Models for Short-Term Forecast of Maximum X-Ray Class of Solar Flares Based on Magnetic Energy of Active Regions
- Authors: Zimovets I.V.1, Sharykin I.N.1
-
Affiliations:
- Space Research Institute of the Russian Academy of Sciences
- Issue: Vol 64, No 5 (2024)
- Pages: 593-607
- Section: Articles
- URL: https://bakhtiniada.ru/0016-7940/article/view/283266
- DOI: https://doi.org/10.31857/S0016794024050011
- EDN: https://elibrary.ru/QRNXMM
- ID: 283266
Cite item
Full Text
Abstract
The accuracy of the M. Aschwanden’s (2020) model for short-term (24 h) prediction of the maximum X-ray class of solar flares based on the power-law dependence on the energy of potential magnetic field of active regions is checked and assessed. For this purpose, a sample of 275 flares (253 M-class and 22 X-class) in isolated active regions on the solar disk in 2010−2023 is analyzed. Magnetic field extrapolations are made in the nonlinear force-free and potential approximations using the GX Simulator based on photospheric vector magnetograms from the Helioseismic Magnetic Imager (HMI) instrument onboard the Solar Dynamics Observatory (SDO). It is found that in 6% of cases Aschwanden’s model underestimates the predicted maximum flare class relative to the observed one (maximal underestimation by 4.4 times). The accuracy of this model (the average ratio of the observed to predicted maximum flare class) is 0.31 ± 0.47. Four other statistical models are proposed, two of which, like Aschwanden’s model, are based on the power-law dependence of the maximum flare class on the energy of potential magnetic field, and the other two are based on the power-law dependence on the free magnetic energy of active regions. These models give fewer (or no) underestimations of the maximum flare class, but two to three times lower forecast accuracy, ranging from 0.11 to 0.17. Additionally, based on the obtained statistical sample, estimates of the limiting X-ray class of solar flares are made. The five models give different limits ranging from ~X14 to ~X250. The realism of these values and the possibility of refining the models by expanding the sample of events is briefly discussed.
Keywords
Full Text
ВВЕДЕНИЕ
Солнечная вспышка – сложный комплекс процессов быстрой (~1−100 мин) трансформации свободной магнитной энергии (до ~1033 эрг) в активной области (АО) в другие виды (каналы) энергии: кинетическую энергию плазмы и ускоренных частиц, электромагнитное излучение в широком спектральном диапазоне от рентгеновских и гамма-волн до радиоизлучения, макроскопические движения плазмы – крупномасштабные выбросы, течения, волны и др. [Priest and Forbes, 2002; Emslie et al., 2012]. Вспышки, особенно наиболее мощные, оказывают воздействие на космическую погоду, и по этой причине их прогнозирование имеет важное значение. Однако краткосрочное (~24 ч) прогнозирование вспышек является сложной задачей. До сих пор не существует методов надежного и точного количественного краткосрочного прогноза вспышек [Ишков, 2023; Georgoulis et al., 2024]. Пока нет возможности прогнозировать с желаемой точностью место, время начала, длительность, пиковую мощность рентгеновского потока (рентгеновский класс), потоки и флюенсы жесткого электромагнитного излучения и другие характеристики солнечных вспышек. Большинство прогнозов вспышек основаны на статистических связях различных характеристик активных областей с их вспышечной продуктивностью. Такие прогнозы дают оценки вероятностей рассматриваемой активной области в заданном наперед интервале времени (обычно 24 ч) произвести вспышку рентгеновского класса С, М или Х, или >M1.0, или >X1.0.
Помимо просто общего рентгеновского класса вспышки желательно прогнозировать количественное значение максимального класса вспышки, которая может произойти в активной области в заданном наперед интервале времени, например, не выше М3.4 или X10.0. Это имеет смысл, поскольку количественный показатель класса вспышки может использоваться для более точной оценки влияния вспышки на космическую погоду, например, ее ионизирующего излучения на ионосферу или флюенса солнечных космических лучей [Belov, 2009; Mahajan et al., 2010]. В целом, чем более высокий класс вспышки, тем более сильные эффекты ожидаются.
В работе [Aschwanden, 2020] предложен метод краткосрочного прогнозирования максимального рентгеновского класса солнечной вспышки на основе расчета энергии потенциального магнитного поля активной области. На основе статистического исследования 172 вспышек классов M и X в 2010−2014 гг. и серии скейлинговых соотношений было получено выражение, связывающее максимальный рентгеновский класс вспышки (F8pred), которая может произойти в активной области в течение 24 ч, и энергией ее потенциального магнитного поля (EPOTF):
, (1)
где F8pred выражено в Вт м-2, а EPOTF – в эрг.
Это степенное соотношение мы далее будем обозначать модель A. Здесь нижний индекс при F означает поток в длинноволновом канале 1–8 Å приборов X-Ray Sensor (XRS) на борту космических аппаратов серии Geostationary Operational Environmental Satellite (GOES) [White et al., 2005], которые традиционно используются для определения рентгеновского класса солнечных вспышек. Применимость соотношения (1) протестирована в работе [Aschwanden, 2020] на базе одного месяца наблюдений в феврале 2011 г. Для этого интервала времени была продемонстрирована адекватность выражения (1). Только для 3 из 14 вспышек классов М и Х наблюдаемый поток F8obs превысил (не более чем в 1.9 раза) прогнозируемый поток F8pred, при среднем соотношении наблюдаемого и прогнозируемого потока <F8obs/F8pred> = 0.58, что довольно близко к 1, при сопоставимом среднеквадратичном отклонении 0.58. В работе [Нечаева и др., 2024] модель А была протестирована на трех различных активных областях NOAA 11158 (11−22 февраля 2011 г.), 11675 (16−25 февраля 2013 г.) и 12673 (с 28 августа по 9 сентября 2017 г.) и получено соотношение <F8obs/F8pred> = 1.79 при стандартном отклонении 1.99 и достаточно высоком коэффициенте корреляции 0.77 между наблюдаемым и предсказанным максимальным классом вспышек классов M и X. Эти результаты, основанные на малой выборке активных областей и вспышек, дают основание рассматривать модель A как перспективную для краткосрочного прогнозирования максимального класса вспышки.
Цель данной работы – выполнить проверку применимости модели А для краткосрочного (24 ч) прогноза максимального рентгеновского класса солнечных вспышек и оценить ее точность на существенно более значительной выборке активных областей и вспышек высших классов M и X за 2010−2023 гг. (т.е. за предыдущий 24-й и текущий 25-й солнечные циклы). Также исследуется вопрос использования свободной магнитной энергии активной области для построения моделей краткосрочного прогноза максимального рентгеновского класса вспышки. Дополнительно предлагаются и кратко обсуждаются оценки предельного класса вспышек, которые в принципе могут реализоваться на Солнце, на основе полученного статистического материала.
ДАННЫЕ И МЕТОДЫ
Поскольку пока не существует методов регулярного измерения магнитного поля в солнечной короне, мы используем экстраполяцию поля с фотосферы в двух приближениях: 1) потенциальном (обозначается нижним индексом POTF), при котором электрические токи отсутствуют, и 2) нелинейном бессиловом приближении (нижний индекс NLFFF), при котором электрические токи в каждой точке текут вдоль магнитного поля [Прист, 1985; Wiegelmann and Sakurai, 2012]. Поскольку потенциальное магнитное поле обладает минимальной энергией при заданной вертикальной компоненте на нижней границе, то свободная магнитная энергия в рассчитываемой области оценивается как разность энергии нелинейного бессилового и потенциального поля,
(2)
где
(3)
и интегрирование делается по трехмерному объему активной области над фотосферой, захватывающему область солнечных пятен и окружающее пространство вокруг них (см. далее). Подчеркнем, это лишь оценка свободной магнитной энергии активной области, поскольку реальное магнитное поле может отличаться от бессилового, по крайней мере, в нижних слоях атмосферы и в областях сильно разогретой плазмы, где (т.е. где давление плазмы превышает магнитное давление). Однако на данный момент NLFFF -приближение достаточно широко используется для активных областей, что протестировано на основе многочисленных сопоставлений с наблюдениями в ультрафиолетовом и рентгеновском диапазонах и с результатами численных магнитогидродинамических симуляций, и оно имеет различные реализации (например, [Wiegelmann and Sakurai, 2012; Fleishman et al., 2017; Guo et al., 2017; Sharykin et al., 2018, 2020]).
В этой работе экстраполяционные расчеты сделаны с помощью программного комплекса GX Simulator [Fleishman et al., 2017; Nita et al., 2023] в составе библиотек программного обеспечения SolarSoftWare (https://www.lmsal.com/solarsoft/). Необходимыми для нашей работы достоинствами, которыми обладает GX Simulator, является возможность автоматического скачивания файлов магнитограмм SDO/HMI из базы данных, задание расчетной области с помощью скриптов, а также высокая скорость вычислений.
В качестве граничных данных при экстраполяции используются векторные фотосферные магнитограммы инструмента Helioseismic and Magnetic Imager (HMI) [Scherrer et al., 2012] на борту КА Solar Dynamics Observatory (SDO), получаемые с шагом 720 с. Для каждых суток мы используем только один набор векторных магнитограмм, соответствующих наблюдениям SDO/HMI около 00:24 UT, что наиболее близко ко времени релиза SRS-файлов (Solar Region Summary). Мы специально ограничиваемся расчетом магнитного поля только для одного момента времени за сутки, чтобы симулировать ситуацию реального краткосрочного прогноза на 24 ч вперед.
Информация о характеристиках групп пятен (активных областей) берется из SRS-файлов, ежедневно (1 раз в 24 ч, около 00:30 UT) предоставляемых Space Weather Prediction Center (SWPC), National Oceanic and Atmospheric Administration (NOAA) и содержащихся в архиве по адресу (ftp://ftp.swpc.noaa.gov/pub/warehouse/). Для данной работы мы использовали следующую информацию из SRS-файлов: а) NOAA номер активной области, б) гелиографические координаты центра области, в) кэррингтоновскую долготу центра области Lo, г) угловой размер активной области вдоль долготы в гелиографических градусах LL, д) площадь группы солнечных пятен в миллионных долях солнечной полусферы ASS, е) количество пятен в группе NSS, ё) класс Макинтоша и ж) магнитный класс (Хэйла) области. Активные области с нулевой площадью пятен (NSS = 0) и нулевым долготным размером (LL = 0) исключены из рассмотрения. Размеры расчетной области задавались следующим образом. Брался угловой размер области LL и домножался на разные коэффициенты nllx > 1 (по долготе) и nlly > 1 (по широте) в зависимости от LL, причем nllx ≥ nlly, что учитывает в среднем большее протяжение активных областей вдоль долготы по сравнению с широтой, особенно для крупных областей. Использование коэффициентов nllx ≥ nlly > 1 позволяет захватить пространство активных областей со всех сторон вокруг солнечных пятен, содержащих значимые магнитные поля. Размер области расчета по высоте такой же как вдоль долготы, т.е. LL × nllx. Из рассмотрения отброшены активные области, гелиографические долготы и широты внешних границ которых выше ±70°. Мы ограничились рассмотрением только “изолированных” активных областей. Если в расчетный бокс попали целиком или частично другие активные области или же рассматриваемая активная область попадала в выделенный бокс не целиком, то такие активные области отбрасывались. Такое случалось из-за неточности определения координат или углового размера центра области, приведенных в SRS-файлах, или из-за слишком близкого расположения двух и более активных областей. При расчетах в GX Simulator угловая гелиографическая координатная сетка трансформирована в прямоугольную декартовую. Для областей с LL≤12° шаг расчетной сетки dx = dy = 1500 км, для областей с LL > 12° шаг сетки увеличен в два раз (dx = dy = 3000 км), чтобы сократить время вычислений.
Так как на сайте NOAA (https://www.ngdc.noaa.gov/stp/space-weather/solar-data/solar-features/solar-flares/x-rays/goes/xrs/) доступен каталог солнечных вспышек только до июня 2017 г., мы использовали каталог, предоставленный А.Г. Косовичевым (частная переписка). На момент начала работы в нем содержалась информация о солнечных вспышках до середины июня 2023 г., включающая время начала и пика, рентгеновский класс вспышки, гелиографические координаты и NOAA номер родительской области для вспышек рентгеновских классов C, M и X. Принадлежность вспышек пронумерованным активным областям проверена “в ручном режиме” на основе баз данных о солнечных событиях по тому же адресу, где располагаются SRS-файлы, а также дополнительно на основе ресурсов Latest Events Archive (https://www.lmsal.com/solarsoft/latest_events_archive.html), SolarMonitor (https://solarmonitor.org/) и JHelioviewer [Muller et al., 2017]. На основе этих же ресурсов, а также оригинальных данных GOES/XRS с шагом 1 мин в каталог добавлена информация о солнечных вспышках классов М и Х для интервала времени с июня по 30 сентября 2023 г. включительно. В этой работе мы ограничиваемся рассмотрением вспышек только двух высших классов M и X по следующим причинам: во-первых, прогнозирование таких вспышек наиболее важно из-за их более сильного влияния на космическую погоду; во-вторых, доступный нам каталог вспышек содержит далеко не все наблюдавшиеся вспышки класса C и не содержит многочисленные более слабые вспышки классов B, A и ниже. Более того, надежное выявление всех вспышек класса C (и ниже) и определение их принадлежности активным областям на Солнце является нетривиальной задачей, которая, насколько нам известно, не решена в полной мере для солнечных циклов 24 и 25, в отличие от существенно менее многочисленных и наиболее ярких M и X вспышек. В частности, в существующих каталогах для части C вспышек некорректно определен номер родительской активной области.
Нами рассмотрен интервал времени с 01 мая 2010 г. (с начала регулярного предоставления векторных магнитограмм SDO/HMI) по 30 сентября 2023 г. − начало реализации этой работы. За этот интервал времени суммарно доступно 4894 ежедневных SRS-файлов, согласно которым активные области имели NOAA номера с 11064 по 13450 (т.е. 2386 областей). После селекции, согласно обозначенным выше критериям, нами сделаны расчеты для 2252 различных активных областей. По результатам расчетов суммарно получено 11996 кубов магнитного поля общим объемом 4.81 ТБ. Время расчетов на персональном компьютере (8 ядер Core i7 3.8 ГГц, 64 ГБ ОЗУ) составило ~2.5 месяца, т.е. примерно 65 активных областей за сутки реального времени.
2.1. Результаты: модели прогноза на основе EPOTF
На рис. 1 представлено полученное распределение максимального рентгеновского класса вспышки, наблюдаемой в течение суток (24 ч) в активной области, в зависимости от энергии потенциального магнитного поля в ней, EPOTF, в совокупности для NX = 22 и NM = 253 вспышек класса Х и M, соответственно. Вспышки 24-го солнечного цикла (до 2017 г. включительно) показаны маленькими черными звездочками, а вспышки 25-го цикла (с 2021 г.) – маленькими серыми звездочками. Также возле звездочек указаны классы Макинтоша соответствующих активных областей и их номера NOAA. Облако точек имеет, в целом, форму прямоугольного треугольника. Точки не ложатся узко вдоль какой-то определенной линии. Линейный коэффициент корреляции Пирсона 0.25, Спирмана – 0.20, что указывает на отсутствие сильной корреляции между двумя рассматриваемыми параметрами для данной выборки. Резкая горизонтальная граница снизу обусловлена тем, что мы не рассматривали вспышки ниже класса М1.0. Правая граница вблизи максимальной энергии EPOTF~2.2 × 1034 (эрг) определяется пятью точками. Все они принадлежат одной активной области 12192 высшего класса Макинтоша Fkc (и класс Хэйла βγδ), наблюдавшейся 22−26 октября 2014 г. и обладавшей максимальной площадью солнечных пятен и максимальным магнитным потоком среди всех активных областей 24-го цикла (см. Раздел 3.1). Верхняя наклонная граница “треугольника” точек представляет наибольший интерес для прогноза, поскольку она определяет верхнюю границу рентгеновского класса солнечной вспышки, которая реализуется при заданной энергии потенциального магнитного поля в активной области за рассматриваемые сутки с рассматриваемого момента времени.
Рис. 1. Зависимость наблюдаемого за сутки максимального рентгеновского класса солнечной вспышки от энергии потенциального магнитного поля в родительской активной области и модели краткосрочного прогноза вспышек: A (штриховая линия), Z1 (пунктирная линия), Z2 (штрихпунктирная линия). Маленькие черные звездочки – вспышки в 2010–2017 гг. (24-й цикл), серые – в 2021–2023 гг. (25-й цикл). Указан NOAA номер активной области и класс Макинтоша. Оценки предельного класса вспышек показаны крупными треугольником, ромбом и крестиком как пересечение моделей A, Z1, Z2, соответственно, с вертикальной штрихпунктирной линией справа.
Черная штриховая линия на рис. 1 показывает модель A (1), полученную в работе [Aschwanden, 2020]. Эта степенная функция (прямая линия в лог-лог масштабе) лежит вблизи верхней границы точек и в целом довольно адекватно ограничивает сверху их основную массу. Тем не менее, 16 точек из 275 (т.е. ~6%) находятся выше этой линии. Это случаи, когда модель A дает заниженное значение максимального класса вспышки в активной области. Максимальное занижение в 4.4 раза наблюдается для самой мощной вспышки 24-го и текущего 25-го циклов − X9.3 06 сентября 2017 г. (активная область 12673 классов Dkc и βγδ Макинтоша и Хэйла соответственно), которая показана верхней правой жирной звездочкой. Это может рассматриваться как недостаток модели А, поскольку при прогнозе вспышек в некоторых ситуациях “безопаснее” выдать завышенный класс вспышки, чем заниженный, т.е. перестраховаться. По этой причине, мы предлагаем две другие модели Z1 и Z2, которые так же, как и модель A, имеют степенную форму:
, (4)
причем размерность F8pred Вт м-2, а EPOTF – эрг. Для Z1: aZ1 = 0.39, bZ1 = 1.34. Для Z2: aZ2 = 0.70, bZ2 = 1.18 ± 0.07. Модель Z1 получена соединением двух жирных звездочек прямой линией (в лог-лог масштабе) таким образом, что абсолютно все имеющиеся точки лежат не выше этой кривой (пунктирная линия на рис. 1). Эту кривую можно рассматривать как лимитирующую сверху кривую, по крайней мере для данной выборки активных областей и вспышек. Модель Z2 построена несколько иначе. Она строится методом наименьших квадратов на подвыборке из группы точек (13 штук), разбросанных вблизи верхней границы “треугольника” точек данных, показанных квадратами вокруг мелких звездочек, включая и две жирные звездочки. Один из недостатков этой модели – субъективизм выбора точек этой подвыборки. Мы использовали данный подход, поскольку не знаем метода объективного (по крайней мере с точки зрения математической статистики) фиттирования граничных точек имеющейся выборки. Другой недостаток – наличие нескольких (8 штук) точек выше этой кривой. Однако их количество вдвое меньше, чем для модели A, и максимальное соотношение max(F8obs/F8pred) = 1.79, и в этом она превосходит модель А.
Оценка точности моделей A, Z1 и Z2 представлена на рис. 2, где звездочками, треугольниками и ромбами показаны зависимости отношений F8obs/F8pred наблюдаемого максимального класса вспышки к предсказываемым моделями A, Z1 и Z2, соответственно, от наблюдаемого максимального класса вспышки. Для всех трех моделей имеется тенденция к уменьшению разброса с ростом максимального класса вспышки (а также, очевидно, уменьшение количества вспышек с ростом их класса). Среднее значение (показано горизонтальной штриховой линией) отношения и среднеквадратичное отклонение для модели A: <F8obs/F8pred > = 0.31 ± 0.43, для модели Z1: 0.11 ± ± 0.17 и для модели Z2: 0.17 ± 0.24. В среднем немного более высокая точность (ближе к 1) у модели A. В целом отмечается невысокая средняя точность всех трех моделей, примерно порядок величины. Это связано с тем, что многие активные области, обладая высокой энергией потенциального поля, по той или иной причине производят лишь вспышки относительно небольшого класса. Средняя точность меньше оценок, полученных в работах [Aschwanden, 2020] и [Нечаева и др., 2024] на основе малых выборок событий (см. Введение). Это связано с тем, что в тех работах рассмотрены короткие интервалы с малым количеством вспышек, включая наиболее мощные, и с тем обстоятельством, что для наиболее мощных вспышек отношение F8obs/F8pred ближе к 1 (см. рис. 2).
Рис. 2. Зависимость отношения наблюдаемого к прогнозируемому максимальному классу солнечных вспышек от наблюдаемого максимального класса для моделей A (звездочки), Z1 (ромбы), Z2 (треугольники). Средние значения отношений (плюс-минус среднеквадратичные отклонения) для моделей A, Z1 и Z2 показаны горизонтальными пунктирной, штриховой и штрихпунктирной линиями соответственно.
2.2. Результаты: модели прогноза на основе EFREE
Теперь проведем аналогичное рассмотрение связи свободной магнитной энергии активных областей, EFREE, и максимального класса вспышек, F8, которые они производят в течение суток с момента определения магнитной энергии. На рис. 3 показано распределение соответствующих точек для подвыборки из NX = 19 вспышек класса X и NM = 232 вспышек класса М. Меньшее количество вспышек в этой выборке относительно рассмотренной в предыдущем разделе выборки связано с тем, что здесь исключены активные области, для которых расчет дал отрицательную свободную магнитную энергию EFREE<0, что не является физичным. В целом, распределение точек выглядит аналогично случаю с энергией потенциального поля – облако точек тоже имеет форму прямоугольного треугольника. Однако этот треугольник выглядит несколько более компактным за счет меньшего отрыва точек вблизи правой границы, и также линейная корреляция между парой параметров немного выше: коэффициент корреляции Пирсона 0.38, Спирмана – 0.26. Отметим, что для всей выборки максимальное значение свободной магнитной энергии max(EFREE) = 2.86 × 1033 эрг почти на порядок величины меньше, чем максимальная энергия потенциального магнитного поля (см. предыдущий раздел), и это значение принадлежит другой активной области – NOAA 11429 с классом Макинтоша Dkc и Хэйла βγδ, произведшей 07 марта 2012 г. мощную (но не мощнейшую для циклов 24 и 25) вспышку класса X5.4.
Рис. 3. Зависимость наблюдаемого за сутки максимального рентгеновского класса солнечной вспышки от свободной магнитной энергии в родительской активной области и модели краткосрочного прогноза вспышек: Z3 (пунктирная линия), Z4 (штриховая линия). Черные маленькие звездочки – вспышки в 2010–2017 гг. (24-й цикл), серые маленькие звездочки – в 2021–2023 гг. (25-й цикл). Указан NOAA номер активной области и класс Макинтоша. Оценки предельного класса вспышек показаны крупными ромбами как пересечение моделей Z3, Z4 с вертикальной штрихпунктирной линией справа.
Как и в случае с энергией потенциального магнитного поля, у “треугольного” облака точек выделяется верхняя наклонная граница. Опять же, мы не знаем, как ее определить математически корректно. Используем интуитивно понятный подход – найдем минимальный набор пар граничных точек, прямая (в лог-лог масштабе) через которые сверху ограничит все точки выборки. Обнаруживаются две пары таких точек, с общей центральной точкой, выделенной жирным серым крестиком на рис. 3. Крайние точки выделены жирными звездочками. Как и в случае с потенциальным магнитным полем, верхняя правая точка принадлежит активной области 12673 с мощнейшей (за рассмотренный интервал времени) вспышкой X9.3 06 сентября 2017 г., играющей важное значение для всей выборки. Соответствующие степенные зависимости мы обозначим как модель Z3 и Z4, для которых получены следующие значения коэффициентов степенного соотношения (4): aZ3 = 35.33, bZ3 = 0.80 и aZ4 = 53.40, bZ4 = 0.70. Две соответствующие кривые (пунктир для Z3 и штриховая линия для Z4) лежат близко друг к другу, и сложно найти принципиальную разницу между ними. Этот вывод подтверждается рассмотрением графика зависимости отношения максимального наблюдаемого к прогнозируемому классу вспышки от максимального наблюдаемого класса вспышки (рис. 4). Для моделей Z3 и Z4 точки на графике лежат в целом схожим образом, средние отношения и среднеквадратичные отклонения также близки друг к другу. Для модели Z3: <F8obs/F8pred > = 0.17 ± 0.18, для модели Z4: <F8obs/F8pred> = 0.16 ± 0.18.
Рис. 4. Зависимость отношения наблюдаемого к прогнозируемому максимальному классу солнечных вспышек от наблюдаемого максимального класса для моделей A (звездочки), Z3 (ромбы), Z4 (треугольники). Средние значения отношений (плюс-минус среднеквадратичные отклонения) для моделей A, Z3 и Z4 показаны горизонтальными пунктирной, штриховой и штрихпунктирной линиями соответственно.
Для этих моделей средние значения немного ближе к 1, чем для моделей Z1, но ниже чем для модели A (звездочки на рис. 4 – для сопоставления). Но так же, как для модели Z1, преимуществом моделей Z3 и Z4 является отсутствие событий с заниженным предсказанным максимальным классом вспышки (с F8obs/F8pred > 1).
ОБСУЖДЕНИЕ
Прежде всего, отметим, что для рассмотренной выборки активных областей в 2010−2023 гг. разброс точек на графиках зависимости максимального рентгеновского класса вспышек F8obs от энергии потенциального магнитного поля EPOTF и свободной магнитной энергии EFREE в этих областях большой (рис. 1, 3) и коэффициент корреляции между указанными парами параметров не высокий (не выше 0.38). Это указывает на то, что нет близкой количественной связи между интегральной магнитной энергетикой всей активной области и максимальной амплитудой вспышки, которую область может произвести в ближайшие сутки. Рассмотрение более короткого прогнозируемого интервала времени 2 ч на примере трех областей из этой выборки в работе [Нечаева и др., 2024] показало, что это не меняет принципиально ситуацию. По всей видимости, конкретный класс вспышки, которую может произвести активная область, сильнее зависит от каких-то других физических характеристик (или комбинаций характеристик), которые пока однозначно не установлены. Поскольку наблюдаемые вспышки (в частности, вспышечные ленты и петли) занимают лишь часть активной области, и установлено, что во вспышке реализуется только малая доля имеющейся магнитной энергии [Guo et al., 2008; Aschwanden, 2020; Zimovets et al., 2021], то конкретные характеристики нужно определять не для общего объема активной области, а для более локализованных участков. Другими словами, важнее может быть рассматривать локальные (или средние), а не интегральные характеристики активной области [Sun et al., 2015]. Тем не менее, предложенный в работе [Aschwanden, 2020] подход позволяет давать адекватное прогностическое ограничение на максимальный рентгеновский класс вспышки, которая может произойти в ближайшие сутки в активной области, обладающей заданной энергией EPOTF. Для 94% рассмотренных случаев степенная модель A (1) [Aschwanden, 2020] предсказала верхний порог класса вспышки, который действительно не был преодолен в течение суток относительно времени регистрации магнитного поля в активной области. Однако в 6% случаев модель А дала заниженные значения максимального класса вспышки. Максимальное занижение в 4.4 раза было для мощнейшей вспышки 24-го цикла X9.3 06.09.2017. Предложенные нами степенные модели Z1 и Z2 для EPOTF (Z3 и Z4 для EFREE) призваны уменьшить процент случаев занижения максимального класса вспышки. Однако они дают примерно в 2 раза менее точную оценку с точки зрения среднего отношения максимального наблюдаемого и прогнозируемого класса вспышки <F8obs/F8pred>. В целом же, все пять моделей дают невысокую среднюю точность прогноза от 0.1 (модель Z1) до 0.3 (модель А), т.е. около одного порядка величины. Средняя точность прогноза может оказаться еще ниже, если принять в рассмотрение вспышки классов C и ниже. Однако проверка этого требует отдельной большой работы.
Мы ограничились для построения прогноза рассмотрением только энергии потенциального магнитного поля EPOTF и свободной магнитной энергии EFREE и не рассматриваем “полную” энергию магнитного поля, т.е. в данном случае (приближении) энергию нелинейного бессилового поля ENLFFF. Это сделано по следующим причинам. ENLFFF очень сильно коррелирует с EPOTF, что демонстрирует рис. 5а. Линейные коэффициенты Пирсона и Спирмана ccp = 0.99 и ccs = 0.97 соответственно. Более того, коэффициент корреляции между ENLFFF и F8obs примерно такой же низкий (0.24−0.29) как между EPOTF и F8obs (0.20−0.25) (см. рис. 1). Следовательно, рассмотрение ENLFFF не может дать существенного улучшения качества прогноза относительно использования EPOTF. При этом, использование EPOTF предпочтительнее, поскольку решение задачи об экстраполяции магнитного поля в потенциальном приближении легче, чем в нелинейном бессиловом приближении. Оно единственно для заданных граничных условий и требует граничных данных в виде фотосферных магнитограмм радиальной или продольной лучу зрения составляющих вектора поля, которые проще получить из наблюдений, нежели векторные магнитограммы, необходимые для экстраполяции в нелинейном бессиловом приближении. Расчет в нелинейном бессиловом приближении более чувствителен к качеству граничных данных и заданию граничных условий, и не всегда магнитное поле в активных областях на разных уровнях удовлетворяет бессиловому приближению [Wiegelmann and Sakurai, 2012].
Рис. 5. Зависимости магнитной энергии нелинейного бессилового поля от энергии потенциального магнитного поля (а), свободной магнитной энергии от энергии потенциального поля (б) и от энергии нелинейного бессилового поля (в) в активных областях для рассмотренной выборки вспышек. Штриховая прямая – линия y = x. Маленькие квадраты на (а) – случаи с отрицательной свободной магнитной энергией (примерно 8.7%). На (г) и (д) зависимости отношения свободной магнитной энергии к энергии потенциального и нелинейного бессилового поля от энергии потенциального и нелинейного бессилового поля соответственно.
Добавим, у нас получилось, что свободная магнитная энергия EFREE не сильно коррелирует с энергией нелинейного бессилового поля ENLFFF (рис. 5в; ccp = 0.53, ccs = 0.67) и еще хуже с энергией потенциального магнитного поля EPOTF (рис. 5б; ccp = 0.38, ccs = 0.53). Этот результат отличается от результата, полученного в работе [Aschwanden, 2020], который основан на другом методе магнитной экстраполяции и другой выборке событий, где получена очень высокая корреляция (cc = 0.96) между EFREE и EPOTF (см. рис. 1a в [Aschwanden, 2020]). В дополнение, рис. 5г, д показывает разброс примерно на два порядка величины доли свободной магнитной энергии относительно энергии потенциального магнитного поля (EFREE/EPOTF) и энергии нелинейного бессилового поля (EFREE/ENLFFF) в акивных областях, производящих мощные вспышки классов M и X. Диапазон разброса от min(EFREE/EPOTF) = 0.005 и min(EFREE/ENLFFF) = 0.005 до max(EFREE/EPOTF) = 1.56 и max(EFREE/ENLFFF) = 0.61. Средние значения и среднеквадратичные отклонения этих соотношений: <EFREE/EPOTF> = 0.30 ± 0.26 и <EFREE/ENLFFF> = 0.20 ± 0.13. Аналогичные значения получены (или использованы) во многих работах (например, [Rudenko and Myshyakov, 2009; Emslie et al., 2012; Thalmann et al., 2013; Sun et al., 2015; Zimovets et al., 2021; Katsova et al., 2022]), что указывает на адекватность наших расчетов.
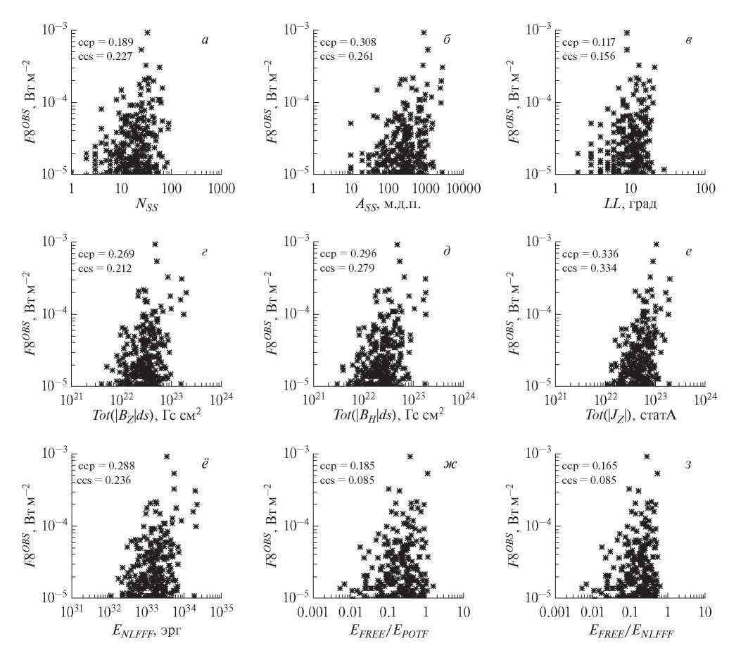
Рисунок 6 иллюстрирует, что рассмотрение других интегральных характеристик активных областей не дает улучшения качества прогноза максимального класса вспышки относительно использования свободной магнитной энергии EFREE, поскольку коэффициент корряляции Пирсона между свободной магнитной энергией и F8obs хоть и не высокий (ccp = 0.38; см. рис. 3), но максимальный среди остальных рассмотренных интегральных характеристик, таких как:
- число солнечных пятен в активной области NSS, ccp = 0.19, (рис. 6a);
- площадь солнечных пятен ASS, ccp = 0.31, (рис. 6б);
- угловая длина группы пятен LL, ccp = 0.12, (рис. 6в);
- полный беззнаковый магнитный поток (вертикальной компоненты поля) на фотосфере в активной области Tot(|BZ|ds), где ds – площадь ячейки данных, ccp = 0.27, (рис. 6г);
- полный беззнаковый магнитный “поток” тангенциальной компоненты поля на фотосфере Tot(|BH|ds), ccp = 0.30, (рис. 6д) – эта нефизичная величина приведена для сопоставления с магнитным потоком вертикальной компоненты;
- полный беззнаковый вертикальный электрический ток на фотосфере Tot(|JZ|ds), ccp = 0.34, (рис. 6е);
- магнитная энергия нелинейного бессилового поля ENLFFF, ccp = 0.29, (рис. 6ё);
- отношение свободной магнитной энергии к энергии потенциального магнитного поля EFREE/EPOTF, ccp = 0.18, (рис. 6ж);
- отношение свободной магнитной энергии к энергии нелинейного бессилового поля EFREE/ENLFFF, ccp = 0.17, (рис. 6з).
Можно было бы рассмотреть и другие возможные характеристики (например, [Bobra and Couvidat, 2015; Georgoulis et al., 2024]) но мы ограничились этим “субъективным” списком интегральных характеристик в данной работе в качестве примера для сравнения с использованием магнитных энергий EPOTF и EFREE.
Рис. 6. Зависимости наблюдаемого за сутки максимального класса солнечной вспышки в активной области от ее характеристик: (а) – числа солнечных пятен, (б) – площади пятен, (в) – углового долготного размера группы пятен, (г) – беззнакового потока вертикальной компоненты вектора магнитного поля на фотосфере, (д) – беззнакового “потока” горизонтального поля на фотосфере, (е) – беззнакового вертикального тока на фотосфере, (ё) – энергии нелинейного бессилового магнитного поля, (ж, з) – отношения свободной магнитной энергии к энергии потенциального и нелинейного бессилового магнитного поля соответственно.
3.1. Оценка предельного рентгеновского класса солнечных вспышек
Рассмотренные модели максимального класса вспышек (A, Z1−Z4) позволяют сделать оценку возможного предельного класса вспышки на Солнце. Эта оценка получается как пересечение модельной кривой с вертикальной прямой (штрихпунктир на рис. 1, 3), определяющей максимальное (справа) значение энергии потенциального магнитного поля EPOTF (штрих, пунктир и штрих с тройным пунктиром для моделей A, Z1, Z2, соответственно, на рис. 1) или свободной магнитной энергии EFREE (пунктир и штрих для моделей Z3 и Z4, соответственно, на рис. 3) в активной области. Мы получили следующие оценки предельного класса солнечной вспышки (табл. 1): для модели A – X20.6 (большой треугольник на рис. 1), для модели Z1 – X249.3 (большой ромб на рис. 1), для модели Z2 – X93.2 (большой крестик на рис. 1), для модели Z3 – X20.8 (большой ромб сверху на рис. 3), для модели Z4 – X14.1 (большой ромб снизу на рис. 3). Вспышки с такими высокими классами гипотетически могли реализоваться в рассмотренных активных областях, но не реализовались за рассмотренный интервал времени с мая 2010 по сентябрь 2023 гг.
Таблица 1. Параметры моделей прогноза максимального рентгеновского класса солнечных вспышек (выражения (1), (4)) и оценка предельного рентгеновского класса солнечной вспышки, полученного на основе этих моделей
Параметр | a | b | lim(F8) |
Модель | |||
A | 2.05 | 0.92 | X20.6 |
Z1 | 0.39 | 1.34 | X249.3 |
Z2 | 0.70 | 1.18 | X93.2 |
Z3 | 35.33 | 0.80 | X20.8 |
Z4 | 53.40 | 0.70 | X14.1 |
Напомним, что самая мощная вспышка за это время имела класс X9.3 (06.09.2017 г.). Это достаточно близко к тому, что дает модель Z4 (X14.1). Однако намного меньше того, что дает модель Z2 (~X93) и особенно модель Z1 (~X250). Два последних экстраординарных значения получены на основе оценки энергии потенциального магнитного поля в активной области NOAA 12192 (Fkc, βγδ) в конце октября 2014 г., которая проявила специфические свойства. Во-первых, область 12192 обладала максимальной площадью солнечных пятен (2740 миллионных долей полусферы), максимальным беззнаковым потоком магнитного поля (1.97 × 1023 Мкс), максимальным беззнаковым вертикальным электрическим током (1.92 × 1023 статА), максимальной энергией потенциального магнитного поля (2.24 × 1034 эрг) и максимальной энергией нелинейного бессилового поля (2.23 × 1034 эрг) из всех 2252 рассмотренных за 2010–2023 гг. различных активных областей. Во-вторых, за время прохождения по видимому диску с 17 по 30 октября 2014 г. активная область 12192 произвела 6 вспышек класса Х и 30 вспышек класса М, причем ни одна из Х вспышек не сопровождалась полноценным корональным выбросом массы, КВМ [Thalmann et al., 2015]. При этом самая мощная вспышка, произошедшая в области 12192, имела класс всего X3.1, что почти на два порядка меньше оценки модели Z1 (~X250). Развитие эрупции (и сопутствие вспышки корональным выбросом) может рассматриваться как один из факторов, влияющих на рентгеновский класс вспышки в активной области, но он не является ключевым. С другой стороны, большой магнитный поток и большое количество магнитной энергии в активной области не гарантирует, что она может произвести вспышку очень высокого класса, сопровождающуюся корональным выбросом. Сильное магнитное поле в большом объеме активной области может сдержать процесс эрупции, остановить развитие магнитного пересоединения, длительные ускорение частиц и нагрев плазмы, что продемонстрировала область 12192 [Sun et al., 2015; Inoue et al., 2016].
К сделанным оценкам предельного класса вспышки надо относиться с большой осторожностью. Они получены на основе статистического, а не физического подхода. И они получены пусть и на довольно большой, но все же ограниченной выборке активных областей и вспышек всего примерно за полтора последних солнечных цикла (24 и 25), далеко не самых мощных. Очевидно, обобщать эти оценки на все циклы нельзя. Видно, что полученные значения, в частности, сильно зависят от наиболее мощных и редких событий, для которых точки ложатся вдоль верхней наклонной границы “треугольника” на графиках максимальный класс вспышки – магнитная энергия (рис. 1, 3). Каждая мощная вспышка, добавленная в эту статистику, может изменить (и уточнить) предложенные модели и, следовательно, значение предельного класса вспышки. Такой же эффект может оказывать добавление активных областей с экстремально высокой магнитной энергетикой (EPOTF > 1034 эрг и EFREE > 1033 эрг). Тем не менее, в работе [Cliver et al., 2022] обсуждается возможный предельный класс солнечных вспышек на основе моделирования и различных данных для разных эпох, и сделан вывод о том, что вспышки класса ~X100-X300 не исключены для Солнца. Супервспышки на звездах типа Солнца обнаружены в большом количестве. И, например, в работе [Shibata et al., 2013] на основе накопленной статистики супервспышек сделан вывод, что супервспышка с энергетикой 1034 эрг (или рентгеновским классом ~X1000) может происходить раз в ~800 лет на такой звезде как Солнце. Другая оценка максимального класса солнечной вспышки ~X70 за 1000 лет получена в работе [Sakurai, 2023] на основе другого подхода. Наши оценки не противоречат выводам этих работ. Однако прямого наблюдения, без зашкаливания детекторов GOES/XRS, мощных вспышек класса выше X17.4 (04.11.2003 г.), насколько нам известно, до сих пор не было. Расширение статистики на предыдущие циклы, с использованием оценок рентгеновского класса мощнейших солнечных вспышек (таких как для вспышки 04.11.2003 г. [Brodrick et al., 2005]), а также на вспышки в текущем 25-м цикле активности, должны помочь уточнить наши модели и, следовательно, оценки предельного класса солнечных вспышек. Но более важным и перспективным (в то же время, более сложным), по нашему мнению, является развитие физически обоснованных (а не основанных на статистике или методах машинного обучения) моделей прогноза вспышек.
ЗАКЛЮЧЕНИЕ
Выполнена экстраполяция магнитного поля в потенциальном и нелинейном бессиловом приближениях для 2252 различных активных областей на Солнце в период с 01 мая 2010 г. по 30 сентября 2023 г. Вводная информация по активным областям взята из ежедневных SRS-файлов, предоставляемых SWPC NOAA. Расчеты сделаны с помощью программного пакета GX Simulator в составе SolarSoftWare. В качестве граничных данных использованы фотосферные векторные магнитограммы SDO/HMI. Вычислены различные характеристики магнитного поля и электрического тока в расчетных кубах, включая энергии потенциального и нелинейного бессилового поля, а также свободную магнитную энергию. На основе доступного нам каталога солнечных вспышек подготовлена выборка из 22 вспышек класса X и 253 вспышек класса M, для изолированных родительских активных областей которых за рассмотренный интервал времени нами были получены трехмерные кубы экстраполированного магнитного поля.
На основе этой базы выполнена проверка степенной модели, предложенной в работе [Aschwanden, 2020] для краткосрочного (24 ч) прогноза максимального рентгеновского класса солнечной вспышки от энергии потенциального магнитного поля в активной области. Установлено, что в 6% случаев эта модель дает заниженный прогнозируемый максимальный класс вспышки относительно наблюдаемого, максимальное занижение в 4.4 раза. Точность этой модели, определяемая как среднее отношение наблюдаемого к прогнозируемому максимальному классу вспышек, 0.31 ± 0.47 (среднеквадратичное отклонение).
Предложены четыре другие статистические модели, две из которых так же, как и модель из работы [Aschwanden, 2020], основаны на степенной зависимости максимального класса вспышки от энергии потенциального магнитного поля, а две другие – на степенной зависимости от свободной магнитной энергии. Эти модели дают меньшее количество заниженных прогнозов (или не дают совсем) максимального класса вспышки, но в два-три раза более низкую среднюю точность прогноза от 0.11 до 0.17.
Дополнительно на основе полученного статистического материала и моделей сделаны оценки предельного рентгеновского класса солнечных вспышек. Пять моделей дали разные предельные значения от ~X14.1 до ~X249.3. Сделан вывод о необходимости уточнения моделей на основе расширения выборки событий, а также о необходимости развития более физически обоснованных методов прогноза вспышек.
БЛАГОДАРНОСТИ
Мы благодарны коллективам инструментов SDO/HMI (NASA) и GOES/XRS (NOAA) за свободный доступ к данным, без которых эта работа не могла бы быть реализована в настоящее время. Также благодарим разработчиков программного пакета GX Simulator, который использован в работе для экстраполяции магнитного поля в активных областях Солнца.
КОНФЛИКТ ИНТЕРЕСОВ
Авторы заявляют, что у них отсутствуeт конфликт интересов.
About the authors
I. V. Zimovets
Space Research Institute of the Russian Academy of Sciences
Author for correspondence.
Email: ivanzim@cosmos.ru
Russian Federation, Moscow
I. N. Sharykin
Space Research Institute of the Russian Academy of Sciences
Email: ivan.sharykin@phystech.edu
Russian Federation, Moscow
References
- Ишков В.Н. Прогноз солнечных вспышечных явлений: солнечные протонные события // Изв. РАН. Сер. физич. T. 87. № 7. С. 1010–1013. 2023. https://doi.org/10.31857/S0367676523701788
- Нечаева А.Б., Зимовец И.В., Зубик В.С., Шарыкин И.Н. Эволюция характеристик вертикального электрического тока и магнитного поля в активных областях Солнца и их связь с мощными вспышками // Геомагнетизм и аэрономия. Т. 64. № 2. С. 175–198. 2024.
- Прист Э.Р. Солнечная магнитогидродинамика. Москва: Мир, 592 с. 1985.
- Aschwanden M.J. Global energetics of Solar Flares. XI. Flare magnitude predictions of the GOES class // Astrophys. J. V. 897. № 1. ID 16. 2020. https://doi.org/10.3847/1538-4357/ab9630
- Belov A. Properties of solar X-ray flares and proton event forecasting // Adv. Space Res. V. 43. № 4. P. 467−473. 2009. https://doi.org/10.1016/j.asr.2008.08.011
- Bobra M.G., Couvidat S. Solar flare prediction using SDO/HMI vector magnetic field data with a machine-learning algorithm // Astrophys. J. V. 798. № 2. ID 135. 2015. https://doi.org/10.1088/0004-637X/798/2/135
- Brodrick D., Tingay S., Wieringa M. X-ray magnitude of the 4 November 2003 solar flare inferred from ionospheric attenuation of the galactic radio background // J. Geophys. Res. – Space. V. 110. № 9. ID A09S36. 2005. https://doi.org/10.1029/2004JA010960
- Cliver E.W., Schrijver C.J., Shibata K., Usoskin I.G. Extreme solar events // Living Rev. Sol. Phys. V. 19. № 1. ID 2. 2022. https://doi.org/10.1007/s41116-022-00033-8
- Emslie A.G., Dennis B.R., Shih A.Y., Chamberlin P.C., Mewaldt R.A., Moore C.S., Share G.H., Vourlidas A., Welsch B.T. Global energetics of thirty-eight large solar eruptive events // Astrophys. J. V. 759. № 1. ID 71. 2012. https://doi.org/10.1088/0004-637X/759/1/71
- Fleishman G., Anfinogentov S., Loukitcheva M., Mysh’yakov I., Stupishin A. Casting the coronal magnetic field reconstruction tools in 3D using the MHD Bifrost model // Astrophys. J. V. 839. № 1. ID 30. 2017. https://doi.org/10.3847/1538-4357/aa6840
- Georgoulis M.K., Yardley S.L., Guerra J.A. et al. Prediction of solar energetic events impacting space weather conditions // Adv. Space Res. 2024. (in press). https://doi.org/10.1016/j.asr.2024.02.030
- Guo Y., Cheng X., Ding M.D. Origin and structures of solar eruptions. II. Magnetic modeling // Sci. China Earth Sci. V. 60. № 8. P. 1408−1439. 2017. https://doi.org/10.1007/s11430-017-9081-x
- Guo Y., Ding M.D., Wiegelmann T. 3D magnetic field configuration of the 2006 December 13 flare extrapolated with the optimization method // Astrophys. J. V. 679. № 2. P. 1629−1635. 2008. https://doi.org/10.1086/587684
- Inoue S., Hayashi K., Kusano K. Structure and stability of magnetic fields in solar active region 12192 based on nonlinear force-free field modeling // Astrophys. J. V. 818. № 2. ID 168. 2016. https://doi.org/10.3847/0004-637X/818/2/168
- Katsova M.M., Obridko V.N., Sokoloff D.D., Livshits I.M. Solar and stellar flares: frequency, active regions and stellar dynamo // Astrophys. J. V. 936. № 1. ID 49. 2022. https://doi.org/10.3847/1538-4357/ac85e3
- Mahajan K.K., Lodhi N.K., Upadhayaya A.K. Observations of X-ray and EUV fluxes during X-class solar flares and response of upper ionosphere // J. Geophys. Res. – Space. V. 115. № 12. ID A12330. 2010. https://doi.org/10.1029/2010JA015576
- Muller D., Nicula B., Felix S. et al. JHelioviewer. Time-dependent 3D visualization of solar and heliospheric data // Astron. Astrophys. V. 606. ID A10. 2017. https://doi.org/10.1051/0004-6361/201730893
- Nita G.M., Fleishman G.D., Kuznetsov A.A., Anfinogentov S.A., Stupishin A.G., Kontar E.P., Schonfeld S.J., Klimchuk J.A., Gary D.E. Data-constrained solar modeling with GX Simulator // Astrophys. J. Suppl. S. V. 267. № 1. ID 6. 2023. https://doi.org/10.3847/1538-4365/acd343
- Priest E.R., Forbes T.G. The magnetic nature of solar flares // Astron. Astrophys. Rev. V. 10. № 4. P. 313−377. 2002. https://doi.org/10.1007/s001590100013
- Rudenko G.V., Myshyakov I.I. Analysis of reconstruction methods for nonlinear force-free fields // Sol. Phys. V. 257. № 2. P. 287−304. 2009. https://doi.org/10.1007/s11207-009-9389-7
- Sakurai T. Probability distribution functions of solar and stellar flares // Physics. V. 5. № 1. P. 11−23. 2023. https://doi.org/10.3390/physics5010002
- Scherrer P.H., Schou J., Bush R.I. et al. The Helioseismic and Magnetic Imager (HMI) Investigation for the Solar Dynamics Observatory (SDO) // Sol. Phys. V. 275. № 1−2. P. 207−227. 2012. doi: 10.1007/s11207-011-9834-2
- Sharykin I.N., Zimovets I.V., Myshyakov I.I., Meshalkina N.S. Flare energy release at the magnetic field polarity inversion line during the M1.2 solar flare of 2015 March 15. I. Onset of plasma heating and electron acceleration // Astrophys. J. V. 864. № 2. ID 156. 2018. https://doi.org/10.3847/1538-4357/aada15
- Sharykin I.N., Zimovets I.V., Myshyakov I.I. Flare energy release at the magnetic field polarity inversion line during the M1.2 solar flare of 2015 March 15. II. Investigation of photospheric electric current and magnetic field variations using HMI 135 s vector magnetograms // Astrophys. J. V. 893. № 2. ID 159. 2020. https://doi.org/10.3847/1538-4357/ab84ef
- Shibata K., Isobe H., Hillier A. et al. Can superflares occur on our Sun? // Publ. Astron. Soc. Jpn. V. 65. № 3. ID 49. 2013. https://doi.org/10.1093/pasj/65.3.49
- Sun X., Bobra M.G., Hoeksema J.T., Liu Y., Li Y., Shen C., Couvidat S., Norton A.A., Fisher G.H. Why is the great solar active region 12192 flare-rich but CME-poor? // Astrophys. J. V. 804. № 2. ID L28. 2015. https://doi.org/10.1088/2041-8205/804/2/L28
- Thalmann J.K., Tiwari S.K., Wiegelmann T. Comparison of force-free coronal magnetic field modeling using vector fields from Hinode and Solar Dynamics Observatory // Astrophys. J. V. 769. № 1. ID 59. 2013. https://doi.org/10.1088/0004-637X/769/1/59
- Thalmann J.K., Su Y., Temmer M., Veronig A.M. The confined X-class flares of solar active region 2192 // Astrophys. J. Lett. V. 801. № 2. ID L23. 2015. https://doi.org/10.1088/2041-8205/801/2/L23
- White S.M., Thomas R.J., Schwartz R.A. Updated expressions for determining temperatures and emission measures from GOES soft X-ray measurements // Sol. Phys. V. 227. № 2. P. 231−248. 2005. https://doi.org/10.1007/s11207-005-2445-z
- Wiegelmann T., Sakurai T. Solar force-free magnetic fields // Living Rev. Sol. Phys. V. 9. № 1. ID 5. 2012. https://doi.org/10.12942/lrsp-2012-5
- Zimovets I., Sharykin I., Myshyakov I. Quasi-periodic energy release in a three-ribbon solar flare // Sol. Phys. V. 296. № 12. ID 188. 2021. https://doi.org/10.1007/s11207-021-01936-9
Supplementary files








