюдаемых в полярных шапках, авторы [Yagova et al., 2004] предположительно связывают с перемежающейся турбулентностью магнитослоя и колебаниями хвостовых долей магнитосферы. Разнообразие источников пульсаций Pi3, обсуждаемых в публикациях, говорит о том, что некоторые аспекты морфологических закономерностей этого типа пульсаций остаются еще не до конца исследованными.
Ранее нами [Клайн и др., 2008; Куражковская и Клайн, 2021] было показано, что кумулятивная функция распределения (cumulative distribution function ‒ CDF) амплитуд всплесков Pi3, наблюдаемых во время развития суббурь в ночном секторе магнитосферы, следует степенному закону f (A) = A-α, где A – амплитуда всплесков, α ‒ показатель степени. Следовательно, всплескам пульсаций Pi3 присущи свойства перемежаемости. При этом показатель степени α, отражающий наклон кумулятивной функции распределения амплитуд всплесков, может рассматриваться как характеристика перемежаемости и связанной с ней турбулентности среды, в которой возникают всплески [Малинецкий и Потапов, 2000]. Вопрос о том, влияют ли условия межпланетной среды и интенсификация авроральных процессов на свойства перемежаемости пульсаций Pi3, и, соответственно, на турбулентность в области возбуждения пульсаций пока остается открытым.
Вместе с тем известно, что процесс развития суббурь тесно связан с условиями космической погоды, о чем свидетельствуют многочисленные публикации, например, [Tanskanen et al., 2011; Newell et al., 2013; Воробьев и др., 2018]. Спектр параметров гелиосферы и их комбинаций, обсуждаемых в литературе в связи с возникновением суббурь довольно широк. Одним из наиболее геоэффективных параметров, приводящих к развитию суббурь и определяющих их интенсивность, безусловно, является вертикальная Bz-компонента ММП [Akasofu, 1975]. Кроме того, появление и интенсивность суббурь зависят от направления Bx- и By-компонент ММП [Воробьев и др., 2018; Kubyshkina et al., 2018]. В работе [Newell et al., 2016] показана четкая зависимость вероятности появления суббурь от скорости солнечного ветра. Другие параметры, если и не приводят к развитию суббурь, то оказывают определенное влияние на процессы обтекания магнитосферы потоками солнечного ветра и на проникновение энергии в хвост магнитосферы. Влияние параметров космической погоды на морфологию суббурь, по-видимому, не может не отразиться на свойствах пульсаций Pi3, поскольку формирование их режима происходит во время развития суббурь.
В связи с вышесказанным и тесной связью пульсации Pi3 с развитием суббурь представляется интересным исследовать влияние параметров межпланетной среды на характер распределений амплитуд всплесков Pi3 в северном и южном полушариях. Актуальность исследования новых особенностей пульсаций Pi3 возрастает еще и в связи с тем, что возмущения геомагнитного поля в диапазоне Pi3, наряду с магнитными бурями и суббурями, могут приводить к возбуждению геоиндуцированных токов, которые являются одним из факторов космической погоды, оказывающих влияние на линии электропередач и другие наземные технологические системы [Pilipenko et al., 2023]. В рамках данной работы мы исследуем влияние интенсивности суббурь, скорости солнечного ветра и компонент ММП на закономерности перемежаемости пульсаций Pi3. Кроме того, мы рассмотрим влияние на свойства перемежаемости Pi3 плазменного параметра β солнечного ветра. Параметр β равен отношению теплового давления к магнитному: β = NkT/(B2/8π), где N и T ‒ плотность (см-3) и температура (°K) плазмы протонов солнечного ветра, B ‒ величина межпланетного магнитного поля (нТл). Как известно, параметр β является одним из параметров, контролирующих развитие процессов пересоединения межпланетного и геомагнитного поля и состояние турбулентности плазмы солнечного ветра [Phan et al., 2010; Wang et al., 2018]. Спутниковые наблюдения показали, что при 0 < β ≤ 1.3 плазма солнечного ветра высоко турбулизована, а при β > 1.3 слабо турбулизована [Wang et al., 2018]. Влияние параметра β солнечного ветра на перемежаемость Pi3, связанной с турбулентностью плазмы в области возбуждения пульсаций, ранее не исследовалось.
Целью данной работы является исследование влияния интенсивности суббурь, скорости солнечного ветра, направления компонент ММП и параметра β на свойства перемежаемости иррегулярных пульсаций Pi3, наблюдаемых в высоких широтах северного и южного полушарий Земли во время развития суббурь.
2. ИСПОЛЬЗУЕМЫЕ ДАННЫЕ
Исходным материалом для анализа перемежаемости всплесков пульсаций Pi3 служили одноминутные цифровые данные наблюдений магнитного поля обсерваторий Арктики и Антарктики: о. Хейса (код HIS, исправленные геомагнитные координаты Φ′ = 74.80°, Λ′ = 144.46°) за период 1997–1998 гг. и Мирный (код MIR, исправленные геомагнитные координаты Φ′ = –76.93°, Λ′ = 122.92°) за период 1995–1998 гг. из Мирового Центра Данных по Солнечно-Земной Физике, Москва (http://www.wdcb.ru/stp/data/geo_min.val/Variational_Measurements/Database_Earth_Magnetic_Field_Variations/). За этот же период среднечасовые параметры солнечного ветра и ММП получены из базы данных OMNI 2 (http://omniweb.gsfc.nasa.gov/ow.html). Одноминутные данные AL-индекса и часовые значения AE-индекса взяты из Word Data Centre for Geomagnetism, Kyoto (https://wdc.kugi.kyoto-u.ac.jp/wdc/Sec3.html). Кроме того, использовался “Каталог крупномасштабных явлений солнечного ветра для периода 1976–2002 гг.” (ftp://ftp.iki.rssi.ru/pub/omni/catalog/), описание которого приведено в работе [Ермолаев и др., 2009].
В качестве характеристики перемежаемости пульсаций Pi3, как и в предыдущих работах [Клайн и др., 2008; Куражковская и Клайн, 2021], мы рассматривали показатель α, получаемый в результате аппроксимации кумулятивной функции распределения амплитуд всплесков Pi3 степенной функцией. Для каждого всплеска Pi3 рассматривалась максимальная амплитуда (A) волнового пакета Pi3, которая находилась из выражения: , где H и D – максимальные значения меридиональной и азимутальной составляющих магнитного поля. Более подробно методика получения показателя α изложена в работе [Куражковская и Клайн, 2015]. Кроме того, для предварительного сравнительного анализа свойств пульсаций Pi3, наблюдаемых в северном и южном полушарии, рассматривались характеристики: 1) продолжительность волнового пакета пульсаций Pi3 ‒ t; 2) максимальная спектральная плотность отдельных всплесков Pi3 ‒ Smax; 3) частота, соответствующая максимальной спектральной плотности ‒ f. Предварительно одноминутные данные наземных магнитных наблюдений фильтровались в полосе частот (1.2‒3.4) мГц. Далее проводился спектрально-временной анализ всплесков Pi3 на основе метода быстрого преобразования Фурье. По полученным амплитудным спектрам всплесков Pi3 оценивалась величина максимальной спектральной плотности Smax и частота ей соответствующая f.
3. РЕЗУЛЬТАТЫ ИССЛЕДОВАНИЯ
3.1. Сравнение характеристик пульсаций Pi3, наблюдаемых в HIS и MIR
Для проведения данного исследования был использован список случаев наблюдения всплесков Pi3, который был составлен ранее в работе [Куражковская и Клайн, 2021]. За анализируемые периоды по данным регистрации магнитного в HIS и MIR поля исследовались 306 и 416 случаев всплесков Pi3 соответственно. Прежде чем переходить к анализу свойств перемежаемости пульсаций Pi3, наблюдаемых в HIS и MIR, сравним их некоторые характеристики и морфологические закономерности на двух обсерваториях. На рис. 1 приведены типичные примеры наблюдения всплесков пульсаций Pi3 (H-компонента) в HIS – 9.11.1997 и MIR – 13.03.1995. Спектры анализируемых пульсаций на временном интервале их наблюдения показаны справа. В нижней части рисунка дана динамика AL-индекса, отражающего интенсивность западного электроджета в авроральной зоне. По обыкновению, пульсации Pi3 наблюдались на фоне отрицательных бухт в динамике AL-индекса продолжительностью более 20 мин и минимальной величиной AL-индекса менее –100 нТл, что соответствовало развитию магнитосферных суббурь [Hsu and McPherron, 2007]. Таким образом, пульсации Pi3 в двух полушариях возбуждались во время развития суббурь в ночном секторе магнитосферы. В это время обсерватории HIS и MIR располагались в области северной и южной полярной шапки. Далее будет проведено сравнение некоторых характеристик пульсаций Pi3, наблюдаемых в полярных областях магнитосферы. Как правило, всплески Pi3, наблюдаемые в северном и южном полушарии, имели каплеобразную форму. Средняя продолжительность всплесков Pi3 в HIS и MIR была примерно одинаковой и составляла t ~ 65 мин. Средняя амплитуда всплесков в HIS (A = 440 нТл) была существенно выше, чем в MIR (A = 302 нТл).
Рис. 1. Типичные примеры наблюдения пульсаций Pi3 (H – компонента) в обсерваториях о. Хейса (9.11.1997) и Мирный (13.03.1995). Справа показаны амплитудные спектры пульсаций Pi3 на интервале их наблюдения. Ниже приведена динамика AL-индекса.
Амплитудные спектры пульсаций Pi3, полученные на интервалах наблюдения пульсаций в HIS и MIR, имели несколько пиков, что свидетельствовало о сложной структуре колебаний. Для каждого случая наблюдения пульсаций Pi3 в HIS и MIR по спектрам были оценены спектральная плотность основного максимума Smax и частота f, ему соответствующая. Сравнение спектрального состава колебаний Pi3 (распределений Smax и f) в двух полушариях представлено на рис. 2. Диапазоны изменения максимальной спектральной плотности всплесков Pi3 в HIS и MIR были примерно подобны и изменялись в пределах от 40‒50 до 170 (в относительных единицах). Однако в доминирующем числе случаев величина максимальной спектральной плотности всплесков Pi3 в HIS была выше (Smax = = 100‒110), чем в MIR (Smax= 90‒100). Частота волновых пакетов f, соответствующая Smax, в HIS занимала диапазон от 1.2 до 3.0 мГц, а в MIR от 1.4 до 3.4 мГц. Всплески Pi3 с наибольшей спектральной плотностью наблюдались как в HIS, так и в MIR преимущественно на частоте f = 2.2‒2.4 мГц.
Рис. 2. Зависимость частоты наблюдения N пульсаций Pi3 в HIS и MIR от максимальной спектральной плотности волновых пакетов Smax и соответствующей ей частоты f.
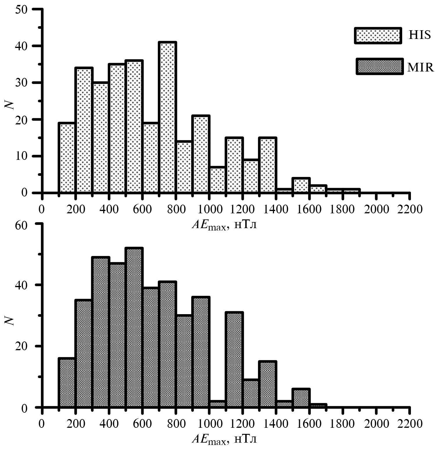
3.2. Зависимость частоты наблюдения пульсаций Pi3 в HIS и MIR от максимальной интенсивности суббурь
Как уже отмечалось выше, случаи регистрации Pi3 в HIS и MIR наблюдались во время развития суббурь в ночном секторе. На рис. 3 приведена зависимость частоты наблюдения всплесков Pi3 в HIS и MIR от максимальной интенсивности суббурь (AEmax), характеризуемой величиной AE-индекса. Видно, что интенсивность суббурь, во время развития которых наблюдались пульсации Pi3, изменялась в широком диапазоне от 100 нТл до 1000 нТл и более. В HIS пульсации Pi3 преимущественно наблюдались во время суббурь, интенсивность которых составляла 700‒800 нТл, а в MIR величина AEmax в доминирующем числе случаев была 500‒600 нТл. Обычно для классификации суббурь по интенсивности используют величину AL − [Воробьев и др., 2018] или AE − [Fu et al., 2021] индексов. Например, согласно [Fu et al., 2021], если максимальная величина AE-индекса (AEmax) суббурь принадлежит диапазонам 100 нТл < < AEmax ≤ 500 нТл, 500 нТл < AEmax ≤ 1000 нТл или AEmax > 1000 нТл, то суббури считаются слабыми, умеренными или сильными соответственно. Судя по распределению AEmax (рис. 3), в северном и южном полушарии всплески Pi3 возбуждались как во время слабых и умеренных, так и сильных по интенсивности суббурь. Причем, преимущественно, всплески Pi3 в обоих полушариях наблюдались во время развития умеренных суббурь (43% в HIS и 48% случаев в MIR). Вероятность наблюдения пульсаций Pi3 во время развития слабых суббурь была немного ниже (38% в HIS и 36% случаев в MIR). Во время развития сильных суббурь наблюдалось меньше всего случаев пульсаций Pi3 (18% в HIS и 16% в MIR). Таким образом, можно отметить, что возбуждение всплесков Pi3 в северном и южном полушарии происходило, главным образом, на фоне суббурь низкой и средней интенсивности. Средняя амплитуда всплесков Pi3 возрастала с увеличением интенсивности суббурь и примерно была в два раза больше во время сильных суббурь по сравнению со слабыми суббурями.
Рис. 3. Зависимость частоты наблюдения N пульсаций Pi3 в HIS и MIR от максимальной интенсивности суббурь, характеризуемой величиной AE-индекса.
3.3. Суточные вариации всплесков Pi3 в HIS и MIR
Подтверждением преимущественного появления пульсаций Pi3 в ночном секторе магнитосферы является их суточная вариация частоты наблюдения. На рис. 4 показана нормированная на максимальное число случаев зависимость частоты наблюдения N/Nmax всплесков Pi3 в HIS и MIR от локального времени. Наиболее вероятное время наблюдения всплесков Pi3 в двух полушариях приходится на интервал от вечерних до ранних утренних часов. Видно, что суточные вариации всплесков Pi3 в HIS и MIR ассиметричны относительно полуночного меридиана. Распределения N/Nmax в HIS и MIR подобны по форме, но различаются по положению максимумов частоты наблюдения. Так, в HIS максимум частоты наблюдения соответствует послеполуночным часам (00:00‒01:00 MLT). В MIR максимум суточной вариации наблюдается в предполуночное время (22:00‒23:00 MLT).
Рис. 4. Суточная вариация частоты наблюдения, нормированной на максимальное число случаев N/Nmax пульсаций Pi3 в HIS и MIR.
3.4. Зависимость частоты наблюдения всплесков Pi3 в HIS и MIR от крупномасштабных течений солнечного ветра
В работе [Дэспирак и др., 2019] показано, что на появление магнитосферных суббурь существенное влияние оказывают крупномасштабные структуры потоков солнечного ветра. Поскольку исследуемые пульсации Pi3 наблюдались в двух обсерваториях во время развития суббурь, представлялось целесообразным выяснить, во время каких типов потоков солнечного ветра происходит их возбуждение. Для этого мы использовали “Каталог крупномасштабных явлений солнечного ветра для периода 1976–2002 гг.”, в котором отражены как квазистационарные, так и возмущенные типы солнечного ветра. Проводилось одновременное сопоставление временных интервалов регистрации пульсаций Pi3 в HIS и MIR и наблюдения различных типов крупномасштабных течений солнечного ветра. Результаты анализа показали, что всплески Pi3 наблюдались в HIS и MIR на фоне семи типов крупномасштабных структур солнечного ветра. Эти структуры идентифицированы в каталоге [Ермолаев и др., 2009], как 1) медленное квазистационарное течение плазмы солнечного ветра из корональных стримеров – SLOW; 2) высокоскоростное течение солнечного ветра из корональных дыр – FAST; 3) выбросы корональной массы (Coronal Mass Ejection – CME); 4) область сжатой плазмы на фронте быстрых течений из полярных корональных дыр и медленных течений из корональных стримеров (Corotating Interaction Region – CIR); 5) область сжатия перед передним фронтом поршня – SHEATH; 6) гелиосферный токовый слой (Heliospheric Current Sheet – HCS); 7) магнитные облака (Magnetic Cloud – MC). Однако, как следует из гистограммы зависимости частоты наблюдения всплесков Pi3 в двух обсерваториях от перечисленных выше типов течений солнечного ветра (рис. 5), доминирующая часть всплесков Pi3 в HIS (33% случаев) наблюдалась на фоне SLOW, а в MIR (39% случаев) на фоне FAST. Число случаев всплесков Pi3, наблюдавшихся в HIS на фоне других течений было существенно меньше и составило: FAST ‒ 21%, CME ‒ 16%, CIR ‒ 9%. В MIR всплески Pi3 наблюдались на фоне SLOW –в 22% случаев, CME – в 14% случаев, CIR – в 11% случаев. На фоне SHEATH, HCS и MC как в HIS, так и в MIR наблюдалось менее 10% случаев (рис. 5).
Рис. 5. Распределение частоты появления N пульсаций Pi3 в HIS и MIR от крупномасштабных течений солнечного ветра.
Таким образом, сравнение характеристик всплесков Pi3, наблюдаемых в двух полушариях, показало, что они имели примерно одинаковый спектральный состав, продолжительность волновых пакетов, но различались по уровню амплитуд, величине спектральной плотности, интенсивности суббурь, во время которых происходило их преимущественное возбуждение. Кроме того, выявлены различия в суточной вариации и в типах потоков солнечного ветра, на фоне которых происходит возбуждение пульсаций Pi3.
Далее перейдем к анализу амплитудных закономерностей всплесков Pi3, наблюдаемых в HIS и MIR в зависимости от условий космической погоды. Поскольку суббури являются одним из геомагнитных эффектов космической погоды, первоначально рассмотрим влияние интенсивности суббурь на перемежаемость всплесков Pi3.
3.5. Зависимость перемежаемости всплесков Pi3 в HIS и MIR от интенсивности суббурь
Как уже отмечалось выше, интенсивность суббурь во время наблюдения пульсаций Pi3 изменялась в широком диапазоне (рис. 3). Используя принцип классификации суббурь из работы [Fu et al., 2021], мы разделили все случаи всплесков Pi3 как в HIS, так и в MIR на три кластера: пульсации Pi3, возбуждаемые во время слабых, умеренных и сильных суббурь. Для каждого кластера отдельно был проанализирован характер распределений амплитуд всплесков Pi3, наблюдаемых в двух полушариях. На рис. 6 представлены полученные распределения амплитуд N(A) всплесков Pi3 в HIS и MIR (черная и серая кривые соответственно). В правой части рисунка показаны CDF амплитуд всплесков Pi3 в HIS и MIR (темные и светлые кружки соответственно), начиная с некоторого порогового значения A0, в логарифмическом масштабе и их аппроксимации степенной функцией. Черная и серая линии соответствуют степенному закону распределения амплитуд всплесков Pi3, наблюдаемых в HIS и MIR соответственно. Для удобства сопоставления свойств перемежаемости пульсаций Pi3 в северном и южном полушарии на каждом из графиков распределения амплитуд и аппроксимация их CDF даны попарно (в HIS и MIR).
Рис. 6. Зависимость перемежаемости пульсаций Pi3 в HIS и MIR от максимальной интенсивности суббурь. Слева показаны распределения N(A) амплитуд всплесков пульсаций Pi3 в HIS (черная кривая) и MIR (серая кривая). Справа приведены кумулятивные функции распределений CDF амплитуд пульсаций Pi3 в HIS и MIR (темные и светлые кружки соответственно) и их аппроксимация степенной функцией (черная и серая линии соответственно).
Как видно из рис. 6, независимо от интенсивности суббурь распределения амплитуд пульсаций Pi3 в северном и южном полушарии имеют негауссову форму (сильнее выражены хвосты распределений). Заметим, что подобные распределения называют распределениями с “тяжелыми хвостами” (heavy tails или fat tails). По обыкновению хвосты таких распределений довольно хорошо аппроксимируются степенной функцией вида: f(x)= x-α (α ‒ показатель степени) при всех x, превышающих некоторый порог x0 (x>x0) [Малинецкий, Потапов, 2000]. Применительно к пульсациям Pi3 распределения амплитуд всплесков для трех кластеров, выделенных по признаку интенсивности суббурь, следуют степенному закону f (A) = A-α, где A – амплитуда всплесков, α − показатель степени. Однако, степенные законы в HIS и MIR, которым подчиняются распределения амплитуд всплесков Pi3, значительно различаются, о чем свидетельствуют разные наклоны аппроксимирующих прямых. Одной из особенностей полученных распределений является существенное различие величины показателя α в HIS и MIR. В северном полушарии величина показателя α существенно меньше, чем в южном полушарии (αHIS < αMIR), и иногда может различаться примерно в 2 раза. Более того, значения показателя α в HIS меньше, чем в MIR независимо от того, к какому кластеру относятся пульсации Pi3. Другой особенностью полученных распределений является то, что как в HIS, так и в MIR показатель α больше по величине во время слабых суббурь, чем во время умеренных и сильных. Так, в HIS показатель перемежаемости во время слабых суббурь равен α = 1.75, а во время умеренных и сильных α = 1.30 и α = 1.55 соответственно. Аналогичная тенденция изменения параметра α характерна для случаев наблюдения в Pi3 в MIR. Величина показателя α в MIR для кластера слабых суббурь составляет α = 3.50, а для умеренных и сильных суббурь α = 2.79 и α = 3.05 соответственно.
3.6. Зависимость закономерностей перемежаемости всплесков Pi3 в HIS и MIR от условий космической погоды
Исследование свойств перемежаемости пульсаций Pi3 в зависимости от условий космической погоды по аналогии с предыдущим разделом также основано на делении всех анализируемых случаев на кластеры. Так, из рис. 5 следует, что всплески Pi3 в HIS и MIR, главным образом, наблюдаются во время SLOW и FAST соответственно. Согласно каталогу [Ермолаев и др., 2009] плазменные потоки, скорость которых V < 450 км/с, рассматриваются как медленные потоки – SLOW, а потоки с V ≥ 450 км/с как быстрые потоки – FAST. Исследование зависимости частоты наблюдения пульсаций Pi3 от скорости солнечного ветра показало, что в HIS 55% и 45% случаев пульсаций Pi3 наблюдалось при V < 450 км/с и V ≥ 450 км/с соответственно. В MIR пульсации Pi3 преимущественно (61% случаев) наблюдались при V ≥ 450 км/с, а при V < 450 км/с в MIR наблюдалось всего 39% всплесков Pi3. В связи с этим представляется целесообразным сравнить характер распределений амплитуд всплесков Pi3 на каждой из обсерваторий для двух кластеров: всплесков Pi3, наблюдаемых при V < 450 км/с и при V ≥ 450 км/с.
Анализ поведения компонент ММП во время наблюдения всплесков Pi3 показал, что примерно 70% случаев Pi3 в HIS и MIR регистрировались при Bz < 0 и 30% при Bz > 0. Пульсации Pi3 в HIS и MIR наблюдались как при Bx < 0 (45% случаев), так и Bx > 0 (55% случаев). В зависимости от направления By-компоненты в 55% случаев Pi3 наблюдались при By < 0 и в 45% случаев при By > 0 как в HIS, так и в MIR. Преимущественное наблюдение пульсаций Pi3 в двух полушариях при отрицательном значении By-компоненты ММП является благоприятным условием для генерации суббурь низкой и средней интенсивности [Воробьев и др., 2018]. Действительно, как следует из раздела 3.2, пульсации Pi3 в HIS и MIR наблюдались на фоне развития слабых и умеренных суббурь, что согласуется с результатами работы [Воробьев и др., 2018]. Учитывая направление компонент ММП, все случаи Pi3 на каждой из обсерваторий были разделены на 6 кластеров в зависимости от знака Bx-, By- и Bz-компонент ММП: всплески Pi3, наблюдаемые при Bx < 0 и Bx > 0; By < 0 и By > 0; Bz < 0 и Bz > 0.
С целью выяснения влияния турбулентности плазмы солнечного ветра на свойства перемежаемости всплесков Pi3, использован параметр β. Судя по результатам работы [Wang et al., 2018], различают два диапазона изменения величины параметра β солнечного ветра: 0 < β ≤ 1.3 и β > 1.3, один из которых отражает высокую, другой низкую степень турбулентности плазмы солнечного ветра. Основываясь на результатах этой работы, все события всплесков Pi3 в HIS и MIR были разделены на два кластера: всплески Pi3, наблюдаемые при 0 <β ≤1.3 и β > 1.3. Таким образом, в зависимости от величины скорости солнечного ветра, направления компонент ММП и величины β параметра было сформировано 10 кластеров. С учетом трех кластеров, выделенных в зависимости от интенсивности суббурь, всего было образовано 13 кластеров. Для каждого из кластеров выполнялось отдельное исследование характера CDF амплитуд пульсаций Pi3 и получены оценки показателя α. В табл. 1 приведены обозначения кластеров, число случаев всплесков Pi3, их средняя амплитуда и показатели перемежаемости α, полученные в каждом кластере.
Таблица 1. Оценки средних значений амплитуд всплесков Pi3 и показателя перемежаемости α в HIS и MIR в зависимости от интенсивности суббурь и параметров солнечного ветра и ММП
Параметр | HIS | MIR | ||||
N | A, нТл | α | N | A, нТл | α | |
100 нТл < AE ≤500 нТл | 118 | 340 | 1.75 | 147 | 218 | 3.50 |
500 нТл < AE ≤1000 нТл | 131 | 459 | 1.30 | 198 | 317 | 2.79 |
AE >1000 нТл | 55 | 618 | 1.55 | 66 | 454 | 3.05 |
V < 450 км/с | 166 | 342 | 2.02 | 162 | 201 | 2.69 |
V ≥ 450 км/с | 137 | 548 | 1.21 | 251 | 368 | 3.16 |
Bx < 0 | 136 | 444 | 1.63 | 186 | 299 | 2.92 |
Bx ≥ 0 | 168 | 429 | 1.70 | 227 | 306 | 2.34 |
By < 0 | 168 | 468 | 1.49 | 231 | 303 | 2.34 |
By ≥ 0 | 136 | 396 | 1.79 | 182 | 303 | 3.24 |
Bz < 0 | 221 | 462 | 1.38 | 288 | 324 | 3.00 |
Bz ≥ 0 | 83 | 364 | 2.30 | 125 | 253 | 2.48 |
0 < β ≤ 1.3 | 134 | 413 | 2.56 | 157 | 294 | 2.56 |
β > 1.3 | 169 | 453 | 1.65 | 255 | 308 | 3.90 |
Результаты анализа характера распределений амплитуд всплесков Pi3 в зависимости от скорости солнечного ветра, направления компонент ММП и β параметра представлены на рисунках 7–9. Из оценок показателя α, приведенных на рисунках и табл. 1, следует, что всплески пульсаций Pi3, наблюдаемые в HIS и MIR, всегда возбуждались в высокотурбулизованной среде (величина показателя α > 1 и в отдельных случаях была > 3). Независимо от рассмотренных параметров (V, Bx-, By- и Bz-компоненты ММП и β) в MIR величина показателя α всегда была больше, чем HIS. Распределения амплитуд всплесков Pi3 в каждом из кластеров (при V < 450 км/с и V ≥ 450 км/с, Bx < 0 и Bx > 0; By < 0 и By > 0; Bz < 0 и Bz > 0, 0 < β ≤ 1.3 и при β > 1.3) подчинялись, в основном, разным степенным законам. Тем не менее, в 3-х из 10-ти кластеров обнаруживается подобие наклона аппроксимирующих прямых в Северном и Южном полушарии. Так, например, при медленном солнечном ветре (V < 450 км/с) характер распределений амплитуд всплесков Pi3 таков, что в HIS и MIR аппроксимирующие прямые практически параллельны друг другу и показатели α близки по величине (рис. 7). Аналогичное поведение наклона аппроксимирующих прямых в двух полушариях наблюдается при Bz > 0 и 0 < β ≤1.3 (рис. 8 и рис. 9). Неожиданным оказалось подобие степенных законов в HIS и MIR при 0 < β ≤ 1.3, т.е., когда плазма солнечного ветра сильно турбулизована. В данном случае величина показателя αHIS = αMIR =2.56.
Рис. 7. Зависимость перемежаемости пульсаций Pi3 в HIS и MIR от скорости медленного и быстрого потоков солнечного ветра. Обозначения такие же, как на рис. 6.
Рис. 8. Зависимость перемежаемости пульсаций Pi3 в HIS и MIR от направления Bx-, By- и Bz-компонент ММП. Обозначения такие же, как на рис. 6.
Рис. 9. Зависимость перемежаемости пульсаций Pi3 в HIS и MIR от величины плазменного параметра β. Обозначения такие же, как на рис. 6.
Обращает на себя внимание асимметричное поведение показателя α в двух полушариях практически в зависимости от всех параметров. Так, в HIS величина показателя α больше при медленном потоке солнечного ветра (V < 450 км/с), чем при быстром (V ≥ 450 км/с) и составляет 2.02 и 1.21 соответственно. В MIR отмечается обратная тенденция: распределение амплитуд всплесков Pi3, наблюдаемых во время FAST, аппроксимировалось степенной функцией с большим показателем α (3.16), чем во время SLOW (2.69). Также асимметричное поведение α в двух полушариях магнитосферы типично при разных направлениях радиальной и вертикальной компоненты ММП. Если в HIS при Bx < 0 и Bz < 0 величина α меньше, чем при Bx > 0 и Bz > 0, то в MIR, наоборот, при положительном знаке этих компонент ММП показатель α меньше, чем при отрицательном знаке. В HIS величина показателя α при сильной турбулентности солнечного ветра (0 < β ≤ 1.3) больше, чем при слабой турбулентности (β > 1.3) и составляет 2.56 и 1.63 соответственно. В MIR при слабой турбулентности солнечного ветра показатель α больше (3.90), чем при сильной турбулентности солнечного ветра (2.56). Исключение составляет зависимость характера распределений амплитуд всплесков Pi3 от знака By-компоненты ММП. Тенденция поведения α при By < 0 и By > 0 в двух полушариях подобна. При By < 0 показатель α в HIS и MIR равен 1.49 и 2.34 соответственно, что меньше, чем при By > 0 (1.79 и 3.24). Таким образом, при условиях V ≥ 450 км/с, Bz < 0, Bx < 0, Bx > 0, β > 1.3 отмечалось четкое различие степенных законов распределений амплитуд всплесков Pi3 в двух полушариях и соответственно различие показателей перемежаемости.
4. ОБСУЖДЕНИЕ
В данной работе выполнено сравнение некоторых морфологических закономерностей пульсаций Pi3 и проанализированы их свойства перемежаемости по данным наблюдений двух обсерваторий Арктики и Антарктики, расположенных в примерно сопряженных областях. Обсерватории HIS и MIR смещены относительно друг друга всего на ∼ один часовой пояс по геомагнитной долготе и на ∼ два градуса по геомагнитной широте. Исходя из расположения обсерваторий в квазисопряженных областях магнитосферы, следовало ожидать подобия как морфологических характеристик, так и закономерностей перемежаемости пульсаций Pi3 в северном и южном полушарии. Однако в результате сравнительного анализа пульсаций Pi3, регистрируемых в HIS и MIR, были выделены их не только подобные, но и различные закономерности. Так, в HIS и MIR пульсации Pi3 имели примерно одинаковый спектральный состав и среднюю продолжительность волновых пакетов. В северном и южном полушариях всплески Pi3 наблюдались в ночном секторе полярных широт преимущественно во время развития умеренных суббурь (500 нТл < AEmax ≤ 1000 нТл). Кроме того, возбуждение всплесков Pi3 происходило при некоторых подобных параметрах гелиосферы. Например, наибольшая вероятность появления всплесков Pi3 в обоих полушариях отмечалась при одинаковом направлении компонент ММП (Bz < 0, Bx > 0 и By < 0). Также всплески Pi3 как в HIS, так и в MIR в доминирующем числе случаев наблюдались при величине параметра β > 1.3 (при относительно слабой турбулентности солнечного ветра).
Согласно результатам работы [Куражковская и Клайн, 2021] пульсации Pi3 обладают эллиптической поляризацией. В связи с этим пульсации Pi3 можно отождествить с альвеновскими волнами, распространяющимися вдоль внешнего магнитного поля Земли. Приемлемой моделью для таких волн может служить нелинейное уравнение Шредингера [Захаров и др., 1988]:
. (1)
Простая модель, учитывающая основные особенности уравнения (1), основывается на принципах реализации переключающей перемежаемости [Bartucelli et al., 1990; Малинецкий и Потапов, 2000]. Основные выводы этих работ сводятся к тому, что плотность вероятности амплитуд выбросов, как и в работе [Захаров и др., 1988], характеризуется степенной асимптотикой: . При исследовании характера распределений амплитуд пульсаций Pi3 этот факт был принят нами как гипотеза.
Проведенное исследование показало, что в обоих полушариях распределения амплитуд всплесков Pi3 независимо от условий космической погоды подчинялись степенному закону. Как правило, в северном и южном полушарии величина показателей перемежаемости α была >1 и в отдельных случаях >3. Следовательно, всплески Pi3 в обоих полушариях возбуждались в высоко турбулизованной среде [Малинецкий и Потапов, 2000]. При некоторых условиях космической погоды наклоны прямых, аппроксимирующих CDF амплитуд всплесков Pi3, были подобны в двух полушариях, а показатели перемежаемости α были практически одинаковыми по величине. Это означает, что распределения амплитуд всплесков Pi3 в двух полушариях характеризуются примерно подобными степенными законами. Например, при межпланетных условиях V < 450 км/с, Bz > 0 и 0 < β ≤ 1.3 значения показателей перемежаемости в HIS и MIR отличались незначительно. Исходя из этого, можно предположить, что при медленном солнечном ветре, отсутствии процессов пересоединения на передней границе магнитосферы и высоком уровне турбулентности плазмы солнечного ветра всплески Pi3 возбуждались в двух полушариях в среде с примерно одинаковой турбулентностью. Иными словами, при этих условиях свойства перемежаемости были практически симметричны в двух полушариях. Поскольку CDF амплитуд всплесков Pi3 при V < 450 км/с, Bz > 0 и 0 < β ≤ 1.3 подчинялись примерно одинаковым степенным законам, то они могли проникать из одного источника в северное и южное полушарие и иметь одинаковые механизмы генерации. Судя по суточной вариации частоты наблюдения пульсаций Pi3 и их тесной связи с суббурями, предположительно область возбуждения пульсаций Pi3, скорее всего, находится в хвосте магнитосферы, плазма которого сильно турбулизована [Будаев и др., 2011; Левашов и др., 2022].
Однако помимо сходства характеристик всплесков Pi3 в двух полушариях имелись и существенные различия между ними. Пульсации Pi3 в HIS и MIR различались по уровню средних амплитуд и величине спектральной плотности (рис. 2). В основном, средняя амплитуда и спектральная плотность всплесков Pi3 в северном полушарии была выше, чем в южном. Выявлены различия в суточной вариации частоты наблюдения всплесков Pi3 по местному магнитному времени. В северном полушарии всплески Pi3 появлялись чаще после полуночи, а в южном полушарии до полуночи (рис. 4). Всплески Pi3 генерировались в HIS и MIR на фоне различных типов крупномасштабных потоков солнечного ветра (рис. 5).
Степенные законы в HIS и MIR, которым подчиняются распределения амплитуд всплесков Pi3, значительно различались в зависимости от типа суббурь, а также от направления компонент ММП (за исключением условия Bz > 0) и от величины параметра β (а именно при β > 1.3), о чем свидетельствовали разные наклоны аппроксимирующих прямых. Показано, что при V ≥ 450 км/с, Bz < 0, Bx < 0, Bx > 0, β > 1.3 отмечалась асимметрия в обоих полушариях магнитосферы в поведении показателя α. В зависимости от направления By-компоненты различий в тенденции поведения показателя α в HIS и MIR не выявлено. В связи с тенденцией следования CDF амплитуд Pi3 разным степенным законам, есть основания полагать, что всплески Pi3 могут иметь различное происхождение в двух полушариях и возможно разные механизмы генерации.
Полученные результаты позволяют на качественном уровне оценить степень турбулентности плазмы в области возбуждения пульсаций Pi3. Так, исходя из результатов, представленных на рис. 6, можно предположить, что во время развития суббурь плазма в области генерации пульсаций Pi3 сильнее турбулизована в южном, чем в северном полушарии. Одним из объяснений наблюдаемых различий степени турбулентности в области возбуждения пульсаций Pi3 может быть их принадлежность к разному типу суббурь. Согласно [Клейменова и др., 2012] различают суббури полярные и высокоширотные. В работе [Дэспирак и др., 2019] показано, что полярные и высокоширотные суббури наблюдаются при различных условиях в солнечном ветре. Полярные суббури наблюдаются на геомагнитных широтах >70° преимущественно во время SLOW (V < 450 км/с). Высокоширотные суббури (аналог классических суббурь), возбуждаясь на широтах < 70°, перемещаются в область полярной шапки и наблюдаются, главным образом, на фоне FAST (V ≥ 450 км/с). Не исключено, что в HIS возбуждение всплесков Pi3 связано с полярными суббурями, а в MIR с высокоширотными, поскольку вероятность наблюдения двух типов суббурь и всплесков Pi3 в зависимости от типа потоков солнечного ветра совпадает. Исходя из полученных результатов, следует ожидать более высокий уровень турбулентности плазмы в области возбуждения пульсаций Pi3 во время развития классических суббурь, чем полярных суббурь.
Некоторые морфологические различия и особенности перемежаемости всплесков Pi3, наблюдаемых в двух полушариях, могут быть обусловлены также топологическими особенностями магнитосферы, поскольку расположение обсерваторий HIS и MIR таково, что между ними имеется небольшой сдвиг по геомагнитной широте и долготе. Другим фактором, влияющим на различие свойств всплесков Pi3, может быть специфика режима обтекания северного и южного полушарий Земли солнечным ветром.
Однако не во всех случаях удается предложить объяснение наблюдаемым закономерностям перемежаемости пульсаций Pi3. Так, непонятно, почему уровень турбулентности в области генерации всплесков Pi3 в двух полушариях выше всего во время развития слабых бурь? Почему высокая турбулентность солнечного ветра (при 0 < β ≤1.3) одинаковым образом влияет на турбулентность среды, в которой возбуждаются всплески Pi3 в северном и южном полушарии. Вместе с тем влияние слабой турбулентности солнечного ветра (β > 1.3) различно в двух полушариях.
В заключение необходимо отметить, что закономерности перемежаемости характерны и для самих суббурь. Так, например, в работе [Dobias and Wanliss, 2009] отмечается, что AE- и AL-индексы подчиняются степенному закону, а интервалы между пиками AE-индекса распределены по экспоненте [Consolini and Michelis, 2002]. Согласно [Малинецкий и Потапов, 2000] степенное распределение амплитуд пиков и экспоненциальное распределение межпиковых интервалов являются основными признаками перемежаемости. Следовательно, сам процесс генерации суббурь имеет перемежающийся характер, что также свидетельствует о турбулентности плазмы хвоста магнитосферы. В связи с вышесказанным наземные наблюдения пульсаций Pi3 могут быть использованы для качественной оценки турбулентности плазмы хвоста магнитосферы в зависимости от изменяющихся условий космической погоды во время развития суббурь различной интенсивности.
5. ЗАКЛЮЧЕНИЕ
Исследовано влияние интенсивности суббурь, параметров солнечного ветра и межпланетного магнитного поля на закономерности перемежаемости всплесков пульсаций Pi3, наблюдаемых в ночном секторе магнитосферы во время развития суббурь. Обнаружены подобные и различные морфологические закономерности, а также свойства перемежаемости всплесков Pi3, наблюдаемых в северном и южном полушарии. В HIS и MIR пульсации Pi3 наблюдались в ночном секторе полярных широт преимущественно во время развития суббурь, имели примерно одинаковый спектральный состав и среднюю продолжительность волновых пакетов. Анализ параметров межпланетной среды показал, что возбуждение всплесков Pi3 происходило преимущественно при одинаковом направлении ММП (Bz < 0, Bx > 0 и By < 0) и при величине параметра β > 1.3 в обоих полушариях.
Пульсации Pi3 в HIS и MIR существенно различались по уровню средних амплитуд и величине спектральной плотности. Выявлены различия в суточной вариации частоты наблюдения всплесков Pi3 по местному магнитному времени. Показано, что распределения амплитуд всплесков Pi3 в зависимости от интенсивности суббурь, скорости солнечного ветра, направления компонент ММП и величины параметра β подчинялись степенным законам с показателем перемежаемости α, превышающим 1. Последнее свидетельствовало о том, что всплески пульсаций Pi3 в двух полушариях возбуждались в высоко турбулентной среде. Величина показателя α как в HIS, так и в MIR была больше во время развития слабых суббурь, по сравнению с умеренными и сильными по интенсивности суббурями. Показатели перемежаемости αHIS и αMIR были сравнимы по величине, когда всплески Pi3 возбуждались на фоне медленных потоков солнечного ветра (V < 450 км/с), при северном направлении вертикальной компоненты ММП (Bz > 0) и 0 < β ≤ 1.3. Обнаружена асимметрия изменения величины показателя α в северном и южном полушарии при V ≥ 450 км/с, Bx < 0, Bx > 0, Bz ≤ 0, β > 1.3. В зависимости от направления By-компоненты различий в тенденции поведения показателя α в HIS и MIR не выявлено. Обнаруженные закономерности перемежаемости всплесков Pi3 могут быть использованы для качественной оценки степени турбулентности плазмы хвоста магнитосферы (который предположительно является областью возбуждения данных пульсаций) в зависимости от условий космической погоды. Предполагается, что в северном полушарии турбулентность плазмы в области возбуждения всплесков Pi3 выше при V < 450 км/с, Bx > 0, Bz ≥ 0, 0 < β ≤1.3, а в южном полушарии, наоборот, при V ≥ 450 км/с, Bx < 0, Bz ≤ 0, β > 1.3.
БЛАГОДАРНОСТИ
Авторы выражают благодарность сотрудникам Мирового Центра Данных по Солнечно-Земной Физике (Москва) за предоставленную возможность использования геомагнитных данных обсерваторий о. Хейса и Мирный, создателям базы данных OMNI 2 (Goddard Space Flight Center, NASA, USA), Word Data Centre for Geomagnetism (Kyoto), авторам “Каталога крупномасштабных явлений солнечного ветра для периода 1976–2002 гг.” (ИКИ РАН, Москва) за возможность пользоваться этими данными.
ФИНАНСИРОВАНИЕ РАБОТЫ
Работа выполнена в рамках Государственного задания Геофизической обсерватории “Борок” ИФЗ РАН. Гос. задание № FMWU-2022-0027.
About the authors
N. А. Kurazhkovskaya
Schmidt Institute of Physics of the Earth, Russian Academy of Sciences
Author for correspondence.
Email: knady@borok.yar.ru
Borok Geophysical Observatory
Russian Federation, Borok, Yaroslavl oblastB. I. Klain
Schmidt Institute of Physics of the Earth, Russian Academy of Sciences
Email: klain@borok.yar.ru
Borok Geophysical Observatory
Russian Federation, Borok, Yaroslavl oblastА. Yu. Kurazhkovskii
Schmidt Institute of Physics of the Earth, Russian Academy of Sciences
Email: ksasha@borok.yar.ru
Borok Geophysical Observatory
Russian Federation, Borok, Yaroslavl oblastReferences
- Будаев В.П., Савин С.П., Зеленый Л.М. Наблюдение перемежаемости и обобщенного самоподобия в турбулентных пограничных слоях лабораторной и магнитосферной плазмы: на пути к определению количественных характеристик переноса // УФН. Т. 18. № 9. С. 905–952. 2011. https://doi.org/10.3367/UFNr.0181.201109a.0905
- Воробьев В.Г., Ягодкина О.И., Антонова Е.Е., Зверев В.Л. Влияние параметров плазмы солнечного ветра на интенсивность изолированных магнитосферных суббурь // Геомагнетизм и аэрономия. Т. 58. № 3. С. 311–323. 2018. https://doi.org/10.7868/S001679401803001X
- Дэспирак И.В., Любчич А.А., Клейменова Н.Г. Разные типы потоков солнечного ветра и суббури в высоких широтах // Геомагнетизм и аэрономия. Т. 59. № 1. С. 3–9. 2019. https://doi.org/10.1134/S001679401901005X
- Ермолаев Ю.И., Николаева Н.С., Лодкина И.Г., Ермолаев М.Ю. Каталог крупномасштабных явлений солнечного ветра для периода 1976-2000 гг. // Космич. исслед. Т. 47. № 2. С. 99–113. 2009.
- Захаров В.Е., Пушкарев А.Н., Швец В.Ф., Яньков В.В. О солитонной турбулентности // Письма в ЖЭТФ. Т. 48. Вып. 2. С. 79–82. 1988.
- Клайн Б.И., Куражковская Н.А., Куражковский А.Ю. Перемежаемость в волновых процессах // Физика Земли. № 10. С. 25–34. 2008.
- Клейменова Н.Г., Козырева О.В., Биттерли Ж., Биттерли М. Длиннопериодные (T=8‒10 мин) геомагнитные пульсации в высоких широтах // Геомагнетизм и аэрономия. Т. 38. № 4. С. 38‒48. 1998.
- Клейменова Н.Г., Антонова Е.Е., Козырева О.В., Малышева Л.М., Корнилова Т.А., Корнилов И.А. Волновая структура магнитных суббурь в полярных широтах // Геомагнетизм и аэрономия. Т. 52. № 6. С. 785–793. 2012.
- Козырева О.В., Мягкова И.Н., Антонова Е.Е., Клейменова Н.Г. Высыпания энергичных электронов и геомагнитные пульсации Pi3 в полярных широтах // Геомагнетизм и аэрономия. Т. 49. № 6. С. 777‒785. 2009.
- Куражковская Н.А., Клайн Б.И. Влияние геомагнитной активности, параметров солнечного ветра и межпланетного магнитного поля (ММП) на закономерности перемежаемости геомагнитных пульсаций Pi2 // Солнечно-земная физика. Т. 1. № 3. С. 11–20. 2015. https://doi.org/10.12737/11551
- Куражковская Н.А., Клайн Б.И. Поляризационные характеристики высокоширотных геомагнитных пульсаций Pi3 // Геомагнетизм и аэрономия. Т. 61. № 2. С. 195–210. 2021. https://doi.org/10.31857/S0016794021010107
- Левашов Н.Н., Попов В.Ю., Малова Х.В., Зеленый Л.М. Моделирование турбулентности с перемежаемостью в космической плазме // Космич. исслед. Т. 60. № 1. С. 11–16. 2022. https://doi.org/10.31857/S0023420622010083
- Малинецкий Г.Г., Потапов А.Б. Современные проблемы нелинейной динамики. М.: Эдиториал УРСС, 335с. 2000.
- Моисеев А.В., Стародубцев С.А., Мишин В.В. Особенности возбуждения и распространения по азимуту и меридиану длиннопериодных Pi3 колебаний геомагнитного поля 8 декабря 2017 г. // Солнечно-земная физика. Т. 6. № 3. С. 56–72. 2020. https://doi.org/10.12737/szf-63202007
- Пудовкин М.И., Распопов О.М., Клейменова Н.Г. Возмущения электромагнитного поля Земли. Часть II. Короткопериодические колебания геомагнитного поля. Л.: Изд-во ЛГУ, 271 с. 1976.
- Akasofu S.I. Roles of north-south component of interplanetary magnetic-field on large-scale auroral dynamics observed by DMSP satellite // Planetary and Space Science. V. 23. № 10. P. 1349–1354. 1975. https://doi.org/10.1016/0032-0633(75)90030-6
- Bartucelli M., Constantin P., Doering C.R., Gibbon J.D., Gisselfält M. On the possibility of soft and hard turbulence in the complex Ginzburg-Landau equation // Physica D. V. 44. P. 421–444. 1990. https://doi.org/10.1016/0167-2789(90)90156-J
- Consolini G., De Michelis P. Fractal time statistics of AE index burst waiting times: evidence of metastability // Nonlinear Processes in Geophysics. V. 9. P. 419–423. 2002. https://doi.org/10.5194/npg-9-419-2002
- Dobias P., Wanliss J.A. Intermittency of storms and substorms: is it related to the critical behaviour? // Ann. Geophys. V. 27. P. 2001–2018. 2009. https://doi.org/10.5194/angeo-27-2011-2009
- Fu H., Yue C., Zong Q.-G., Zhou X.-Z., Fu S. Statistical characteristics of substorms with different intensity // J. Geophys. Res.: Space Physics. V. 126, e2021JA029318. 2021. https://doi.org/10.1029/2021JA029318
- Han D.-S., Yang H.-G., Chen Z.-T., Araki T., Dunlop M.W., Nosé M., Iyemori T., Li Q., Gao Y.-F., Yumoto K. Coupling of perturbations in the solar wind density to global Pi3 pulsations: A case study // J. Geophys. Res. V. 112. A05217. 2007. https://doi.org/10.1029/2006JA011675
- Hsu T.-S., McPherron R.L. A statistical study of the relation of Pi2 and plasma flows in the tail // J. Geophys. Res. V. 112. A05209. 2007. https://doi.org/10.1029/2006JA011782
- Kubyshkina M., Semenov V., Erkaev N., Gordeev E., Dubyagin S., Ganushkina N., Shukhtina M. Relations between vz and Bx components in solar wind and their effect on substorm onset // GRL. V. 45. 2018. https://doi.org/10.1002/2017GL076268
- Martines-Bedenko V.A., Pilipenko V.A., Hartinger M., Partamies N. Conjugate properties of Pi3/Ps6 pulsations according to Antarctica-Greenland observations // Russian Journal of Earth Sciences. V. 22. ES4006. 2022. https://doi.org/10.2205/2022ES000805
- Matsuoka H., Takahashi K., Yumoto K., Anderson B.J., Sibeck D.G. Observation and modeling of compressional Pi3 magnetic pulsations // J. Geophys. Res. V. 100. № A7. P. 12103–12115. 1995. https://doi.org/10.1029/94JA03368
- Nagano H., Suzuki A., Kim J. S. Pi3 magnetic pulsations associated with substorms // Space Sci. V. 29. №. 5. P. 529‒553. 1981. https://doi.org/10.1016/0032-0633(81)90067-2
- Newell P.T., Gjerloev J.W., and Mitchell E.J. Space climate implications from substorm frequency // J. Geophys. Res. Space Physics. V. 118. P. 6254–6265. 2013. https://doi.org/10.1002/jgra.50597
- Newell P.T., Liou K., Gjeroev J.W., Sotirelis T., Wing S., Mitchell E.J. Substorm probabilities are best predicted from solar wind speed // J. Atmos. Solar-Terr. Phys. V. 146. P. 28–37. 2016. https://doi.org/10.1016/j.jastp.2016.04.019
- Phan T.D., Gosling J.T., Paschmann G., Pasma C., Drake J.F, Øieroset M., Larson D., Lin R.P., Davis M.S. The dependence of magnetic reconnection on plasma β and magnetic shear evidence from solar wind observation // Astrophys J. Lett. V. 719:L199˗L203. 2010. https://doi.org/10.1088/2041-8205/719/2/L199
- Pilipenko V., Kozyreva O., Hartinger M., Rastaetter L., Sakharov Y. Is the global MHD modeling of the magnetosphere adequate for GIC prediction: the May 27–28, 2017 storm // Cosmic Research. V. 61. № 2. P. 120–132. 2023. https://doi.org/10.1134/S0010952522600044
- Saito T. Long period irregular magnetic pulsations Pi3 // Space Sci. Rev. V. 21. P. 427‒467. 1978. https://doi.org/10.1007/BF00173068
- Suzuki A., Nagano H., Kim J.S. A statistical study on characteristics of high latitude Pi3 pulsations // J. Geophys. Res. V. 86. № A3. P. 1345–11354. 1981. https://doi.org/10.1029/JA086iA03p01345
- Tanskanen E.I., Pulkkinen T.I., Viljanen A., Mursula K., Partamies N., Slavin J.A. From space weather toward space climate time scales: Substorm analysis from 1993 to 2008 // J. Geophys. Res. V. 116. A00I34. 2011. https://doi.org/10.1029/2010JA015788
- Yagova N.V., Pilipenko V.A., Lanzerotti L.J., Engebretson M.J., Rodger A.S., Lepidi S., Papitashvili V.O. Two-dimensional structure of long-period pulsations at polar latitudes in Antarctica // J. Geophys. Res. V. 109. A03222. 2004. https://doi.org/10.1029/2003JA010166
- Wang X., Tu C.-Y., He J.-S., Wang L.-H. Ion-scale spectral break in the normal plasma beta range in the solar wind turbulence // J. Geophys. Res.: Space Physics. V. 123. P. 68–75. 2018. https://doi.org/10.1002/2017JA024813
Supplementary files
Note
In the print version, the article was published under the DOI: 10.31857/S0016794025020047











