Dependence of foF2 on Solar Activity Indices Based on the Data of Ionospheric Stations of the Northern and Southern Hemispheres
- Authors: Danilov A.D.1, Berbeneva N.A.2
-
Affiliations:
- Institute of Applied Geophysics
- Moscow State University
- Issue: Vol 64, No 2 (2024)
- Pages: 253-264
- Section: Articles
- URL: https://bakhtiniada.ru/0016-7940/article/view/264088
- DOI: https://doi.org/10.31857/S0016794024020083
- EDN: https://elibrary.ru/DYQQRG
- ID: 264088
Cite item
Full Text
Abstract
An analysis of the dependence of the F2-layer critical frequency on solar activity indices that has been started earlier based on the Juliusruh station data is continued. The data of six stations in the Northern Hemisphere and five stations in the Southern Hemisphere are analyzed in this paper. The determination coefficient R2 for the foF2 dependence on solar activity in each particular situation (station, month, local time) is taken as a measure of the quality of that dependence. The conclusion that a well-pronounced diurnal variation in R2 is observed in the winter months is confirmed for four solar activity proxies: this value is maximum and changes weakly in the daytime but decreases substantially to the nighttime hours. It is found that the F30 proxy is the best solar proxy to describe the foF2 behavior in the solar cycle, whereas the sunspot number Rz is the worst. Based on a comparison of the changes in R2 with LT in the same months at stations of the Northern and Southern hemispheres, it is shown that the aforementioned well-pronounced diurnal behavior in R2 is observed only in winter and is absent in summer
Full Text
1. ВВЕДЕНИЕ
Критическая частота ионосферного слоя F2, foF2, является очень важным параметром, знание которого необходимо для решения многих проблем ионосферного распространения радиоволн. Очевидно, что очень важно знать зависимость foF2 от различных внешних параметров. В первую очередь это относится к зависимости от солнечной активности (СА), поскольку избавление от эффектов СА является первым шагом при анализе зависимости критической частоты от сезона и метеорологической обстановки (так называемое “coupling from below”), а также при поиске долговременных изменений (трендов) foF2.
В последнее десятилетие изучению трендов параметров термосферы и ионосферы уделяется большое внимание. Чтобы не перегружать статью обсуждением этой проблемы и подробной библиографией, мы отсылаем читателей к недавней статье Данилова и Бербеневой [2023], где приводится краткий обзор проблемы и аргументы в пользу необходимости анализа зависимости foF2 от СА с использованием различных индексов СА.
В указанной работе приведены результаты детального анализа зависимости foF2 от СА для периода 1957—1980 гг., когда предполагается, что не было трендов критической частоты антропогенного происхождения, с использованием пяти наиболее известных индексов СА (Ly-α, MgII, Rz, F30 и F10.7mon). В указанном анализе использовались результаты наблюдений только на ст. Juliusruh.
Для лучшего понимания результатов данной работы сформулируем краткие результаты предыдущей статьи. Использовались месячные медианы foF2 за указанный период, и строилась зависимость foF2 от каждого из указанных пяти индексов СА. Подробно анализировались два зимних месяца (январь и февраль) и сравнивались с результатами для двух равноденственных месяцев (март и октябрь) и типичного летнего месяца (июнь). В качестве критерия качества описания зависимости foF2 от СА каждым из индексов использовалась величина коэффициента определенности R2 для каждой из указанных зависимостей.
Была получено, что при использовании всех пяти индексов СА в зимние месяцы наблюдается четко выраженный суточный ход R2 — в дневной период величины максимальны, а ночью — минимальны. Кривые для индексов Ly-α, MgII и F30 как правило близки между собой, но все же наблюдается некоторое систематическое различие, которое позволило нам сделать вывод о том, что наилучшим для описания зависимости foF2 от СА является индекс F30, за которым следуют MgII и затем Ly-α.
Было обнаружено, что в случае использования числа солнечных пятен Rz в ряде случаев величина R2 существенно уменьшается по сравнению с “нормальным” суточным ходом для четырех других индексов, сильно искажая свой суточный ход. Это позволило нам сделать вывод, что индекс Rz является худшим для анализа зависимости критической частоты от солнечной активности.
Для равноденственных месяцев также получено, что четыре индекса Ly-α, MgII, F30 и F10.7mon дают в среднем близкие результаты, хотя сохраняется некоторое превосходство индекса F30. Для индекса Rz также получен тот же результат, что и для зимних месяцев — величины R2 при использовании этого индекса значительно меньше, чем при использовании других индексов, и резко нарушается “нормальный” суточный ход R2.
Обнаружено, что в июне суточный ход величины R2 вообще отсутствует — наблюдаются нерегулярные скачки этой величины от часа к часу для всех индексов.
Мы еще вернемся ниже к некоторым результатам предыдущей работы при сравнении с ними результатов данного исследования. Целью этого исследования является поверка выводов, полученных Даниловым и Бербеневой [2023] путем анализа данных ст. Juliusruh, на основании данных других ионосферных станций в разных долготных и широтных зонах.
Мы провели анализ, аналогичный анализу в предыдущей работе, для одиннадцати станций. Четыре из них (Slough (0o E), Moscow (37o E), Alma-Ata (77o E) и Akita (140o E) находятся в Евразии, две (Hobart (147o E) и Townsville (147o E)) в Австралии, одна (Johannesburg) в Африке и четыре (Boulder (255o E), Ottawa 284o E), Port Stanley (302o E) и Concepcion (287o E)) в Западном полушарии. Вместе со ст. Juliusruh семь станций представляют Северное полушарие и пять — Южное. Анализируется тот же интервал 1957—1980 гг.
В данной работе, анализируя станции Евразийского региона, мы ограничились детальным анализом только двух зимних месяцев, подробно рассмотренных в предыдущей работе. Одной из причин этого является то, что поиски лучшего индекса для описания зависимости foF2 от СА важны в первую очередь для проблемы поиска долговременных трендов критической частоты, а эти тренды максимальны именно зимой [Данилов и Константинова, 2020]. Вторая причина состоит в том, что, согласно предыдущей работе [Данилов и Бербенева, 2023], эффекты, позволяющие определить лучший из индексов СА, лучше всего видны именно в зимние месяцы. Эти эффекты прослеживаются также и в равноденственные месяцы, а летом суточный ход R2 носит беспорядочный характер.
Поскольку метод анализа полностью идентичен методу, использованному в предыдущей статье, где он подробно описан, мы отметим лишь основные моменты.
Для каждого из анализируемых месяцев (январь, февраль) мы строили для каждого часа местного времени зависимость foF2 от выбранного индекса СА. Эта зависимость аппроксимировалась полиномом третьей степени. Как меру качества описания экспериментальных величин foF2 указанной аппроксимацией мы рассматривали коэффициент определенности R2 согласно F-тесту Фишера. Этот параметр легко определяется при построении соответствующего графика и является достаточно наглядным. Он прямо связан со среднеквадратической ошибкой σ описания поведения foF2 данным индексом СА в заданной ситуации (станция, месяц, момент LT).
Приведем конкретные примеры. Для ст. Juliusruh в 17:00 LT в феврале величина R2 = 0.99 при использовании индекса F30, и соответствующая величина σ = 0.30 МГц. В той же ситуации, но для индекса Rz R2 = 0.92 и σ = 0.69 МГц. Для ситуации Boulder, февраль, 24:00 LT соответствующие величины равны 0.97 и 0.15 МГц для F30 и 0.79 и 0.38 МГц для Rz. Для ситуации Slough, февраль, 17:00 LT соответствующие величины равны 0.96 и 0.49 МГц для F30 и 0.87 и 0.90 МГц для Rz. Очевидно, что при уменьшении R2 значительно увеличивается ошибка σ.
2. РЕЗУЛЬТАТЫ ДЛЯ СЕВЕРНОГО ПОЛУШАРИЯ
2.1. Станции Евразийского региона
Мы рассмотрели четыре станции Евразийского региона (Slough, Moscow, Alma-Ata и Akita), которые перекрывают широкий диапазон долгот. Для этих станций получились результаты, аналогичные результатам для ст. Juliusruh, описанным Даниловым и Бербеневой [2023]. Для четырех индексов СА (кроме Rz) для обоих зимних месяцев получился хорошо выраженный суточный ход — высокие величины R2 в дневное время и уменьшение этих величин к ночным часам.
Как и в предыдущей работе, в целях наглядности мы аппроксимировали суточное изменение R2 полиномом третьей степени. Если дневное “плато” величин R2 было достаточно длинным по времени, мы аппроксимировали его прямой линией и также прямыми линиями аппроксимировали ветви падения и спада R2. Подчеркнем, что все аппроксимации на рисунках в данной статье не несут смысловой нагрузки и направлены лишь на увеличение наглядности. Чтобы суточный ход был виден яснее, так же, как и в предыдущей работе, мы перенесли точки 01:00 LT и 02:00 LT на 25:00 LT и 26:00 LT и сдублировали точку 03:00 LT на 27:00 LT.
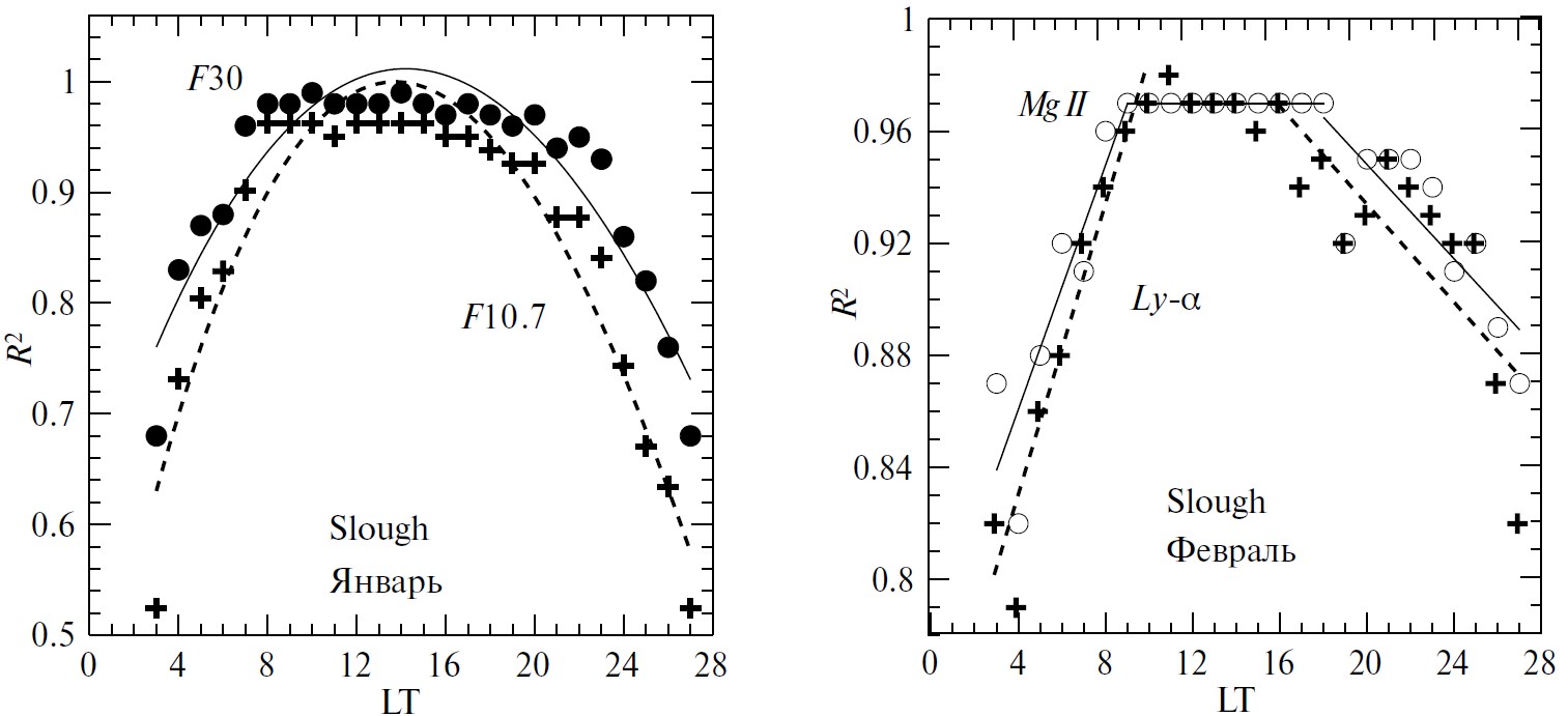
Типичные примеры суточных вариаций величины R2 в январе и феврале по данным ст. Slough при использовании индексов MgII, Ly-a, F30 и F10.7 приведены на рис. 1.
Рис. 1. Примеры суточных вариаций величины R2 для ст. Slough.
Близкие результаты получены и для ст. Moscow и ст. Alma-Ata. Примеры приведены на рис. 2 и 3.
Рис. 2. Примеры суточных вариаций величины R2 для ст. Moscow.
Рис. 3. Примеры суточных вариаций величины R2 для ст. Alma-Ata.
Как видно из этих рисунков, для указанных двух станций также наблюдается выраженный суточный ход R2 с достаточно высокими (0.97—0.98) величинами в дневное время. Некоторое исключение представляет собой ситуация для F30 в феврале на ст. Alma-Ata — дневное плато там является особенно длинным, а падение к утренним, вечерним и ночным часам выражено хуже, чем для приведенных на том же рисунке данных по Ly-α.
Результаты, аналогичные результатам для трех указанных Евразийских станций, получены и для ст. Akita (суточный ход R2 для этой станции см. ниже).
Основные выводы анализа данных четырех Eвроазиатских станций состоят в следующем. Подтверждается наличие суточного хода величины R2 с более высокими значениями в течение дневного периода и падением к ночи. Как правило, в дневные часы наблюдается своего рода “плато” — в течение 10—12 часов величина R2 не меняется совсем, или меняется очень слабо (не более чем на 0.01). Суточный ход R2 для всех четырех индексов (F30, MgII, Ly-α и F10.7) примерно одинаков, однако сами величины R2 систематически больше для индекса F30, чем для трех других индексов. Это подтверждает вывод, сделанный в предыдущей работе на основании данных ст. Juliusruh, о том, что индекс F30 является наилучшим для описания зависимости foF2 от СА.
Иная картина наблюдается для индекса Rz. Величины R2 для Rz систематически ниже, чем для других индексов СА (чтобы не перегружать рисунки, мы будем далее всюду сравнивать величины R2 для индекса Rz с соответствующими величинами для индекса F30). При этом суточный ход R2 сильно искажается. Примеры суточного хода для двух указанных индексов приведены на рис. 4 и 5. Хорошо видно, что индекс Rz демонстрирует отличающийся от F30 суточный ход с гораздо более низкими величинами R2, особенно во второй половине дня и ночью.
Рис. 4. Примеры суточного хода R2 для индексов Rz и F30 (ст. Slough и Alma-Ata).
Рис. 5. Примеры суточного хода R2 для индексов Rz и F30 (ст. Moscow и Akita).
Поскольку невозможно показать все рисунки для разных станций, мы выполнили следующий анализ. Для каждой станции и каждого месяца мы вычислили среднее за сутки значение разности между величиной R2 для F30 и Rz и обозначили его как ∆(F30–Rz)с. Это значение характеризует среднесуточный эффект превышения величин R2 для F30 над соответствующими величинами для Rz в каждой ситуации (станция, месяц). Поскольку наиболее сильное различие этих величин наблюдется в вечерне-ночной период, мы рассчитали ту же разность для этого периода и обозначили ее как ∆(F30–Rz)н. Результаты приведены в табл. 1.
Таблица 1. Величины ∆(F30–Rz)с и ∆(F30–Rz)н для разных ситуаций
Станция | Δ(F30– –Rz)с | Δ(F30– –Rz)с | Δ(F30– –Rz)н | Δ(F30– –Rz)н |
Январь | Февраль | Январь | Февраль | |
Juliusruh | 0.017 | 0.033 | 0.036 | 0.056 |
Slough | 0.059 | 0.064 | 0.087 | 0.081 |
Moscow | 0.053 | 0.047 | 0.074 | 0.074 |
Alma-Аta | 0.029 | 0.108 | 0.044 | 0.153 |
Akita | 0.018 | 0.132 | 0.020 | 0.181 |
Как видно из этой таблицы, среднесуточное превышение величины R2 для индекса F30 над величиной для индекса Rz наблюдается для всех ситуаций. Особенно сильно этот эффект проявляется в феврале для ст. Alma-Ata и Akita. Величина ∆(F30–Rz) заметно возрастает, если рассматривается только вечерне-ночной период.
2.2. Станции Cевероамериканского региона
В Cевероамериканском регионе мы проанализировали две станции. Результаты анализа для ст. Boulder приведены на рис. 6.
Рис. 6. Изменения величины R2 с LT в январе и феврале на ст. Boulder.
Как видно из рис. 6, для этой станции характерна та же картина суточного изменения R2, что и для станций Евразийского региона. Днем наблюдается “плато” с почти неизменными величинами R2 в течение 12—14 часов, и происходит падение этих величин к ночи.
Так же, как и для Евразийских станций, для ст. Boulder наблюдается превышение величин R2 для F30 над соответствующими величинами для Rz, причем это превышение лучше выражено для февраля, чем для января.
Соответствующая картина для ст. Ottawa (рис. 7) показывает, что суточный ход R2 для этой станции также наблюдается.
Рис. 7. Изменения величины R2 с LT в январе и феврале на ст. Ottawa.
Он лучше выражен в январе. В феврале амплитуда суточного хода R2 мала, но тем не менее соответствующие величины в околополуденные часы выше, чем утром и ночью. В некоторые моменты LT днем величины R2 достигают максимально возможной величины 0.99.
Обращает на себя внимание тот факт, что превышение величин R2 для F30 над соответствующими величинами для Rz в случае ст. Ottawa хорошо выражено как в феврале, так и в январе.
Таблица 2 аналогична табл. 1 и показывает среднее превышение величин R2 при использовании индекса F30 над соответствующими величинами при использовании индекса Rz. Видно, что для обеих Североамериканских станций подтверждаются выводы, полученные выше для Евразийских станций. Указанное превышение наблюдается и существенно растет при переходе от среднесуточного значения к значению для ночного периода.
Таблица 2. Величины ∆(F30–Rz)с и ∆(F30–Rz)н для разных ситуаций
Станция | Δ(F30– –Rz)с | Δ(F30– –Rz)с | Δ(F30– –Rz)н | Δ(F30– –Rz)н |
Январь | Февраль | Январь | Февраль | |
Boulder | 0.018 | 0.057 | 0.018 | 0.133 |
Ottawa | 0.044 | 0.059 | 0.057 | 0.064 |
3. РЕЗУЛЬТАТЫ ДЛЯ ЮЖНОГО ПОЛУШАРИЯ
Одним из важных результатов предыдущей работы был вывод о том, что в летние месяцы (в качестве такового рассматривался июнь) отсутствует выраженный суточный ход величины R2 — эта величина меняется с LT-скачками без регулярного изменения.
Чтобы проверить вывод об отсутствии суточного хода R2 летом, мы применили необычный подход. Вместо того, чтобы анализировать те же станции Северного полушария в июне (как это было сделано в отношении данных ст. Juliusruh в предыдущей работе), мы анализировали станции Южного полушария в те же месяцы (январь и февраль), что и станции Северного полушария. Но для этих станций это типично зимние месяцы. Преимущество такого подхода в том, что теперь при анализе станций Южного полушария мы используем абсолютно те же величины индексов СА, что и при анализе станций Северного, а, следовательно, все отличия могут быть связаны только с разной зависимостью foF2 от СА.
Мы проанализировали в Южном полушарии пять станций, покрывающие широкий диапазон долгот. В южноамериканском регионе это ст. Port Stanley и Concepcion, в Австралии — Hobart и Townsville и в Африке – Johannesburg.
Суточные вариации величины R2 для ст. Port Stanley и Concepcion приведены на рис. 8 и 9 соответственно.
Рис. 8. Изменение величины R2 с LT в январе и феврале для ст. Port Stanley.
Рис. 9. Изменение величины R2 с LT в январе и феврале для ст. Concepcion.
Видно, что такой хорошо выраженный суточный ход с большими величинами R2 днем и значительным их уменьшением ночью, как наблюдается для станций Северного (зимнего) полушария, отсутствует. Наблюдаются периоды LT с малыми изменениями R2 и “провалы” этой величины с минимумами в разные моменты LT для разных ситуаций. При этом после “провалов” наблюдается рост величин R2 в те периоды (20:00—24:00 LT), когда зимой в эти месяцы происходит падение R2 от высоких дневных к низким ночным значениям.
То же отсутствие выраженного суточного хода R2 наблюдается и для австралийских станций. Мы приводим на рис. 10 соответствующие примеры.
Рис. 10. Изменение величины R2 с LT для австралийских станций.
Чтобы “перекрыть” весь интервал долгот станций, рассмотренных в Северном полушарии, мы рассмотрели еще одну станцию в Южном полушарии — Johannesburg, расположенный в той же долготной зоне, что и ст. Slough и Moscow. Результаты приведены на рис. 11.
Рис. 11. Изменение величины R2 с LT для ст. Johannesburg.
Как видно из этого рисунка, для ст. Johannesburg в летник месяцы характерно то же отсутствие выраженного суточного хода величины R2, что и для четырех других Южноамериканских станций. Контраст с зимней ситуацией на этом рисунке виден особенно ярко — в полдень (когда в зимние месяцы величина R2 максимальна) эта величина меньше, чем в ранние утренние и ночные часы.
Хотя зимняя ситуация подробно рассмотрена в параграфе 2, мы для контроля рассмотрели зависимость R2 от LT на двух станциях Южного полушария в зимний месяц июнь. Результаты приведены на рис. 12.
Рис. 12. Изменение величины R2 с LT для ст. Port Stanley и Hobart в июне.
Как видно из этого рисунка, в зимнем месяце июне для обеих станций наблюдается суточный ход R2 подобный тому, что был получен в параграфе 2 для станций Северного полушария в январе и феврале. В данных для обеих станций хорошо видно дневное “плато” с высокими и мало меняющимися величинами R2 и падение этих величин к ночным часам.
Таким образом, анализируя данные станций Южного полушария для тех же месяцев, что и Северного, мы подтвердили наличие выраженной сезонной разницы суточных вариаций величины R2: зимой видны хорошо выраженные суточные вариации R2 с высокими величинами в дневное время и падение этих величин к ночи, тогда как летом такие вариации отсутствуют и ход R2 c LT хаотичен. Иначе говоря, в летние месяцы трудно сказать, в какое время суток зависимость foF2 от СА лучше выражена.
Что касается описания поведения foF2 разными индексами, то для всех рассмотренных ситуаций в обоих полушариях и в оба сезона суточный ход R2 для F30, Ly-α, MgII, и F10.7 примерно одинаков, но величины R2 для F30 систематически выше, чем для других индексов, что позволяет нам подтвердить наши предыдущие выводы о том, что индекс F30 является наилучшим для описания зависимости foF2 от СА. А вот число солнечных пятен явно плохо описывает поведение R2. Суточный ход R2 для Rz заметно нарушается, а сама величина в подавляющем большинстве случаев заметно меньше, чем для четырех других индексов. Соответствующая статистика приведена в таблицах 1—3. Они показывают, что эта разница особенно заметна в ночные часы.
Таблица 3. Величины ∆(F30–Rz)с и ∆(F30–Rz)н для разных ситуаций
Станция | Δ(F30– – Rz)с | Δ(F30– – Rz)с | Δ(F30– – Rz)н | Δ(F30– – Rz)н |
Январь | Февраль | Январь | Февраль | |
Port St | 0.030 | 0.023 | 0.050 | 0.029 |
Concepcion | 0.007 | 0.025 | _ | 0.033 |
Hobart | 0 | 0.006 | 0 | _ |
Townsville | 0.030 | 0.020 | 0.054 | 0.028 |
Johannesburg | 0.028 | 0.020 | 0.030 | 0.025 |
4. ОБСУЖДЕНИЕ
При поисках трендов foF2 проблеме правильного учета солнечной активности уделяется особенно большое внимание.
Lean et al. [2011] рекомендовали использовать MgII вместо F10.7 для анализа TEC в период глубокого минимума СА 2008—2009 гг., а Perna and Pezzopane [2016] рекомендовали использовать MgII, а не F10.7, при поиске трендов foF2 по данным ст. Rome. Gulyaeva et al. [2018] рекомендовали MgII как наилучший индекс для построения эмпирических ионосферных моделей.
Отметим еще работы аргентинской группы [de Haro Barbás and Elias, 2020; de Haro Barbás et al., 2020; 2021; Zossi et al., 2023]. de Haro Barbás et al. [2023] пришли к выводу, что для описания поведения foF2 с помощью модели IRI наилучшим индексом является MgII.
В серии публикаций [Laštovička, 2021a, b; 2022; 2023; Laštovička and Buresova, 2023; Sivakandan et al., 2022] подробно обсуждается вопрос о том, какие индексы СА дают наилучшие результаты при поиске трендов foF2 и foE. Наиболее часто лучшими признаются индексы MgII и F30. В недавней работе Laštovička [2023] получено, что наиболее значимые отрицательные тренды foF2 выделяются при использовании для удаления эффектов СА именно индекс F30.
Все сказанное выше призвано показать, что вопрос о зависимости foF2 от СА очень важен для злободневной проблемы долговременных трендов критической частоты слоя F2, и его изучение на основании сегодняшних данных об основных индексах СА представляется актуальным. В частности, важно понять, как качество описания вариаций foF2 с уровнем солнечной активности зависит от выбора конкретного индекса СА и изменяется со временем суток и сезоном.
В предыдущей работе авторов [Данилов и Бербенева, 2023] вопрос о лучшем индексе для описания зависимости foF2 от СА был рассмотрен на основании анализа данных ст. Juliusruh. В данной работе мы поставили целью подробно проанализировать качество описания изменения foF2 со временем теми же пятью индексами СА (Ly-α, MgII, Rz, F30 и F10.7mon), анализируя данные станций, расположенных в различных регионах.
Основными результатами этого анализа являются следующие. Для станций Северного полушария в зимние месяцы январь и февраль для четырех индексов СА получается хорошо выраженный суточный ход величины R2, которая рассматривается как мера качества описания зависимости foF2 от СА для данного индекса. Для станций Южного полушария в те же месяцы получается картина, характерная для лета — выраженный суточный ход отсутствует и зависимость R2 от LT носит хаотичный характер.
Подтвержден вывод предыдущей работы о том, что индекс F30 является лучшим для описания зависимости foF2 от СА, а индекс Rz –худшим.
Ряд полученных новых результатов вызывают интерес и требуют специального анализа с точки зрения физики ионосферных процессов. Почему зимой описание зависимости foF2 от СА для всех индексов лучше днем, чем ночью? Наиболее простое объяснение состоит в том, что малые значения foF2 ночью просто менее надежно измеряются ионозондом, что и приводит к более сильному разбросу точек. Однако не исключено, что причина сложнее. Возможно, в ночных условиях ослабляется зависимость foF2 от солнечного ультрафиолета (который и описывается индексами СА) за счет того, что на равновесную концентрацию электронов начинают действовать другие процессы, например потоки энергичных корпускул, или потоки плазмы из плазмосферы. Именно на слабую зависимости foF2 от СА ночью из-за доминирующей роли этих потоков указывается в монографии Кринберга и Тащилина [1984].
Совершенно неясно, почему в летние месяцы отсутствует суточный ход R2, хорошо выраженный в зимние месяцы. Почеркнем, что в данной работе этот вывод получен с использованием двух подходов — одни и те же станции, но разные месяцы, и одни и те же месяцы (январь и февраль), но станции в разных полушариях.
Данная статья направлена на выявление указанных особенностей, их детальное объяснение в рамках физики ионосферы выходит за рамки этой статьи.
5. ЗАКЛЮЧЕНИЕ
Цель данной работы — проанализировать качество описания поведения критической частоты слоя F2, foF2, различными индексами СА, чтобы подтвердить выводы предыдущей работы авторов, основанные на анализе только данных ст. Juliusruh. В данной работе анализировались измерения foF2 на шести станциях Северного полушария и пяти станциях Южного.
Все три основных вывода Данилова и Бербеневой [2023] получили хорошо обоснованное подтверждение. В зимние месяцы зависимость foF2 от СА гораздо лучше описывается в дневной период, чем в ночной. Индекс F30 является наилучшим из четырех индексов СА, в целом хорошо описывающих эту зависимость. Индекс Rz описывает эту зависимость много хуже как в летние, так и в зимние месяцы. Хорошо выраженная зависимость R2 от местного времени наблюдается для четырех основных индексов в зимние месяцы, но отсутствует в летние.
Отмечен еще ряд особенностей поведения R2 в течение суток и года, которые могут представлять интерес для анализа в рамках физики ионосферных процессов.
БЛАГОДАРНОСТИ
Величины солнечных индексов взяты с сайта LISIRD (https://lasp.colorado.edu). Медианы foF2 взяты из банка Дамбольдта на сайте (https://downloads.sws.bom.gov.au/wdc/iondata/medians/).
КОНФЛИКТ ИНТЕРЕСОВ
Авторы заявляют об отсутствии конфликта интересов.
About the authors
A. D. Danilov
Institute of Applied Geophysics
Author for correspondence.
Email: adanilov99@mail.ru
Russian Federation, Moscow
N. A. Berbeneva
Moscow State University
Email: adanilov99@mail.ru
Physical Faculty
Russian Federation, MoscowReferences
- Данилов А.Д., Бербенева Н.А. Статистический анализ зависимости критической частоты foF2 от различных индексов солнечной активности // Геомагнетизм и аэрономия. 2023. Т. 63. № 5. С. 610—629. https://doi.org/10.31857/S0016794023600588
- Данилов А.Д., Константинова А.В. Долговременные вариации параметров средней и верхней атмосферы и ионосферы (обзор) // Геомагнетизм и аэрономия. 2020. Т. 60. № 4. С. 411—435. https://doi.org/10.31857/S0016794020040045
- Кринберг И.А., Тащилин А.В. Ионосфера и плазмосфера. М.: Наука, 1984.
- de Haro Barbás B.F., Elias A.G. Effect of the inclusion of solar cycle 24 in the calculation of foF2 long-term trend for two Japanese ionospheric stations // Pure Appl. Geophys. 2020. V. 177. P. 1071—1078.
- de Haro Barbás D.F., Elias A.G., Fagre M., Zossi B.F. Incidence of solar cycle 24 in nighttime foF2 long-term trends for two Japanese ionospheric stations // Stud. Geophys. Geod. 2020. V. 64. P. 407—418. https://doi.org/10.1007/s11200-021-05489
- de Haro Barbás D.F., Elias A.G., Venchiarutti J.V., Fagre M.M., Zossi B.S., Jun G.T., Medina F.D. MgII as a solar proxy to filter F2-region ionospheric parameters // Pure Appl. Geophys. 2021. V. 178. P. 4605—4618.
- de Haro Barbás B.F., Zossi B.S., Jun G.T., et al. Performance of the IRI-2016 and IRI-Plas 2020 considering MgII as EUV solar proxy // Adv. Space Res. 2023. V. 72. № 6. P. 2406—2417. https://doi.org/10.1016/j.asr.2023.06.007
- Gulyaeva T.L., Arikan F., Sezen U., Poustovalova L.V. Eight proxy indices of solar activity for the International Reference Ionosphere and Plasmasphere model // J. Atmos. Sol.-Terr. Phy. 2018. V. 172. P. 122—128. https://doi.org/10.1016/j.jastp.2018.03.025
- Laštovička J. What is the optimum solar proxy for long-term ionospheric investigations? // Adv. Space Res. V. 67. № 1. P. 2—8. 2021a. https://doi.org/10.1016/j.asr.2020.07.025
- Laštovička J. The best solar activity proxy for long-term ionospheric investigations // Adv. Space Res. V. 68. P. 2354—2360. 2021b. https://doi.org/https://doi.org/10.1016/j.asr.2021.06.032
- Laštovička J. Long-term changes in ionospheric climate in terms of foF2 // Atmosphere. 2022. V. 13. № 1. P. 110. https://doi.org/10.3390/atmos13010110
- Laštovička J. Dependence of long-term trends in foF2 at middle latitudes on different solar activity proxies // Adv. Space Res. 2023. https://doi.org/10.1016/j.asr.2023.09.047
- Laštovička J., Burešová D. Relationships between foF2 and various solar activity proxies // Space Weather. 2023. V. 21. e2022SW003359. https://doi.org/10.1029/2022SW003359
- Lean J., Emmert J.T., Picone J.M., Meier P.R. Global and regional trends in ionospheric electron content // J. Geophys. Res. Space, 2011. V. 116. A00H04. https://doi.org/10.1029/2010JA016378
- Perna L., Pezzopane M. foF2 vs solar indices for the Rome station: looking for the best general relation which is able to describe the anomalous minimum between cycles 23 and 24 // J. Atmos. Sol.-Terr. Phy. 2016. V. 148. P. 13—21. https://doi.org/10.1016/j.jastp.2016.08.003
- Sivakandan M., Mielich J., Renkwitz T., Chau J.L., Jaen J., Laštovička J. Long-term variations and trends in the E, F and sporadic E (Es) layer over Juliusruh, Europe // J. Geophys. Res. — Space. 2022. V. 128. e2022JA031097. https://doi. org/10.1029/2022JA031097
- Zossi B.S., Medina F.D., Jun G.T., et al. Extending the analysis on the best solar activity proxy for long-term ionospheric investigations // Proc. Royal Society A. 2023. V. 479. № 2276. https://doi.org/10.1098/rspa.2023.0225
Supplementary files















