Вариация несущей частоты серпентинной эмиссии в условиях спокойной магнитосферы
- Авторы: Куражковская Н.А.1, Клайн Б.И.1, Куражковский А.Ю.1
-
Учреждения:
- Институт физики Земли им. О.Ю. Шмидта РАН
- Выпуск: Том 64, № 4 (2024)
- Страницы: 479-488
- Раздел: Статьи
- URL: https://bakhtiniada.ru/0016-7940/article/view/277431
- DOI: https://doi.org/10.31857/S0016794024040039
- EDN: https://elibrary.ru/RTSWEN
- ID: 277431
Цитировать
Полный текст
Аннотация
По данным регистрации магнитного поля в Антарктической обсерватории Восток (исправленные геомагнитные координаты F'=−85.41°, L'=69.01°) за период 1970‒1972 гг. исследована вариация несущей частоты fSE серпентинной эмиссии, наблюдаемой в диапазоне частот 0.1‒5.0 Гц в условиях спокойной магнитосферы (Kp ~ 0‒2). Используя динамические спектры УНЧ-излучений, проанализировано 90 случаев наблюдения серпентинной эмиссии, центральная несущая частота которых плавно снижалась (в несколько раз, иногда до 0) и затем возрастала практически до первоначального уровня на интервалах времени, значительно превышающих максимальный период модуляции (1 ч). При этом типичная модуляция несущей частоты эмиссии с периодами 1‒60 мин сохранялась. Наиболее вероятное время наблюдения обнаруженного эффекта приходилось на предполуночные часы. Показано, что снижение fSE и последующее ее возрастание наблюдалось на фоне слабой геомагнитной активности и относительной стабильности доминирующего числа параметров солнечного ветра и ММП. Учитывая обнаруженное синхронное совпадение поведения fSE динамики величины AE-индекса, а также наблюдение эффекта понижения несущей частоты вблизи местной полуночи, предполагается, что вероятнее всего серпентинная эмиссия возбуждается вблизи полярного каспа и затем проникает в область полярной шапки. Наблюдавшееся на длительных интервалах времени поведение fSE предположительно контролируется плазменным параметром β и отношением плотности протонов к плотности ионов гелия Np/Na, динамика которых аналогична средней вариации fSE.
Полный текст
1. ВВЕДЕНИЕ
Как известно, в частотном диапазоне Pc1‒2 (0.1‒5.0 Гц) существует несколько разновидностей геомагнитных пульсаций, отличающихся по своим морфологическим свойствам [Гульельми и Троицкая, 1973]. В частности, к этому диапазону относится обнаруженное более пятидесяти лет тому назад в области южной полярной шапки ультранизкочастотное (УНЧ) излучение типа серпентинной эмиссии (Serpentine Emission – SE) [Гульельми и Довбня, 1973]. Название эмиссии произошло от внешнего вида ее динамического спектра, представляющего собой непрерывно извивающуюся полосу шириной ~ 0.1 Гц, отдаленно напоминающую ползущую змею.
Одной из главных особенностей SE является глубокая модуляция несущей частоты, квазипериод которой составляет 1‒60 мин. Среди существующего разнообразия периодов частотной модуляции [Довбня и Потапов, 2018] наиболее часто встречается 5-минутная модуляция [Guglielmi et al., 2015]. Согласно Гульельми и др. [1975] вероятнее всего модуляция несущей частоты SE определяется вариацией угла y между вектором напряженности ММП и линией Солнце−Земля, которая изменяется с течением времени в широком диапазоне периодов. Следует отметить, что режим модуляции несущей частоты SE не является стабильным. Так, в работе [Довбня и др., 1994] обнаружено возрастание квазипериода модуляции несущей частоты SE в среднем от 30 до 60 мин примерно за сутки до появления мощных протонных вспышек на Солнце. Также известны случаи наблюдения SE, в которых имеют место переходы от одних периодов модуляции к другим [Довбня и Потапов, 2018].
Другой типичной характеристикой серпентиной эмиссии является ее перманентность. При слабой и умеренной геомагнитной активности (Kp ~ 0‒3) SE может наблюдаться непрерывно от нескольких часов до нескольких суток. Однако в возмущенные периоды (во время внезапных начал геомагнитных бурь (Sudden Storm Commencement ‒ SSC) или развития суббурь в ночном секторе магнитосферы) несущая частота серпентинной эмиссии может прерываться на некоторое время и затем возобновляться вновь [Куражковская и Клайн, 2022; 2023]. Кроме нарушения режима генерации SE во время внезапных начал геомагнитных бурь в работе [Куражковская и Клайн, 2022] был обнаружен эффект понижения несущей частоты серпентинной эмиссии примерно за два часа до прихода фронта ударной волны. Вместе с тем нами было замечено, что в некоторых случаях, не имеющих никакого отношения к развитию геомагнитных бурь, поведение несущей частоты SE, было аналогично ее поведению во время, предшествующее моменту SSC. А именно, в условиях спокойной магнитосферы (Kp ~ 0‒2) на относительно большом интервале времени (5‒6 ч) наблюдалось плавное понижение несущей частоты SE в несколько раз с последующим ее возрастанием до первоначального уровня. При этом типичная модуляция несущей частоты SE с периодами от 1 до 60 мин [Гульельми и Довбня, 1973] продолжала сохраняться.
Несмотря на то, что в последние годы появились публикации [Гульельми и др., 2015; Довбня и др., 2017; Довбня и Потапов, 2018], посвященные исследованию спектра частотной модуляции серпентинной эмиссии, ее происхождению и интерпретации, факт наблюдения долговременной вариации несущей частоты SE не находит объяснения в рамках парадигмы этих работ. Параметры, стимулирующие подобное поведением несущей частоты SE, в настоящее время пока неизвестны. Согласно экспериментальным результатам и существующей гипотезе [Guglielmi et al., 2015], серпентинная эмиссия самовозбуждается в межпланетной среде в результате ионно-циклотронной неустойчивости плазмы, а ее частота модулируется волнами Альвена, исходящими от Солнца. Последнее позволяет предположить, что вероятный параметр, управляющий долговременной вариацией несущей частоты серпентинной эмиссии, может быть выявлен в солнечном ветре и межпланетном магнитном поле (ММП).
В настоящей работе исследована вариация несущей частоты серпентинной эмиссии в условиях спокойной магнитосферы и предпринята попытка поиска факторов, приводящих к эффекту спада и последующему росту до первоначального уровня несущей частоты SE.
2. ИСПОЛЬЗУЕМЫЕ ДАННЫЕ
Для анализа особенностей несущей частоты серпентинной эмиссии использовались оцифрованные аналоговые записи магнитного поля в формате WAV Антарктической обсерватории Восток (исправленные геомагнитные координаты F'=−85.41°, L'=69.01°) за период 1971–1972 гг., полученные из Мирового Центра Данных (МЦД) по Солнечно-Земной Физике (Москва) (http://www.wdcb.ru/arctic_antarctic/antarctic_magn_4.ru.html). Эти уникальные данные аналоговой регистрации короткопериодных вариаций геомагнитного поля, полученные на высокочувствительных индукционных магнитометрах советскими Антарктическими экспедициями на ст. Восток и оцифрованные с высокой частотой (20 Гц) появились в свободном доступе относительно недавно [Пилипенко и др., 2020] и позволили продолжить исследование морфологических закономерностей SE. С помощью имеющегося в нашем распоряжении программного обеспечения можно было выполнять непрерывный спектрально-временной анализ УНЧ электромагнитных колебаний в течение длительных интервалов времени (от нескольких часов до нескольких дней). По полученным в результате спектрально-временного анализа динамическим спектрам УНЧ-излучений было исследовано 90 случаев понижения и последующего возрастания несущей частоты SE, не связанных с внезапным началом геомагнитных бурь.
Кроме того, использовались среднечасовые данные параметров плазмы солнечного ветра, межпланетного магнитного поля (ММП) и индексов геомагнитной активности (аp, Dst, AL и AE) из базы данных OMNI, представленные в открытом доступе на вебсайте [http://omniweb.gsfc.nasa.gov/ow.html].
3. РЕЗУЛЬТАТЫ ИССЛЕДОВАНИЯ
3.1. На рис. 1а, б приведены типичные фрагменты вариации серпентинной эмиссии в обс. Восток, центральная несущая частота f которых постепенно уменьшалась в течение нескольких часов до минимального значения fmin и затем возвращалась к первоначальному уровню. Например, 1.05.1971 г. и 4.03.1972 г. fmin наблюдалась в интервалах времени 12:00–13:00 UT и 03:00–04:00 UT соответственно при постепенном снижении несущей частоты SE. Иногда в течение суток последовательно отмечались 2 и более эпизодов понижения несущей частоты (рис. 1в, г). Так, 20.07.1971 г. несущая частота SE снижалась до минимума в 19:00–20:00 UT и в 22:00–23:00 UT, а 22.06.1971 г. в 18:00–19:00 UT и 23:00–24:00 UT и затем увеличивалась до первоначального уровня. Характерно, что этот эффект наблюдался независимо от существующего периода модуляции несущей частоты в режиме SE. Центральная несущая частота эмиссии как с 5-минутной модуляцией, так и с более длиннопериодной модуляцией плавно уменьшалась в несколько раз (иногда ~ от 1–1.5 Гц до 0.1–0.2 Гц) и затем увеличивалась в течение 2–3 ч до первоначального уровня.
Рис. 1. Примеры наблюдения понижения и последующего возрастания центральной несущей частоты серпентинной эмиссии, наблюдаемой в обс. Восток: (а) ‒ 01.05.1971 г., (б) ‒ 04.03.1972 г., (в) ‒ 20.07. 1971 г., (г) ‒ 22.06.1971 г. в условиях спокойной магнитосферы (Kp~0‒1).
Общие закономерности поведения несущей частоты SE, полученные методом наложения эпох для всех анализируемых случаев, показаны на рис. 2. За реперную точку выбирался час, в котором несущая частота, постепенно снижаясь, достигала наименьшего значения fmin в каждом анализируемом случае. По динамическим спектрам SE оценивалась средняя несущая частота эмиссии в течение 5 ч до момента fmin и 5 ч после. Динамические спектры серпентинной эмиссии позволяли оценивать ее среднюю несущую частоту на временных промежутках длительностью 30 мин. Рисунок 2 наглядно демонстрирует динамику f, полученную методом наложения эпох по всем анализируемым событиям наблюдения SE. Видна четкая тенденция понижения несущей частоты SE примерно за 2.5–3 ч до репера. Величина f уменьшалась ~ в 3– 4 раза и затем постепенно увеличивалась в течение 2–3 ч практически до первоначального уровня.
Рис. 2. Динамика несущей частоты (f) SE, полученная методом наложения эпох на интервале времени 5 ч до и 5 ч после момента достижения минимальной величины несущей частоты. Нулевая точка на горизонтальной оси соответствует часу, в котором несущая частотa достигала наименьшего значения fmin. Вертикальными линиями обозначены стандартные ошибки средних значений.
3.2. С целью выяснения, в какое время суток наиболее вероятен эффект наблюдения понижения центральной несущей частоты SE, мы построили суточную вариацию числа часовых интервалов, в течение которых частота f принимает минимальные значения. На рис. 3 представлена зависимость (нормированного на максимальное число случаев) количества часовых интервалов, соответствующих fmin, от локального времени. Как видно из суточной вариации, в доминирующем числе случаев понижение несущей частоты наблюдается вблизи местной полночи (21:00–24:00 MLT). Второй меньший по величине максимум приходится на послеполуночные часы (02:00–04:00 MLT). Таким образом, понижение несущей частоты SE преимущественно наблюдается тогда, когда обс. Восток оказывается в основном в ночном секторе магнитосферы.
Рис. 3. Суточная вариация числа часовых интервалов, в которых несущая частота серпентинной эмиссии в обс. Восток принимала минимальные значения.
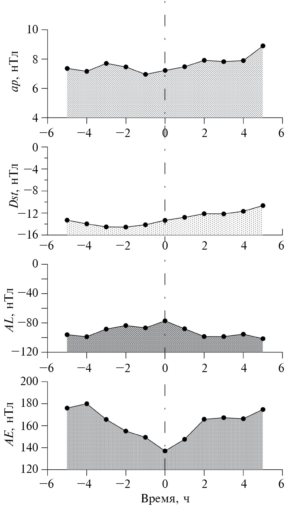
3.3. Как уже упоминалось выше, серпентинная эмиссия наблюдается в условиях спокойной магнитосферы. Рассмотрим состояние геомагнитной обстановки, на фоне которой происходит понижение несущей частоты SE в области полярной шапки. В качестве индикаторов уровня геомагнитной активности в различных широтных зонах Земли традиционно используются индексы ap, Dst и AE. Планетарный ap-индекс характеризует глобальную возмущенность магнитосферы Земли, Dst-индекс отражает интенсивность кольцевого тока и является индикатором развития геомагнитных бурь, AE-индекс характеризует возмущенность в авроральной зоне. Кроме перечисленных индексов, мы анализировали поведение AL-индекса, используемого для идентификации суббурь. Как следует из работы [Hsu and McPherron, 2004], отрицательные бухты в динамике AL-индекса продолжительностью более 20 мин и минимальной величиной AL-индекса ниже −100 нТл соответствуют развитию магнитосферных суббурь.
Динамика геомагнитных индексов, полученная методом наложения эпох, показана на рис. 4. Здесь и далее за реперную точку, как и при построении рис. 2, принимался час, в котором несущая частота, постепенно спадая, достигала наименьшего значения fmin в каждом анализируемом случае. Все индексы анализировались на интервале времени 5 ч до и 5 ч после момента, соответствующего fmin. Судя по величине и динамике ap-, Dst- и AE-индексов, планетарная возмущенность и геомагнитная активность в средних, экваториальных и авроральных широтах была очень слабой во время наблюдения понижений несущей частоты SE. В это время отсутствовали магнитные бури. Согласно Loewe and Prӧlss [1997] величина минимального значения Dst-индекса для развития слабой геомагнитной бури должна заключаться в пределах −30 нТл ≥ Dst > −50 нТл. В нашем случае величина модуля Dstmin не превышала 15 нТл (рис. 4). Кроме того, на ночной стороне магнитосферы не развивались суббури. В динамике AL-индекса отсутствовали отрицательные бухты и величина AL-индекса была > −100 нТл как до нулевой точки, так и после. В целом авроральная активность (как видно из динамики AE-индекса) плавно убывала к моменту fmin и затем постепенно возрастала. Следует заметить, что поведение AE-индекса имело внешнее сходство с усредненной вариацией несущей частоты серпентинной эмиссии (рис. 2). Таким образом, эффект понижения несущей частоты SE наблюдается при относительно низкой геомагнитной активности, которой должны соответствовать относительно стабильные параметры солнечного ветра и ММП. Тем не менее, как показали наши исследования [Куражковская и др., 2016], даже при слабой геомагнитной активности некоторые параметры солнечного ветра оказываются значимыми факторами, влияющими на УНЧ-колебания.
Рис. 4. Динамика средних значений индексов геомагнитной активности, полученная методом наложения эпох для случаев наблюдения понижения и последующего возрастания несущей частоты серпентинной эмиссии в обс. Восток. Нулевая точка на горизонтальной оси соответствует часу, в котором несущая частоты достигала наименьшего значения fmin.
3.4. Далее перейдем к анализу условий в солнечном ветре и ММП, на фоне которых наблюдалась долговременная вариация понижения и последующего возрастания центральной несущей частоты SE. Чтобы выделить общие закономерности межпланетной среды, использовался метод наложения эпох. Рассматривались следующие параметры плазмы солнечного ветра и ММП: концентрация N, скорость V, динамическое давление солнечного ветра Pdyn = rV2 (r ‒ плотность плазмы), модуль напряженности B, Bx-, By-, Bz- компоненты ММП, Ey-компонента электрического поля солнечного ветра, широта ММП q (угол между вектором B и его проекцией на плоскость эклиптики), долгота ММП j (угол между проекцией вектора B на плоскость эклиптики и Bx-компонентой ММП), cosy (y – угол между скоростью солнечного ветра и вектором ММП), β − параметр, равный отношению теплового давления к магнитному (β = NkT/(B2/8π), где N и T ‒ плотность (см-3) и температура (K) плазмы протонов солнечного ветра, B ‒ величина межпланетного магнитного поля в нТл), соотношение плотности α-частиц к плотности протонов Na/Np. Все параметры анализировались в солнечно-эклиптической системе координат.
На рис. 5 представлена динамика усредненных часовых значений вышеперечисленных параметров. Как видно из рис. 5, как до нулевой точки, так и после поведение параметров плазмы солнечного ветра N, V, Pdyn и модуля B ММП было относительно стабильным. Вблизи реперной точки в их динамике не наблюдалось флуктуаций, которые могли бы быть своеобразным триггером понижения несущей частоты серпентинной эмиссии. Средние значения этих параметров соответствовали условиям невозмущенной магнитосферы. Bx-компонента ММП сохраняла положительное направление до и после репера (в течение 10 анализируемых часов). By- и Bz-компоненты ММП изменили направление вблизи нулевой точки. Однако это никаким образом не отразилось на ориентации вектора ММП в плоскости эклиптики и в плоскости, ей перпендикулярной. Динамика углов q и j оставалась относительно стабильной до и после нулевой точки. В поведении Ey-компоненты электрического поля солнечного ветра также не обнаружено существенных флуктуаций. Вариация угла y, ответственного за режим модуляции серпентинной эмиссии, также не была подвержена существенным изменениям, которые могли бы спровоцировать понижение несущей частоты данного излучения.
Рис. 5. Динамика усредненных параметров плазмы солнечного ветра и ММП, полученная методом наложения эпох для случаев наблюдения понижения и последующего возрастания несущей частоты серпентинной эмиссии в обс. Восток. Нулевая точка на горизонтальной оси соответствует часу, в котором несущая частоты достигала наименьшего значения fmin.
Наиболее значимые изменения вблизи реперной точки мы обнаружили в динамике двух параметров межпланетной среды. Одним из них является параметр β, другим ‒ Np/Na (соотношение плотности протонов к плотности α-частиц). Здесь заметим, что в базе данных OMNI представлено соотношение плотности α-частиц к плотности протонов Na/Np. Для удобства сопоставления с поведением несущей частоты SE мы использовали параметр Np/Na. На рис. 6 представлена динамика β параметра и соотношения Np/Na, полученная методом наложения эпох для всех случаев наблюдения понижения несущей частоты SE.
Рис. 6. Вариации параметра b солнечного ветра и соотношения числа протонов к числу a-частиц, полученные методом наложения эпох для случаев наблюдения понижения и последующего возрастания несущей частоты серпентинной эмиссии в обс. Восток. Нулевая точка на горизонтальной оси соответствует часу, в котором несущая частоты достигала наименьшего значения fmin.
Тенденция поведения этих двух параметров аналогична динамике средней несущей частоты серпентинной эмиссии (рис. 2). Явно виден спад как β параметра, так и соотношения Np/Na вблизи нулевой точки и затем постепенный их возврат к первоначальному уровню. Эволюция значений параметра b отражает изменение баланса теплового и магнитного давлений. За несколько часов до репера величина b > 2, и, следовательно, тепловое давление в потоке плазмы солнечного ветра превышает магнитное давление. Примерно за час до момента достижения fmin несущей частоты SE величина b становится близкой к 1, что свидетельствует о примерно равном тепловом и магнитном давлении. Уменьшение отношения Np/Na к моменту достижения fmin отражает уменьшение плотности протонов по сравнению с плотностью ионов гелия, поступающих в магнитосферу. Затем величина Np/Na постепенно возрастает, что указывает на уменьшение ионов гелия в солнечном ветре. Обнаруженное внешнее подобие динамики несущей частоты SE с поведением параметров b и Np/Na может косвенно указывать на возможное влияние этих параметров на эффект снижения несущей частоты SE в области полярной шапки.
4. ОБСУЖДЕНИЕ
В данной работе показано, что помимо известной модуляции с периодами от 1 мин до 1 ч несущая частота серпентинной эмиссии подвержена длительному по времени снижению до fmin ~ 0.1‒0.2 Гц, а иногда и до 0 с последующим восстановлением на интервалах времени, значительно превышающих максимальный период модуляции (рис. 1, рис. 2). Ранее подобное поведение несущей частоты эмиссии наблюдалось примерно за два часа до прихода фронта ударной волны во время развития геомагнитных бурь [Куражковская и Клайн, 2022]. Однако проследить поведение несущей частоты после момента SSC не представлялось возможным, поскольку режим генерации эмиссии прерывался возникшим одновременно с SSC шумовым широкополосным электромагнитным излучением в диапазоне Pc1‒2. Продолжительность шумового излучения составляла 2‒3 ч. Условия спокойной магнитосферы позволили исследовать динамику несущей частоты SE не только на интервале ее понижения, но и далее на интервале возрастания в течение нескольких часов. В результате проведенного анализа было обнаружено, что несущая частота SE уменьшалась ~ в 3‒4 раза за 2.5–3 ч до момента достижения fmin и затем постепенно увеличивалась в течение 2–3 ч и достигала практически первоначального уровня.
Исследование геомагнитной обстановки и условий межпланетной среды, на фоне которой наблюдалось понижение f, показало, что планетарная возмущенность, геомагнитная активность в средних, экваториальных и авроральных широтах была очень слабой, а большинство параметров солнечного ветра и ММП было относительно стабильно. Судя по усредненной динамике межпланетных параметров (рис. 5), вряд ли какой-либо параметр мог способствовать понижению несущей частоты SE.
Вместе с тем следует обратить внимание на некоторые схожие закономерности поведения авроральной активности (AE-индекс), параметров солнечного ветра (β и Np/Na) и вариации несущей частоты серпентинной эмиссии. Так, наблюдается синхронное снижение до fmin и дальнейшее возрастание несущей частоты SE с уменьшением и последующим увеличением величины AE-индекса (рис. 4). Кроме того, наиболее вероятное время наблюдения случаев понижения несущей частоты SE соответствует местной полночи (21:00–24:00 MLT), т.е. когда обс. Восток оказывается на ночной стороне магнитосферы. Маловероятно, что при слабой геомагнитной активности излучение, несущая частота которого синхронно изменяется с AE-индексом, возбуждается в плазме солнечного ветра, как это предполагается, например, Гульельми и др. [2015]. Синхронное снижение несущей частоты эмиссии в ночном секторе с уменьшением авроральной активности может быть, по-видимому, связано с процессами в полярных областях магнитосферы, контролируемых солнечным ветром. В частности, роль контролирующих параметров солнечного ветра и ММП могли играть плазменный параметр β и отношение плотности протонов к плотности ионов гелия Np/Na. Действительно, уменьшение (увеличение) несущей частоты SE наблюдается на фоне уменьшения (увеличения) величины этих параметров (рис. 6). Не исключено, что такая динамика параметра b и соотношения Np/Na в солнечном ветре оказывает влияние на процессы изменения режима обтекания магнитосферы, конфигурации и напряженности геомагнитного поля, на фоне которых и происходит снижение несущей частоты SE.
Серпентинная эмиссия наблюдается главным образом в области полярной шапки, к которой тесно примыкает область полярного каспа, характеризующаяся высокотурбулизованной плазмой. В силу особенностей топологии высокоширотной магнитосферы в полярном каспе присутствует как плазма солнечного ветра, проникающая из магнитослоя, так и ионосферная плазма. Кроме того, в области полярного каспа происходит ускорение частиц и формирование монохроматических ионных пучков, направленных вдоль магнитопаузы, и состоящих, в основном, из ионов гелия и протонов [Fuselier et al., 1991]. Именно вблизи каспов, а не в подсолнечной области магнитосферы, локализовано пересоединение межпланетного и геомагнитного полей при Bz > 0 [Song et al., 2000]. Из анализа динамики межпланетных параметров (рис. 5) следует, что Bz-компонента имела северное направление во время снижения несущей частоты SE вплоть до момента достижения fmin и некоторое время на этапе ее возрастания, что благоприятно для развития процесса пересоединения вблизи каспа.
Исходя из вышесказанного, можно предположить, что вероятнее всего генерация эмиссии SE происходит вблизи полярного каспа, и затем это излучение проникает в область полярной шапки. Здесь необходимо отметить, что динамика параметра β, который не только отражает баланс теплового и магнитного давлений в межпланетной среде, но и контролирует развитие процессов пересоединения [Phan et al., 2010], а также уровень турбулентности плазмы солнечного ветра [Wang et al., 2018], имеет подобие с динамикой несущей частоты SE. Это служит дополнительным аргументом, обосновывающим наше предположение, и не позволяет пренебрегать особенностями обтекания полярных каспов солнечным ветром.
В заключение хотелось обратить внимание на то, что долговременная вариация понижения несущей частоты SE, наблюдаемой в условиях невозмущенной магнитосферы, не может быть объяснена вариацией угла y, ранее считающимся ответственным за режим модуляции SE [Гульельми и Довбня, 1973], поскольку динамика этого угла оставалась стабильной как до момента fmin, так и после (рис. 5). Аналогичное поведение угла y наблюдалось в течение нескольких часов до момента SSC, когда также был обнаружен эффект понижения несущей частоты SE [Куражковская и Клайн, 2022].
5. ЗАКЛЮЧЕНИЕ
По данным динамических спектров серпентинной эмиссии, наблюдаемой в обс. Восток, исследовано 90 случаев плавного понижения (в несколько раз, иногда до 0) центральной несущей частоты SE с последующим ее возрастанием на длительном интервале времени. При этом модуляция SE с характерными периодами от 1 до 60 мин сохранялась. Обнаруженный эффект наблюдался преимущественно вблизи местной полуночи на фоне слабой геомагнитной возмущенности и относительно стабильных большинства параметров межпланетной среды. Предположительно снижение несущей частоты SE могло быть стимулировано уменьшением плазменного параметра β и отношением плотности протонов к плотности ионов гелия Np/Na, динамика которых аналогична средней вариации несущей частоты SE и отражает уровень турбулентности солнечного ветра и соответственно режим обтекания магнитосферы.
Исходя из того, что несущая частота SE снижается преимущественно вблизи полуночи синхронно с уменьшением авроральной активности, можно предположить, что в невозмущенных геомагнитных условиях, скорее всего, эмиссия возбуждается вблизи полярного каспа и затем проникает в область полярной шапки. По-видимому, усиление турбулентности солнечного ветра и уменьшение плотности протонов по сравнению с плотностью ионов гелия оказывает влияние не только на режим обтекания высокоширотных областей магнитосферы, но и вариацию несущей частоты серпентинной эмиссии, наблюдаемой в области полярной шапки.
БЛАГОДАРНОСТИ
Авторы выражают благодарность сотрудникам Мирового центра данных по солнечно-земной физике (Москва) за предоставление открытого доступа к уникальным цифровым данным регистрации магнитного поля с высоким разрешением в Антарктической обсерватории Восток. Также авторы благодарны создателям базы данных OMNI (Goddard Space Flight Center, NASA, USA) за возможность использования параметров солнечного ветра, ММП и данных ap-, Dst-, AE- и AL- индексов.
ФИНАНСИРОВАНИЕ РАБОТЫ
Работа выполнена в рамках Государственного задания Геофизической обсерватории “Борок” ИФЗ РАН. № гос. задания FMWU-2022-0027.
Об авторах
Н. А. Куражковская
Институт физики Земли им. О.Ю. Шмидта РАН
Автор, ответственный за переписку.
Email: knady@borok.yar.ru
Геофизическая обсерватория “Борок” (ГО “Борок” ИФЗ РАН)
Россия, пос. Борок, Ярославская обл.Б. И. Клайн
Институт физики Земли им. О.Ю. Шмидта РАН
Email: klain@borok.yar.ru
Геофизическая обсерватория “Борок” (ГО “Борок” ИФЗ РАН)
Россия, пос. Борок, Ярославская обл.А. Ю. Куражковский
Институт физики Земли им. О.Ю. Шмидта РАН
Email: ksasha@borok.yar.ru
Геофизическая обсерватория “Борок” (ГО “Борок” ИФЗ РАН)
Россия, пос. Борок, Ярославская обл.Список литературы
- Гульельми А.В., Троицкая В.А. Геомагнитные пульсации и диагностика магнитосферы. М.: Наука, 208 с. 1973.
- Гульельми А.В., Довбня Б.В. Гидромагнитное излучение межпланетной плазмы // Письма в ЖЭТФ. Т. 18. № 10. С. 601–604. 1973.
- Гульельми А.В., Довбня Б.В., Клайн Б.И. Возбуждение геомагнитных пульсаций типа “серпентинная эмиссия” в межпланетной плазме // Доклады Академии наук СССР. Т. 221. № 6. С. 1314‒1317. 1975.
- Гульельми А.В., Потапов А.С., Довбня Б.В. О происхождении частотной модуляции серпентинной эмиссии // Солнечно-земная физика. Т. 1. № 2. С. 85–90. 2015. https://doi.org/10.12737/9617
- Довбня Б.В., Зотов О.Д., Клайн Б.И., Куражковская Н.А. Динамика излучения типа SE перед мощными протонными вспышками на Солнце // Геомагнетизм и аэрономия. Т. 34. № 3. С. 188–191. 1994.
- Довбня Б.В., Клайн Б.И., Гульельми А.В., Потапов А.С. Спектр частотной модуляции серпентиной эмиссии как отражение спектра солнечных колебаний // Солнечно-земная физика. Т. 3. № 1. С. 59–62. 2017. https://doi.org/10.12737/23043
- Довбня Б.В., Потапов А.С. Исследование частотной модуляции серпентинной эмиссии // Физика Земли. № 5. С. 19–26. 2018. https://doi.org/10.1134/S0002333718050058
- Куражковская Н.А., Клайн Б.И., Лавров И.П. Длиннопериодные иррегулярные пульсации в условиях спокойной магнитосферы // Геомагнетизм и аэрономия. Т. 56. № 3. С. 314–323. 2016. https://doi.org/10.7868/S0016794016030111
- Куражковская Н.А., Клайн Б.И. Эффект прерывания серпентинной эмиссии (SE) в полярной шапке во время внезапных начал геомагнитных бурь (SSC) // Геомагнетизм и аэрономия. Т. 62. № 5. С. 617–626. 2022. https://doi.org/10.31857/S0016794022040101
- Куражковская Н.А., Клайн Б.И. Особенности поведения излучения типа SE во время суббурь // Геомагнетизм и аэрономия. Т. 63. № 2. С. 163–173. 2023. https://doi.org/10.31857/S0016794022600521
- Пилипенко В.А., Довбня Б.В., Мартинес-Беденко В.А., Добровольский М.Н. Геомагнитные наблюдения на станции Восток советских Антарктических экспедиций: научная проблематика и архив данных // Вестник ОНЗ РАН. Т. 12. NZ4003. 2020. https://doi.org/10.2205/2020NZ000366
- Fuselier S.A., Klumpar D.M. Shelley E.G. He2+ and H+ dynamics in the subsolar magnetosheath and plasma depletion layer // J. Geophys. Res. – Space. V. 96. № 12. P. 21095–21104. 1991. https://doi.org/10.1029/91JA02145
- Guglielmi A., Potapov A., Dovbnya B. Five-minute solar oscillations and ion-cyclotron waves in the solar wind // Solar Phys. V. 290. № 10. P. 3023–3032. 2015. https://doi.org/10.1007/s11207-015-0772-2
- Hsu T.-S., McPherron R.L. Average characteristics of triggered and nontriggered substorms // J. Geophys. Res. – Space. V. 109. № 7. ID A07208. 2004. https://doi.org/10.1029/2003JA009933
- Loewe C.A., Prӧlss G.W. Classification and mean behavior of magnetic storms // J. Geophys. Res. – Space. V. 102. № 7. P. 14209‒14213. 1997. https://doi.org/10.1029/96JA04020
- Phan T.D., Gosling J.T., Paschmann G., Pasma C., Drake J.F, Øieroset M., Larson D., Lin R.P., Davis M.S. The dependence of magnetic reconnection on plasma β and magnetic shear evidence from solar wind observation // Astrophys J. Lett. V. 719. № 2. P. L199–L203. 2010. https://doi.org/10.1088/2041-8205/719/2/L199
- Song P., Gombosi T.I., DeZeeuw D.L., Powell K.G., Groth C.P.T. A model of solar wind‒magnetosphere‒ionosphere coupling for due northward IMF // Planet. Space Sci. V. 48. № 1. P. 29‒39. 2000. https://doi.org/10.1016/S0032-0633(99)00065-3
- Wang X., Tu C.-Y., He J.-S., Wang L.-H. Ion-scale spectral break in the normal plasma beta range in the solar wind turbulence // J. Geophys. Res. – Space. V. 123. № 1. P. 68–75. 2018. https://doi.org/10.1002/2017JA024813
Дополнительные файлы









