Seasonal-diurnal features of the medium-scale traveling ionospheric disturbances characteristics in the Asian Region of Russia During years of moderate solar activity
- Authors: Kurkin V.I.1,2, Podlesnyi A.V.1, Cedrik M.V.1, Sofyin A.V.1,2
-
Affiliations:
- Institute of Solar-Terrestrial Physics of Siberian Branch of Russian Academy of Sciences
- Russian New University
- Issue: Vol 64, No 3 (2024)
- Pages: 400-407
- Section: Articles
- URL: https://bakhtiniada.ru/0016-7940/article/view/274418
- DOI: https://doi.org/10.31857/S0016794024030065
- EDN: https://elibrary.ru/SMRMAS
- ID: 274418
Cite item
Full Text
Abstract
Based on data from a network of oblique-incidence sounding radio paths at mid-latitudes in the Asian region of Russia, a high (up to 40−50%) average-daily recording probability of the medium-scale traveling ionospheric disturbances in years of moderate solar activity has been identified. The daily variation in the recording probability of these disturbances at mid-latitude radio paths in the Asian region of Russia has a pronounced seasonal dependence. For the winter season, there is a daily maximum probability, reaching 100% on some days. In the summer season, it occurs at night hours of local time at the midpoint of the corresponding radio path. The most likely reason for this is the transition from winter to summer pattern of the atmosphere zonal circulation.
Full Text
1. ВВЕДЕНИЕ
Исследования среднемасштабных перемещающихся ионосферных возмущений (СМ ПИВ) с помощью ионозондов вертикального и наклонного зондирования имеют длительную историю (см., например, [Wells et al.,1946; Munro, 1950]). Ввиду существенного влияния СМ ПИВ на многолучевость КВ ионосферного радиоканала и трудности прогнозирования их появления, реализуются многолетние национальные и международные программы исследования СМ ПИВ с использованием систем радиотрасс наклонного зондирования (НЗ) [Zolesi et al., 2008; Verhulst et al., 2017; Heitmann et al., 2018]. В России аналогичные многолетние исследования активно ведутся в ее европейской части [Вертоградов и др., 2008; Vybornov et al., 2022]. В азиатском регионе России СМ ПИВ исследуются как с использованием многопозиционных измерений на Иркутском радаре некогерентного рассеяния и дигизонде DPS-4 [Medvedev et al., 2013], так и на системе радиотрасс наклонного ЛЧМ зондирования ионосферы [Софьин и Куркин, 2021]. Однако многообразие потенциальных источников СМ ПИВ и широкий диапазон их собственных характеристик оставляет еще много неясных вопросов в их прогнозировании и возможном использовании для диагностики динамических характеристик нейтральной атмосферы. В данной статье приведены результаты анализа сезонно-суточных зависимостей характеристик СМ ПИВ на основе двухлетнего эксперимента по наклонному зондированию ионосферы азиатского региона России в годы умеренной солнечной активности (2015–2016 гг.).
2. ЭКСПЕРИМЕНТАЛЬНЫЕ ДАННЫЕ
Мы проанализировали данные наклонного зондирования ионосферы непрерывным сигналом с линейной модуляцией частоты (ЛЧМ-сигнал) в диапазоне 6–30 МГц со скоростью перестройки 500 кГц/с на системе из пяти радиотрасс с использованием аппаратуры, разработанной в ИСЗФ СО РАН и послужившей основой для многофункционального ЛЧМ-ионозонда для мониторинга ионосферы [Подлесный и др., 2013]. Три ЛЧМ-передатчика, расположенные в обсерваториях ИСЗФ СО РАН в Норильске (координаты 70.1° N, 88.1° E; мощность 150 Вт) и ИКИР ДВО РАН вблизи Магадана (60° N, 150.7° E; 150 Вт) и Хабаровска (47.6° N, 134.7° E; 15 Вт), излучали круглосуточно с интервалом 5 минут. В Норильске и Магадане передача велась на логопериодические антенны, в Хабаровске – на горизонтальный ромб. Два приемных пункта расположены в п. Торы вблизи Иркутска (координаты 51.8° N, 103.1° E) и вблизи Норильска (рис. 1).
Рис. 1. Система радиотрасс наклонного ЛЧМ-зондирования ионосферы в азиатском регионе России.
В Иркутске прием проводился на дельтаобразную антенну размахом 36 м на мачте высотой 10 м, в Норильске – на активную рамочную антенну диаметром 1 м. Буквами A, B, C, D и E на рис. 1 обозначены средние точки односкачковых радиотрасс, анализируемых в данной работе. Непрерывный мониторинг в режиме наклонного зондирования осуществлялся на 5 трассах: Хабаровск−Иркутск (2300 км), Магадан−Иркутск (3000 км), Норильск−Иркутск (2100 км), Хабаровск−Норильск (3500 км) и Магадан−Норильск (3000 км). Эксперимент проводился в годы умеренной солнечной активности на спаде 24-го цикла, когда ежемесячное усредненное количество солнечных пятен уменьшалось от 90 до 30.
На рис. 2, в качестве иллюстрации, для трассы Хабаровск−Иркутск показаны характерные возмущения (Z-типа) на ионограммах наклонного зондирования, возникающие за счет дополнительной многолучевости принимаемого сигнала при пересечении СМ ПИВ области в окрестности точки отражения односкачкового сигнала. Область эффективного воздействия СМ ПИВ на регистрируемые ионограммы составляет несколько сотен км в окрестности средней точки трассы [Софьин и Куркин, 2021]. Следует отметить, что в отличие от вертикального и слабонаклонного зондирования возмущенная область на ионограммах НЗ (Z-типа) всегда спускается вдоль трека верхнего луча вниз, переходя, как правило, со временем на нижний луч и продолжая движение в область меньших задержек.
Рис. 2. Примеры ионограмм НЗ с возмущениями Z-типа для трассы Хабаровск−Иркутск с интервалом 5 мин.
Указанная система радиотрасс позволила провести сопоставление влияния СМ ПИВ на ионограммы наклонного зондирования для односкачковых радиотрасс азиатского региона России при различной их ориентации и при расположении области отражения сигналов в средних и субполярных широтах. В качестве характеристик возмущений ионограмм в дальнейшем будут использоваться:
Pt – вероятность регистрации СМ ПИВ, определяемая отношением числа ионограмм с возмущениями Z-типа к общему числу зарегистрированных ионограмм в течение часового интервала наблюдений;
Pd – среднесуточная вероятность регистрации СМ ПИВ, определяемая отношением возмущенных ионограмм для какого-либо числа выбранного месяца к общему числу зарегистрированных ионограмм в этот день;
Tn – длительность регистрации конкретного СМ ПИВ определяемая произведением числа возмущенных ионограмм, где он присутствует, на пятиминутный интервал регистрации.
3. ОБСУЖДЕНИЕ РЕЗУЛЬТАТОВ НАБЛЮДЕНИЯ
Передающие пункты рассматриваемой системы радиотрасс работали стабильно в течении всего анализируемого периода наблюдений, обеспечивая излучение в более 95% всех планируемых сеансов. Исключение составляют сентябрь 2015 г. для Магаданского пункта (65%) и август 2015 г. для Норильского передатчика (75%). Приемный пункт в п. Торы вблизи Иркутска работал без сбоев. Норильский приемный пункт, расположенный на выносном пункте “Исток” Норильской комплексной магнитно-ионосферной станции (КМИС) в тундре в 100 км от Норильска, обеспечил регистрацию ионограмм в более 80% случаев, когда излучали передатчики в Хабаровске и в Магадане. Исключение составил март 2016 г., когда было зарегистрировано около 50% излученных сигналов.
Для среднеширотных трасс Хабаровск−Иркутск, Магадан−Иркутск и Норильск−Иркутск суточный ход вероятности регистрации СМ ПИВ (Pt) в зимние месяцы имеет ярко выраженный максимум в дневные часы местного времени в средних точках указанных радиотрасс.
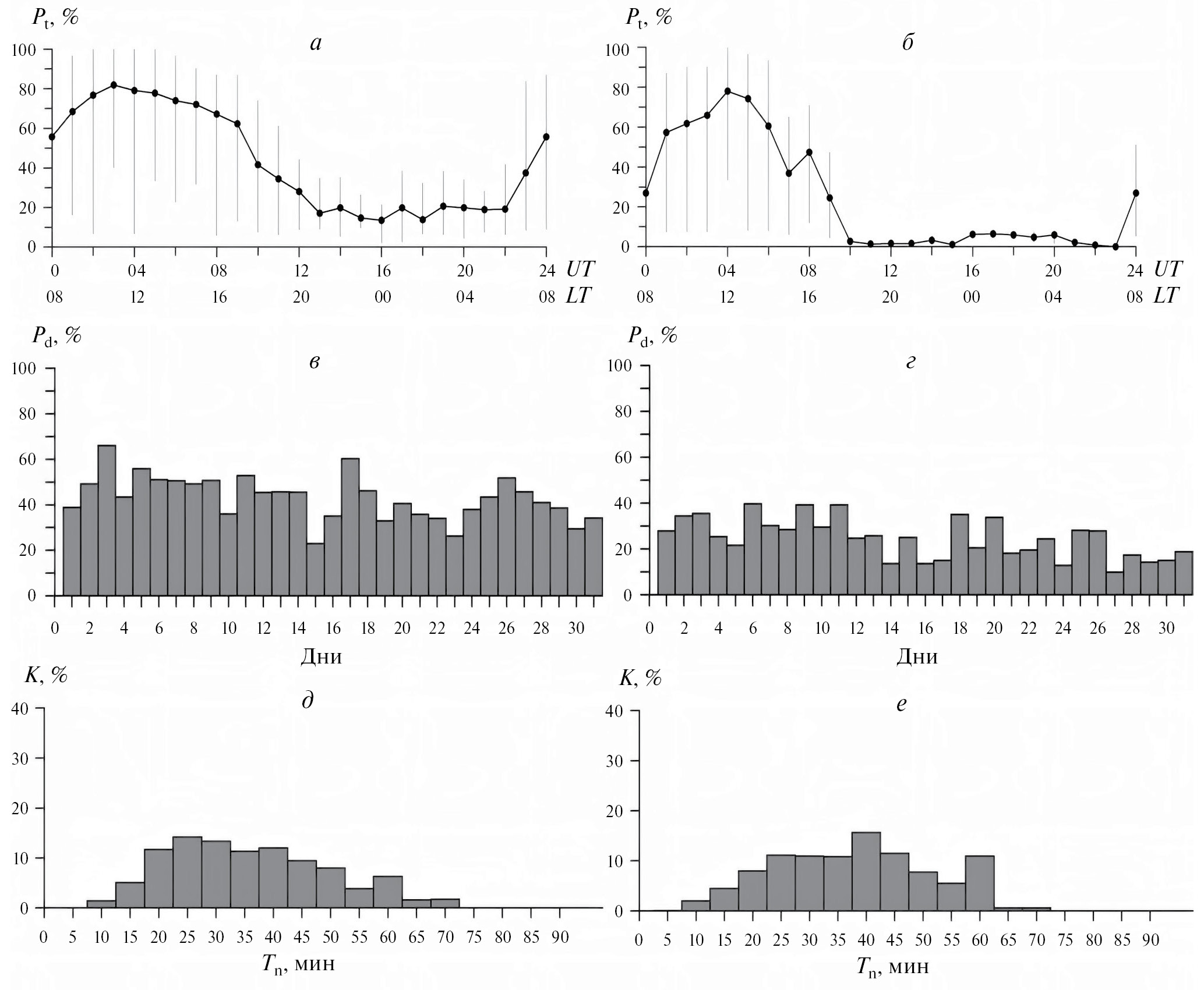
На рис. 3 (а и б) вертикальными линиями указан диапазон значений Pt ото дня ко дню для каждого часа суток в декабре 2015 г. для трасс Хабаровск−Иркутск и Магадан−Иркутск. Среднемесячные значения Pt, указанные здесь точками, в дневные часы превышали 70%. Среднесуточная вероятность регистрации СМ ПИВ (Pd) была максимальной на трассе Хабаровск−Иркутск (в среднем более 40%), достигая в отдельные дни 60% (рис. 3в). Вероятность регистрации СМ ПИВ длительностью от 30 до 70 мин превышала 60%. При этом интервал минимальной вероятности регистрации возмущенных ионограмм в суточном ходе (12–20 UT) для трассы Хабаровск−Иркутск хорошо коррелирует с данными многолетних наблюдений временной зависимости интенсивности ВГВ вблизи средней точки радиотрассы (ст. Мохэ) с использованием метеорного радара [Long et al., 2023]. На трассах Магадан−Иркутск и Норильск−Иркутск в освещенное время суток (00–09 UT) среднемесячные значения вероятности регистрации возмущений Pt превышали 60%, достигая в отдельные дни 100% так же, как и для трассы Хабаровск−Иркутск. В ночные часы частота появления СМ ПИВ на этих трассах мала, хотя критические частоты в средних точках трасс незначительно ниже, чем для трассы Хабаровск−Иркутск. Среднесуточная вероятность регистрации СМ ПИВ (Pd) в декабре 2015 г. на трассе Магадан−Иркутск варьировалась от 10% до 40% (рис. 3г). Длительность регистрации каждого СМ ПИВ (Tn) для этих трех радиотрасс варьировалась от 15 до 90 минут. При этом, значения Tn, равные 30 мин и более, зарегистрированы приблизительно в 70% случаев. Указанные особенности вероятностных характеристик СМ ПИВ на среднеширотных односкачковых радиотрассах азиатского региона России характерны как для остальных месяцев зимнего сезона 2015–2016 гг. [Kurkin et al., 2023], так и для зимнего сезона 2014–2015 гг.
Рис. 3. Характеристики СМ ПИВ (Pt, Pd, Tn) в декабре 2015 г. для радиотрасс Хабаровск−Иркутск (а, в, д) и Магадан−Иркутск (б, г, е).
На субполярной радиотрассе Магадан−Норильск среднемесячные значения вероятности регистрации возмущений Pt в дневные часы были существенно ниже, не превышая 60%, а интервал времени регистрации ПИВ сократился (01–08 UT). В остальные часы вероятность регистрации СМ ПИВ очень мала, что связано с низкой концентрацией фоновой ионосферы в это время вдоль субполярной радиотрассы. Длительность регистрации отдельных СМ ПИВ, в основном, составляла 15–35 мин.
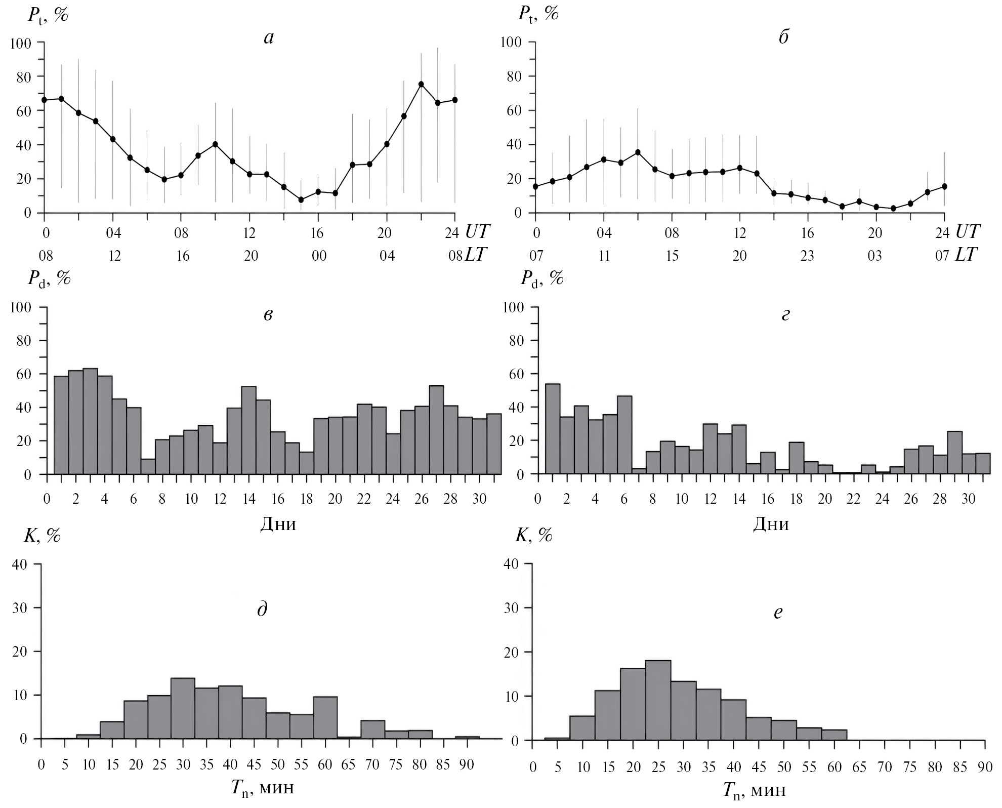
Для весеннего сезона характерно существенное падение вероятности регистрации СМ ПИВ (Pt) на трассах Хабаровск−Иркутск (рис. 4а) и Магадан−Иркутск в дневные часы местного времени и увеличение ее в утренние и вечерние часы. При этом среднесуточная вероятность регистрации СМ ПИВ (Pd) уменьшилась незначительно за счет расширения временного интервала регистрации СМ ПИВ. Незначительно изменились и гистограммы распределения времени регистрации отдельных СМ ПИВ (Tn) для этих радиотрасс.
Рис. 4. Характеристики СМ ПИВ (Pt, Pd, Tn) для радиотрасс Хабаровск−Иркутск (а, в, д) и Норильск−Иркутск (б, г, е) в марте 2016 г.
На трассе Норильск−Иркутск наряду с уменьшением дневного максимума Pt (рис. 4б) отмечается существенная изменчивость как вероятности регистрации СМ ПИВ ото дня ко дню в одни и те же часы, так и длительности регистрации отдельных СМ ПИВ в результате перестройки глобальной атмосферной циркуляции. Более 60% зарегистрированных СМ ПИВ имели длительность Tn менее 30 мин.
Для радиотрасс Хабаровск−Норильск и Магадан−Норильск дневной максимум вероятности регистрации СМ ПИВ увеличился по сравнению с зимним сезоном до 60% при незначительном росте вероятности регистрации СМ ПИВ в ночные часы.
Аналогичные особенности проявления СМ ПИВ на среднеширотных трассах азиатского региона России Хабаровск−Иркутск, Норильск−Иркутск и Магадан−Иркутск зарегистрированы в осенний сезон (рис. 5). Для радиотрасс Хабаровск−Норильск и Магадан−Норильск дневной максимум среднемесячных значений вероятности регистрации СМ ПИВ (Pt) осенью не превышал 30%.
Рис. 5. То же, что на рис. 4, для сентября 2015 г.
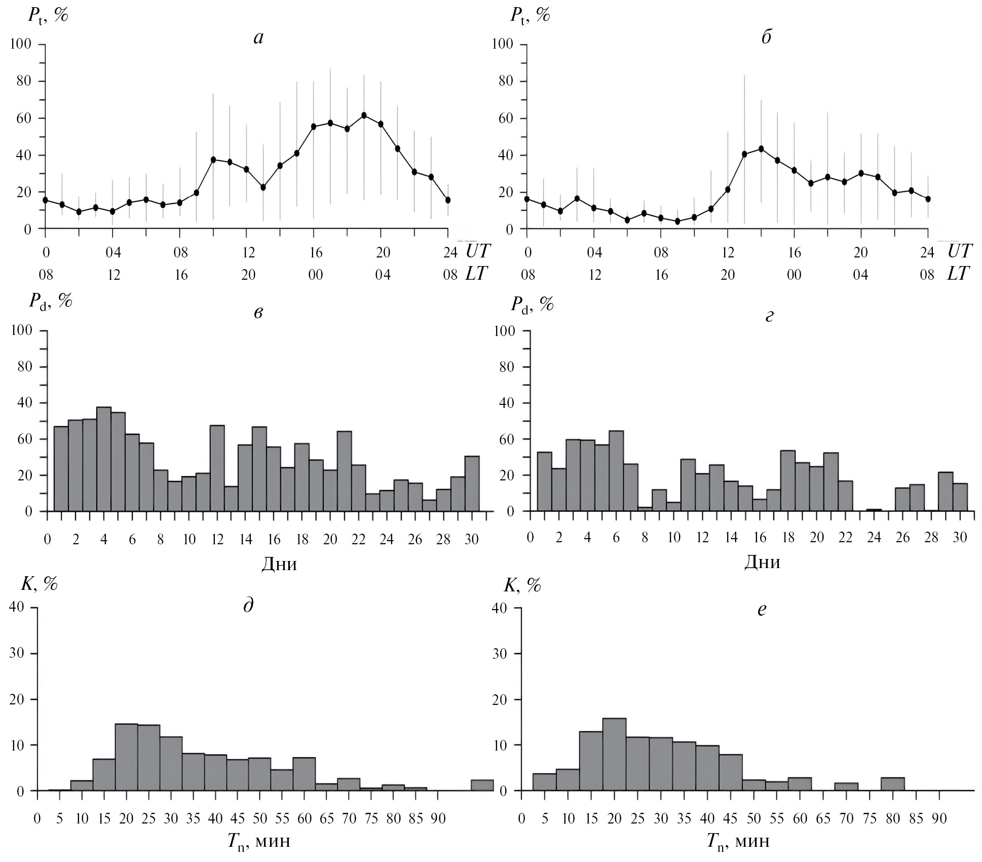
В летние месяцы на всех трассах в дневные часы местного времени регистрировалось минимальное количество СМ ПИВ (не более 20%) с выраженным максимумом среднемесячной вероятности (около 60%) в ночные часы. Наряду с большими длительностями (40 мин и более) в эти дни наблюдались многочисленные СМ ПИВ с длительностями 30 минут и менее. В качестве иллюстрации на рис. 6 приведены характеристики СМ ПИВ на трассах Хабаровск−Иркутск и Норильск−Иркутск в июне 2015 г. Существенные вариации среднесуточных вероятностей регистрации СМ ПИВ (Pt) в периоды 8–10 и 22–28 июня объясняются влиянием умеренной и мощной геомагнитных бурь.
Рис. 6. Характеристики СМ ПИВ (Pt, Pd, Tn) для радиотрасс Хабаровск−Иркутск (а, в, д) и Норильск−Иркутск (б, г, е) в июне 2015 г.
4. ЗАКЛЮЧЕНИЕ
Суточный ход вероятности регистрации СМ ПИВ на односкачковых радиотрассах в азиатском регионе России в годы умеренной солнечной активности имеет ярко выраженную сезонную зависимость. Для зимнего сезона на всех рассмотренных трассах наблюдается дневной максимум Pt, достигающий на среднеширотных радиотрассах в отдельные дни 100%. В летний сезон максимум Pt приходится на ночные часы местного времени в средней точке соответствующей трассы. Наиболее вероятной причиной этого является переход от зимней к летней системе атмосферной циркуляции. Поэтому в весенний и осенний сезоны отмечены существенные изменения как вероятности регистрации СМ ПИВ ото дня ко дню, так и длительности регистрации отдельных СМ ПИВ в течение суток.
ФИНАНСИРОВАНИЕ РАБОТЫ
Работа выполнена при финансовой поддержке Российского научного фонда (проект № 20-12-00299-П), использованы экспериментальные данные и результаты первичной обработки, полученные при финансовой поддержке Минобрнауки (субсидия № 075-ГЗ/Ц3569/278) с помощью оборудования Центра коллективного пользования “Ангара” (http://ckp-angara.iszf.irk.ru/).
About the authors
V. I. Kurkin
Institute of Solar-Terrestrial Physics of Siberian Branch of Russian Academy of Sciences; Russian New University
Author for correspondence.
Email: vikurkin@yandex.ru
Russian Federation, Irkutsk, Moscow
A. V. Podlesnyi
Institute of Solar-Terrestrial Physics of Siberian Branch of Russian Academy of Sciences
Email: pav1986@rambler.ru
Russian Federation, Irkutsk
M. V. Cedrik
Institute of Solar-Terrestrial Physics of Siberian Branch of Russian Academy of Sciences
Email: mark7cedrick@gmail.com
Russian Federation, Irkutsk
A. V. Sofyin
Institute of Solar-Terrestrial Physics of Siberian Branch of Russian Academy of Sciences; Russian New University
Email: sof@rambler.ru
Russian Federation, Irkutsk; Moscow
References
- Вертоградов Г.Г., Денисенко П.Ф., Вертоградова Е.Г., Урядов В.П. Мониторинг среднемасштабных перемещающихся ионосферных возмущений по результатам наклонного ЛЧМ-зондирования ионосферы // Электромагнитные волны и электронные системы. Т. 13. № 5. С. 35–44. 2008.
- Подлесный А.В., Брынько И.Г., Куркин В.И., Березовский В.А., Киселев А.М., Петухов Е.В. Многофункциональный ЛЧМ ионозонд для мониторинга ионосферы // Гелиогеофизические исследования. Вып. 4. С. 24–31. 2013.
- Софьин А.В., Куркин В.И. Исследование пространственных областей влияния ПИВ на ионограммы наклонного зондирования ионосферы // Труды XXVII Всероссийской открытой научной конференции “Распространение радиоволн” [Электронный ресурс]: научное электронное издание. Калининград: Издательство БФУ им. И. Канта. С. 358–363. 2021.
- Heitmann A.J., Cervera M.A., Gardiner-Garden R.S., Holdsworth D.A., MacKinnon A.D., Reid I.M., Ward B.D. Observations and modelling of travelling ionospheric disturbance signatures from an Australian network of oblique angle-of-arrival sounders // Radio Sci. V. 53. № 9. P. 1089–1107. 2018. https://doi.org/10.1029/2018RS006613
- Kurkin V.I., Medvedeva I.V., Podlesnyi A.V. Effect of sudden stratosphere warming on characteristics of medium-scale traveling ionospheric disturbances in the Asian region of Russia // Adv. Space Res. 2023. https://doi.org/10.1016/j.asr.2023.09.020
- Long C., Yu T., Sun Y.-Y., Yan X., Zhang J., Yang N., Wang J., Xia C., Liang Y., Ye H. Atmospheric gravity wave derived from the neutral wind with 5-minute resolution routinely retrieved by meteor radar at Mohe // Remote Sensing. V. 15. № 2. ID 296. 2023. https://doi.org/10.3390/rs15020296
- Medvedev A.V., Ratovsky K.G., Tolstikov M.V., Alsatkin S.S., Scherbakov A.A. Studying of the spatial-temporal structure of wavelike ionospheric disturbances on the base of Irkutsk incoherent scatter radar and Digisonde data // J. Atmos. Sol.-Terr. Phy. V. 105–106. P. 350–357. 2013. https://doi.org/10.1016/j.jastp.2013.09.001
- Munro G.H. Travelling disturbances in the ionosphere // P. Roy. Soc. Lond. A Mat. V. 202. № 1069. P. 208–223. 1950. https://doi.org/10.1098/rspa.1950.0095
- Verhulst T., Altadill D., Mielich J. et al. Vertical and oblique HF sounding with a network of synchronised ionosondes // Adv. Space Res. V. 60. № 8. P. 1644–1656. 2017. https://doi.org/10.1016/j.asr.2017.06.033
- Vybornov F., Sheiner O., Kolchev A., Zykov E., Chernov A., Shumaev V., Pershin A. On the results of a special experiment on the registration of traveling ionospheric disturbances by a system of synchronously operating chirp ionosondes // Atmosphere. V. 13. № 1. P. 84–98. 2022. https://doi.org/10.3390/atmos13010084
- Wells H.W., Watts J.M., George D.E. Detection of rapidly moving ionospheric clouds // Phys. Rev. V. 69. № 9–10. P. 540–541. 1946. https://doi.org/10.1103/PhysRev.69.540
- Zolesi B., Fontana G., Perrone L.et al. A new campaign for oblique incidence ionospheric sounding over Europe and its data application // J. Atmos. Sol.-Terr. Phy. V. 70. № 6. P. 854–869. 2008. https://doi.org/10.1016/j.jastp.2007.02.015
Supplementary files









