Influence of the geometrical shape of a prominence and the structure of the coronal magnetic field on the probability of eruption, flare and coronal mass ejection development
- Authors: Filippov B.P.1
-
Affiliations:
- Pushkov Institute of Terrestrial Magnetism, Ionosphere, and Radio Wave Propagation, Russian Academy of Sciences
- Issue: Vol 64, No 1 (2024)
- Pages: 13-22
- Section: Articles
- URL: https://bakhtiniada.ru/0016-7940/article/view/260738
- DOI: https://doi.org/10.31857/S0016794024010028
- EDN: https://elibrary.ru/GRGGJX
- ID: 260738
Cite item
Full Text
Abstract
The equilibrium conditions of the magnetic flux rope containing the prominence depend on the properties of the surrounding magnetic field in the corona and the geometry of the flux rope itself. The eruption of a prominence is usually associated with a loss of stability in the external magnetic field upon reaching a height above which the decay index of the field exceeds the critical value for the development of eruptive instability. For flux ropes with an axis in the form of a straight line or a circle, the critical value of the decay index of the field lies in the range of 1.0—1.5. Based on extrapolation of the magnetic field into the corona from field measurements in the photosphere, it would be possible to predict the probability of eruption of a particular prominence. However, taking into account the fact that the ends of the magnetic flux rope are rooted in the photosphere and remain fixed due to being frozen into the photospheric plasma significantly affects the critical value of the index and complicates the forecast problem. If the magnetic flux rope retains the shape a segment of a torus in the process of evolution, then the critical value of the decay index for its apex depends on what part of the torus it constitutes, being minimal for approximately half of the torus and having a value significantly less than unity. How the eruption of the flux rope will develop after the loss of equilibrium also depends on what part of the complete torus it constitutes at the moment of the onset of the eruption. Shorter flux ropes accelerate very vigorously, but only for a short time, generating stronger electric induction fields that initiate flare processes. However, the final speed that a short flux rope can achieve during acceleration is less than that of longer flux ropes that accelerate less intensely but for a longer time. The induction effects of the latter are less pronounced, so that they are capable of producing only weak flare-like manifestations. Thus, the eruption of a short prominence, which has gained a relatively low speed, can be stopped at a certain height in the corona without generating a coronal mass ejection. But such a “failed eruption” contributes to the development of flare phenomena. On the contrary, eruptions of longer prominences more often lead to the formation of coronal mass ejections and weak flare manifestations.
Full Text
1. Введение
Как известно, самые сильные возмущения космической погоды вызываются корональными выбросами и солнечными вспышками [Gosling, 1993; Schwenn, 2006; Temmer, 2014]. Во время наиболее сильных событий обычно наблюдается и то и другое проявление солнечной активности, но в более слабых случаях выбросы и вспышки часто не проявляются одновременно [Yashiro et al., 2005]. Хотя история наблюдений вспышек насчитывает более полутора столетий и в последнюю сотню лет они изучались весьма активно, их прогноз основывается главным образом на статистических, феноменологических закономерностях [Martin and Ramsay, 1972; Lemmon, 1972; Ishkov, 2003; Barnes and Leka, 2008; Georgoulis, 2012]. Множество теорий и моделей вспышек, к сожалению, мало что могут предложить для улучшения реального прогноза явления. В последние годы машинное обучение становится все более популярным подходом во многих исследованиях прогнозирования солнечных вспышек [Song et al., 2009; Ahmed et al., 2013; Nishizuka et al., 2017]. Машинное обучение является более мощным, чем традиционные статистические методы, поскольку оно может работать с более сложными моделями, основанными на нелинейных отношениях. Однако функции, лежащие в основе большинства этих моделей, часто разрабатываются вручную на основе физических данных. В другом подходе из данных изображения извлекаются относительно простые и общие признаки, и алгоритму обучения разрешается выбирать наиболее полезные из них. Получение этих функций обычно включает в себя свертку, пороговое значение и субдискретизацию данных изображения с использованием различных фильтров [Florios et al., 2018; Jonas et al., 2018].
Корональные выбросы были открыты значительно позже, и методам их прогнозирования не было уделено столько внимания, как вспышкам, хотя именно выбросы вызывают самые сильные геомагнитные бури. С другой стороны, их физическая природа кажется более понятной. Наблюдения на Солнце и в межпланетном пространстве довольно определенно установили, что корональные выбросы представляют собой плазменные структуры, имеющие вид магнитных жгутов, которые внезапно теряют равновесие в солнечной короне и ускоряются до скоростей в сотни и тысячи километров в секунду [Forbes, 2000].
Магнитный жгут присутствует в современной так называемой “стандартной модели” вспышки [Carmichael, 1964; Sturrock, 1966; Hirayama, 1974; Kopp and Pneuman, 1976], но основное внимание при этом уделяется процессам, протекающим под ним, несмотря на то что именно эрупция жгута создает необходимую магнитную конфигурацию, в которой развиваются все вспышечные явления. Поэтому с точки зрения прогнозирования именно причинам эрупции, вероятно, следует уделять первостепенное внимание.
Начальная стадия развития коронального выброса проявляется, как правило, в виде эрупции протуберанца (или волокна, если оно наблюдается на диске) [Gopalswamy et al., 2003]. Волокон на солнечном диске обычно присутствует немало, даже в минимуме цикла солнечной активности, и каждое волокно может представлять потенциальную угрозу порождения коронального выброса. Задача, таким образом, в анализе устойчивости состояния волокон, точнее магнитных жгутов, образующих их магнитный каркас.
В данной работе рассматриваются факторы, которые влияют на порог наступления эруптивной неустойчивости магнитных жгутов в магнитном поле короны и сценарий развития эрупции. Показано, что длина магнитного жгута перед началом эрупции, т. е. расстояние между его основаниями, вмороженными в фотосферную плазму, влияет на величину критического индекса убывания коронального магнитного поля, при котором наступает неустойчивость, и перспективу превращения эруптивного протуберанца в корональный выброс, а также интенсивность сопутствующих вспышечных явлений. Конечная скорость эруптивного магнитного жгута зависит как от его начальной длины, так и от структуры магнитного поля в короне на больших высотах.
2. Зависимость критического значения индекса убывания коронального магнитного поля от формы магнитного жгута
Уже в одной из самых первых работ, предлагавшей магнитный жгут в качестве структуры, поддерживающей вещество протуберанца в короне, была отмечена возможность его неустойчивости в корональном магнитном поле B, убывающем с высотой достаточно быстро [van Tend and Kuperus, 1978]. Позже это свойство поля стали описывать с помощью так называемого индекса убывания поля (Decay Index):
(1)
где h — высота над фотосферой [Осовец, 1958; Bateman, 1978; Filippov and Den, 2001; Kliem and Török, 2006]. Критическое значение этого индекса nc, при котором возникает неустойчивость, для прямого жгута равно единице. Для тонкого токового кольца значение равно 1.5. Поскольку модель тороидального магнитного жгута, перенесенная из физики лабораторной плазмы, довольно популярна в физике Солнца, за неустойчивостью укрепилось название “тороидальная неустойчивость” (Torus Instability). В случае не слишком тонкого жгута, поперечное сечение которого к тому же увеличивается при эрупции, критическое значение близко к единице [Démoulin and Aulanier, 2010]. Индекс убывания поля мал вблизи фотосферы и, как правило, растет с высотой, стремясь к n = 3, что характерно для дипольного поля. Высота, на которой достигается критическое значение индекса nc, является критической высотой устойчивости равновесия жгута, по достижении которой произойдет эрупция.
Сравнение высоты спокойных и эруптивных протуберанцев со значением критической высоты для nc = 1, рассчитанной с помощью потенциальной экстраполяции фотосферного магнитного поля в корону, показывает, что это действительно порог устойчивости [Filippov and Den, 2001; Filippov and Zagnetko, 2008; Zuccarello et al., 2014; Aggarwal et al., 2018]. Среднее значение индекса убывания на высоте начала быстрого ускорения более чем для сотни эруптивных протуберанцев, изученных [McCauley et al. [2015], составило 1.1. Казалось бы, проблема предсказания эрупции решается довольно просто (по крайней мере, понятно, как): надо следить за высотой волокна и изменениями критической высоты эруптивной неустойчивости. Когда они сравняются — высока вероятность эрупции в самое ближайшее время. Однако есть детали, значительно усложняющие практическое решение.
Во-первых, магнитное поле в фотосфере надежно измеряется только в центре солнечного диска, где поверхность перпендикулярна лучу зрения, а высоту волокна на диске измерить непросто, хотя имеются способы ее косвенной оценки с приемлемой точностью [d’Azambuja and d’Azambuja, 1948; Vrsnak et al., 1999; Загнетко и др., 2005; Филиппов, 2016]. На лимбе магнитное поле под протуберанцем вообще не доступно измерениям из-за того, что луч зрения касателен поверхности. Это был счастливый для данной проблемы период, когда аппараты STEREO (Solar Terrestrial Relations Observatory) находились сбоку от линии Солнце — Земля и можно было иметь одновременно оба типа данных для анализа эрупций на диске. В другие периоды данные о поле под протуберанцами, наблюдаемыми с Земли, можно иметь только с опозданием или опережением в несколько дней.
Во-вторых, точное значение критического индекса убывания зависит от модели, используемой для его расчета. Выше говорилось о прямом жгуте или о свободно расширяющемся торе. В действительности эруптивные протуберанцы имеют вид расширяющейся петли с “привязанными” к поверхности концами. Модели жгутов с закрепленными концами рассматривались многими исследователями. С учетом этого условия (и сохранения формы жгута в виде растущего сегмента окружности) критическое значение индекса становится зависимым от величины этого сегмента или отношения высоты апекса дуги к расстоянию между ее концами [Filippov, 2021a].
Вертикальная устойчивость магнитного жгута во внешнем поле определяется линеаризованной частью уравнения движения в вертикальном направлении:
(2)
где M — масса жгута (в основном масса содержащегося в нем протуберанца), FR — сила, растягивающая токовое кольцо радиуса R с поперечным сечением 2r действием силы Лоренца, создаваемой самим током кольца I [Шафранов, 1963]:
(3)
FI — сила отталкивания жгута от фотосферы из-за ее диамагнитных свойств [Kuperus and Raadu, 1974]:
(4)
FB — сила взаимодействия тока жгута с внешним магнитным полем короны Be:
(5)
Обозначим множитель, входящий в уравнение движения (2), который зависит только от геометрической формы жгута, как fR:
(6)
Тогда условие равновесия приобретает вид
(7)
С учетом этого условия критическое значение индекса убывания внешнего поля nc определяется уравнением
(8)
где Le — внешняя самоиндукция дуги магнитного жгута; Φs — магнитный поток между жгутом и фотосферой, который предполагается сохраняющимся при эволюции жгута.
Даже в предположении зависимости внешнего поля Be только от высоты конечное выражение имеет довольно громоздкий вид [Filippov, 2021a]. На рис. 1 сплошной линией показана расчетная кривая зависимости критического значения индекса убывания магнитного поля nc от удвоенного отношения критической высоты начала эрупции hc к расстоянию между основаниями эруптивного волокна L. При малых значениях отношения критический индекс близок к единице, как у прямых жгутов, так как кривизна оси жгута в модели очень мала в этом случае. С увеличением отношения критическое значение индекса быстро падает, достигая очень малых величин и даже отрицательных значений. Затем происходит рост до значений, характерных для тонкого токового кольца (на рис. 1 крайняя правая часть кривой не показана, так как такая геометрия малореализуема на Солнце). Измерения высоты начала эрупции протуберанцев довольно неплохо соответствуют расчетной кривой. Конечно, надо иметь в виду определенные погрешности измерений и очевидный факт, что эрупция становится заметной, когда процесс уже в развитии, что должно давать завышенное значение индекса, поскольку в солнечной короне он растет с высотой. С другой стороны, [Zuccarello et al. [2016] приводят доводы в пользу того, что значения индекса убывания, рассчитанные на высоте вершины хребта протуберанца, могут быть занижены, поскольку слабо скрученные изогнутые жгуты вблизи их оси уже не имеют прогибов силовых линий, в которых может накапливаться вещество протуберанца.
Рис. 1. Теоретическая зависимость критического значения индекса убывания магнитного поля nc от отношения критической высоты начала эрупции к расстоянию между основаниями эруптивного волокна 2hc/L (сплошная кривая) и наблюдаемые значения индекса (символы). Сплошные квадратики — по данным работы [Филиппов, 2022], пустые кружки и треугольники соответствуют несостоявшимся и успешным эрупциям, по данным работы [Filippov, 2021b].
3. Влияние начальной длины жгута на развитие эрупции
От длины жгута зависит также результат неустойчивости. В той же модели жгута с закрепленными основаниями в начале эрупции короткого жгута растягивающая его сила быстро растет, так как радиус кривизны, от которого она зависит обратно пропорционально, быстро уменьшается. У длинных жгутов зависимость гораздо более пологая, но она и не падает так стремительно, как у коротких жгутов. Поэтому кинематика этих двух типов существенно различается. Короткие — интенсивно ускоряются, но процесс быстро заканчивается, так что конечная скорость — меньше, чем у медленно, но продолжительно ускоряющихся длинных жгутов. На рис. 2а показана зависимость максимальной скорости, достигаемой магнитным жгутом при эрупции, от расстояния между его основаниями, вмороженными в фотосферную плазму в рамках модели, предложенной в работе [Filippov, 2022a]. Индукционное электрическое поле, которое генерируется на нулевой линии под поднимающимся жгутом, тоже существенно выше при эрупции короткого жгута, что способствует ускорению частиц и вспышечным явлениям. Наконец, при наличии диссипации, например за счет ионной вязкости [Zaitsev and Stepanov, 2018] или аэродинамического торможения в короне [Chen, 1989; Borgazzi et al., 2012; Subramanian et al., 2012], короткие жгуты могут остановиться, совершив несостоявшуюся эрупцию, а длинные, которые приобретают большую скорость, способны преодолеть сопротивление и покинуть Солнце, превратившись в корональный выброс [Филиппов, 2022]. Вопрос о природе торможения эруптивного жгута в короне остается неясным. Значения коэффициентов, необходимых для подавления слабозатухающих осцилляций жгута в верхнем положении равновесия, значительно превышают оценки коэффициентов, следующих из параметров корональной плазмы [Zaitsev and Stepanov, 2018; Filippov, 2021b].
Рис. 2. Зависимость максимальной скорости, достигаемой магнитным жгутом при эрупции vmax (а), и величины индукционного электрического поля в нулевой точке E (б) от расстояния L между его основаниями, вмороженными в фотосферную плазму.
Анализ наблюдений множества эруптивных событий [Sinha et al., 2019; Filippov, 2020] показывает, что, действительно, эрупции волокон, сопровождающиеся только корональными выбросами, имеют наибольшую длину, а сопровождающиеся только вспышками — наименьшую. Эрупции волокон промежуточной длины связаны и со вспышками, и с выбросами.
4. Зависимость конечной скорости жгута от структуры магнитного поля в короне
Конечный результат эрупции протуберанцев — корональные выбросы — могут иметь существенно различающиеся характеристики, несмотря на то что исходные протуберанцы кажутся весьма похожими друг на друга. В работе [Filippov, 2019] приведен пример эрупции двух крупных спокойных волокон (29 сентября 2013 г. — обозначим его F1, и 26 января 2016 г. — обозначим его F2) примерно одинаковой длины (~400 и 300 мм соответственно), находящихся вне активных областей (рис. 3). Эрупция волокна F1 привела к образованию быстрого коронального выброса, двигавшегося на удалении в 20 Rʘ со скоростью около 1200 км с-1, а эрупция F2 произвела гораздо более медленный выброс, достигший скорости только около 400 км с-1. Сравнение условий начала эрупции не дает никаких оснований предполагать более энергичную эрупцию F1. Оценка токов, протекающих в волокнах в равновесном состоянии, дает довольно близкие значения с несколько большей величиной в F2 (5.7•1011 А и 7.2•1011 А соответственно). Следовательно, запас магнитной энергии в этом волокне, казалось бы, тоже больше, чем в F1. Тем не менее корональный выброс, порожденный эрупцией волокна F1, оказался гораздо более быстрым.
Рис. 3. Изображения полного солнечного диска в линии Hα 29 сентября 2013 г. (а) и 26 января 2016 г. (б) с крупными спокойными волокнами F1 и F2 незадолго до начала их эрупций (б), полученные в обсерваториях Big Bear Solar Observatory и Kanzelhoehe Solar Observatory.
Существенное различие в условиях развития эрупций заключается в крупномасштабной структуре магнитного поля над волокнами. Расчеты потенциального магнитного поля показывают, что магнитное поле над волокном F2 имеет дипольный характер вплоть до больших высот. Это поле, которое на малых высотах удерживало магнитный жгут, содержащий волокно, в равновесии, продолжает препятствовать его ускорению в высоких слоях короны. Поле над волокном F1 имеет квадрупольный характер: на большой высоте оно меняет знак поперечной составляющей, которая ранее также удерживала жгут в начальном равновесии, а в процессе подъема жгута начинает подталкивать его, создавая дополнительную ускоряющую силу [Filippov, 2019]. На зависимость динамики эруптивного магнитного жгута от соотношения между направлением тока в нем и направлением магнитного поля в короне указано в работе [Zaitsev et al., 2019].
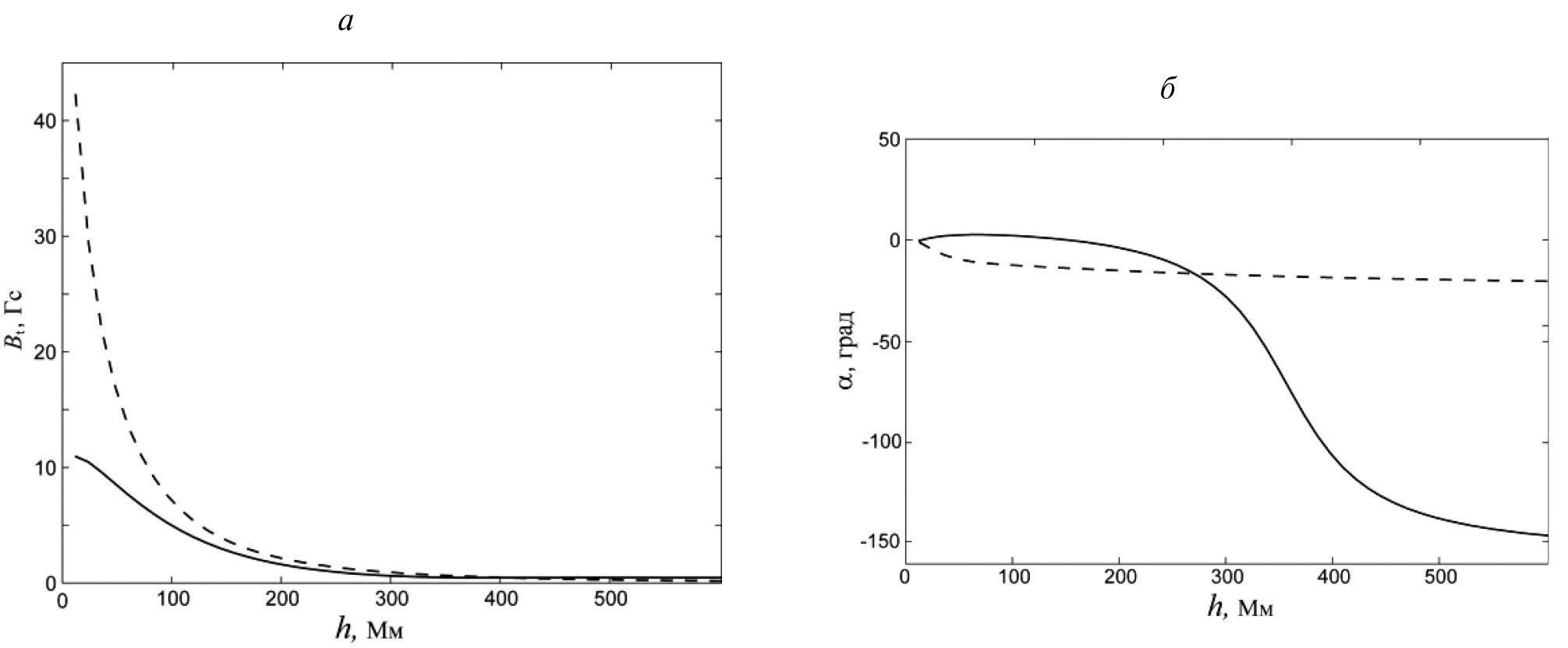
На рис. 4 показаны графики зависимости от высоты над фотосферой величины горизонтальной компоненты потенциального магнитного поля над серединой волокна и изменения направления этой компоненты с высотой. Сплошные линии соответствуют волокну F1, а штриховые линии — волокну F2. Как видно на рис. 4, магнитное поле вблизи фотосферы больше в области волокна F2, но оно быстро спадает с высотой, так что на высоте начала эрупций, которая оценивалась по значению критической высоты для nc = 1 и составляла 80 Мм для F1 и 60 Мм для F2, величина горизонтального поля отличалась лишь примерно на 60%. Однако направление поля над волокном F2 почти неизменно, тогда как над волокном F1 поле поворачивается на 150°.
Рис. 4. Зависимость величины горизонтальной компоненты потенциального магнитного поля Bt над серединой волокна от высоты над фотосферой h (а), и изменение направления α этой компоненты с высотой (б). Сплошные линии соответствуют волокну F1, а штриховые линии — волокну F2.
Анализ десятка эрупций крупных волокон показал, что именно структура магнитного поля на большой высоте, проявляющаяся в изменении направления поперечного магнитного поля, отличает эрупции спокойных протуберанцев, порождающих быстрые корональные выбросы [Filippov, 2019].
5. Обсуждение и заключение
Возмущения космической погоды в околоземном пространстве негативно влияют на орбитальные технические системы, глобальные наземные сети и биологические объекты. Самые сильные возмущения происходят обычно после прихода корональных выбросов. Хотя после обнаружения выброса в солнечной короне проходит двое-четверо суток до его столкновения с земной магнитосферой, предсказать точно начало геомагнитной бури бывает непросто из-за множества факторов, влияющих на распространение выброса в гелиосфере. Для более заблаговременного прогноза необходимо распознавать потенциальные источники зарождения корональных выбросов непосредственно в солнечной атмосфере. Магнитные жгуты, которые считаются наиболее вероятным элементом внутренней структуры выбросов, а их взаимодействие с внешним полем — движущей силой, выталкивающей вещество из короны, могут быть обнаружены по косвенным признакам задолго до эрупции, а их состояние может указывать на вероятность эрупции в скором времени (или, наоборот, на отсутствие такой опасности). Самым доступным индикатором присутствия магнитных жгутов в короне являются протуберанцы и волокна, поэтому на их эволюции должно быть обращено пристальное внимание.
Идеализированный магнитный жгут состоит из силовых линий, закрученных в цилиндрические спирали. Наличие азимутальной компоненты магнитного поля свидетельствует о протекании электрического тока вдоль оси жгута. В нижних сегментах спиральных линий имеются “ямки”, которые могут служить магнито-гравитационными ловушками для сгустков плотной плазмы. Из таких сгустков состоят протуберанцы и волокна, висящие в короне над хромосферой.
В реальной солнечной атмосфере магнитные жгуты, конечно, имеют более сложную структуру. Во-первых, концы жгутов неизбежно связаны с хромосферой и фотосферой, которые могут замыкать электрическую цепь для токов, текущих вдоль оси. Во-вторых, отдельные пучки силовых линий, параллельных или скрученных между собой, могут укореняться в плотных слоях атмосферы в средних частях более длинного жгута. Такие сегменты иногда ведут себя достаточно самостоятельно, производя эрупцию части более крупной и длинной структуры, остающейся в слабовозмущенном состоянии.
Протуберанцы хорошо обозначают высоту магнитного жгута над фотосферой, для которой существует критическое значение наступления неустойчивости. Эта высота определяется масштабом магнитного поля в короне, но зависит также и от свойств самого жгута, в частности его длины или расстояния между его основаниями, вмороженными в фотосферную плазму. Модельные расчеты позволяют рассчитать критическую высоту, и по сравнению ее с наблюдаемой высотой протуберанца можно судить о перспективах его эрупции. Трудности и неопределенности возникают из-за недоступности данных о фотосферном поле на лимбе и оценки высоты волокна на диске. Дополнительная сложность существует и от возможности частичной эрупции длинного протуберанца, когда лишь отдельный сегмент его теряет равновесие. В таком случае оценки критической высоты должны быть выполнены для этого более короткого сегмента. Конечно, предвидеть, какой фрагмент волокна окажется наименее устойчивым и произведет частичную эрупцию, довольно сложно.
Длина жгута влияет и на успешность или прерывание эрупции. Эрупции коротких жгутов более подвержены перспективе “застрять” на некоторой высоте в короне после первоначального взлета в результате эруптивной неустойчивости. Однако их энергичное начальное ускорение способствует появлению более сильного индукционного электрического поля, которое может ускорять заряженные частицы и производить вспышечные явления.
Хотя эрупции больших спокойных протуберанцев вне активных областей чаще производят медленные корональные выбросы, особая структура коронального магнитного поля может способствовать дополнительному ускорению эруптивного жгута с формированием быстрого выброса. Такой сценарий подтверждается анализом магнитной структуры потенциального магнитного поля над эруптивными волокнами и численными модельными расчетами [Török and Kliem, 2007]. Оценка возможной конечной скорости формирующегося выброса имеет большое значение для проблемы космической погоды, поскольку именно быстрые выбросы инициируют сильные геомагнитные бури.
Таким образом, механизм образования корональных выбросов в общих чертах достаточно понятен и может быть использован для оценки вероятности их появления. Однако нельзя указать какой-либо единственный параметр, определяющий основные параметры ожидающейся эрупции. Необходимы учет нескольких факторов и тщательный анализ магнитного поля в области зарождения эруптивного события.
Благодарности
Автор благодарен сотрудникам обсерваторий Big Bear Solar Observatory и Kanzelhoehe Solar Observatory, а также научным группам проектов SOHO и SDO за возможность доступа к материалам наблюдений. Автор признателен рецензентам за полезные замечания.
About the authors
B. P. Filippov
Pushkov Institute of Terrestrial Magnetism, Ionosphere, and Radio Wave Propagation, Russian Academy of Sciences
Author for correspondence.
Email: bfilip@izmiran.ru
Russian Federation, Troitsk, Moscow
References
- Загнетко А.М., Филиппов Б.П., Ден О.Г. Геометрия солнечных протуберанцев и структура магнитного поля в короне // Астрон. журн. Т. 82. № 5. С. 474−480. 2005.
- Осовец С.М. Плазменный виток в электромагнитном поле // Физика плазмы и проблема управляемых термоядерных реакций. Т. 2. Ред. М.А. Леонтович. М.: изд. АН СССР, 1958. С. 238−241.
- Филиппов Б.П. Определение высоты солнечных волокон на диске // Геомагнетизм и аэрономия. Т. 56. № 1. С. 3−10. 2016.
- Филиппов Б.П. Зависимость возникновения коронального выброса от исходной длины эруптивного протуберанца // Геомагнетизм и аэрономия. Т. 62. № 3. С. 275−282. 2022.
- Шафранов В.Д. Равновесие плазмы в магнитном поле // Вопросы теории плазмы. Вып. 2. Ред. М.А. Леонтович. М.: Госатомиздат, С. 92−131, 1963.
- Ahmed O.W., Qahwaji R., Colak T., Higgins P.A., Gallagher P.T., Bloomfield D.S. Solar flare prediction using advanced feature extraction, machine learning, and feature selection // Solar Phys. V. 283. P. 157−175. 2013.
- Aggarwal A., Schanche N., Reeves K.K., Kempton D., Angryk R. Prediction of solar eruptions using filament metadata // Astrophys. J. Suppl. V. 236. 15. 2018.
- Bateman G. MHD Instabilities. Cambridge, MA: Massachusetts Institute of Technology, 270 p., 1978. − Carmichael H. A Process for flares // The Physics of Solar Flares / Proceedings of the AASNASA Symposium held 28—30 October, 1963 at the Goddard Space Flight Center, Greenbelt, MD. Ed. Hess, W.N., SP-50 of NASA Special Publications, Washington: NASA Scientific and Technical Information Division. P. 451—456. 1964.
- Barnes G., Leka K.D. Evaluating the performance of solar flare forecasting methods // Astrophys. J. V. 688. L107— L110. 2008.
- Borgazzi, A., Lara A., Echer E., Alves M.A. Dynamics of coronal mass ejections in the interplanetary medium // Astron. Astrophys. V. 498 P. 885—889. 2009.
- Chen J. Effects of toroidal forces in current loops embedded in a background plasma // Astrophys. J. V. 338. P. 453—470. 1989.
- d’Azambuja M., d’Azambuja L. Forme spatiale et caracteres generaux des protuberances quiescentes // Annales de l’Observatoire d’astronomie physique de Paris sis Parc de Meudon, Meudon. V. 6. Fasc. VII. 1948.
- Démoulin P., Aulanier G. Criteria for flux rope eruption: non-equilibrium versus torus instability // Astrophys. J. V. 718. P. 1388—1399. 2010.
- Filippov B.P., Den O.G. A critical height of quiescent prominences before eruption // J. Geophys. Res. V. 106. P. 25177—25184. 2001.
- Filippov B., Zagnetko A. Prominence height shows the proximity of an ejection // J. Atmosph. Solar-Terr. Phys. V. 70. P. 614—620. 2008.
- Filippov B. Difference of source regions between fast and slow coronal mass ejections. // Publ. Astron. Soc. Australia. V. 36. e022. 2019.
- Filippov B. Failed prominence eruptions near 24 cycle maximum // Monthly Not. Roy. Astron. Soc. V. 494. P. 2166—2177. 2020.
- Filippov B. Critical decay index for eruptions of “short” filaments // Monthly Not. Roy. Astron. Soc. V. 503. P. 3926—3930. 2021a.
- Filippov B. Mass of prominences experiencing failed eruptions // Publ. Astron. Soc. Australia. V. 38. e018. 2021b.
- Filippov B. Dependence of the eruptive filaments dynamics on their length // Monthly Not. Roy. Astron. Soc. V. 509. P. 5713—5720. 2022.
- Florios K., Kontogiannis I., Park S.-H., Guerra J.A., Benvenuto B., Bloomfield D.S., Georgoulis M.G. Forecasting solar flares using magnetogram-based predictors and machine learning // Solar Phys. V. 293. 28. 2018.
- Forbes T.G. A review on the genesis of coronal mass ejections // J. Geophys. Res. V. 105. P. 23153—23166. 2000.
- Georgoulis M.K. On our ability to predict major solar flares / The Sun: New Challenges / Astrophysics and Space Science Proceedings; Eds. Obridko V.N., Georgieva K., Nagovitsyn, Y.A. Berlin; Heidelberg: Springer-Verlag. P. 93—104. 2012.
- Gopalswamy N., Shimojo M., Yashiro S., Howard R.A. Prominence eruptions and coronal mass ejection: A statistical study using microwave observations // Astrophys. J. V. 586. P. 562—578. 2003.
- Gosling J.T. The solar flare myth // J. Geophys. Res. V. 98. P. 18937—18949. 1993.
- Jonas E., Bobra M., Shankar V., Hoeksema J.T., Recht B. Flare prediction using photospheric and coronal image data // Solar Phys. V. 293. 48. 2018.
- Hirayama T. Theoretical model of flares and prominences. I: Evaporating flare model // Solar Phys. V. 34. P. 323— 338. 1974.
- Ishkov V.N. The short term forecast of solar geoeffective flare events / Solar variability as an input to the Earth’s environment // International Solar Cycle Studies (ISCS) Symposium, 23—28 June 2003, Tatranská Lomnica, Slovak Republic. Ed. A. Wilson. ESA SP-535, Noordwijk: ESA Publications Division, P. 559—560, 2003.
- Kliem B., Török T. Torus instability // Phys. Rev. Lett. V. 96. № 25. 255002. 2006.
- Kopp R.A., Pneuman G.W. Magnetic reconnection in the corona and the loop prominence phenomenon // Solar Phys. V. 50. P. 85—98. 1976.
- Kuperus M., Raadu M.A. The support of prominences formed in neutral sheets // Astron. Astrophys. V. 31. P. 189—193. 1974.
- Lemmon J.J. Forecasting flares from inferred magnetic fields / Solar Activity Observations and Predictions. Eds. McIntosh P.S., Dryer M. // Progress in Astronautics and Aeronautics. V. 30. Cambridge: MIT Press, P. 421—428. 1972.
- Martin S.F., Ramsey H.E. Early recognition of major solar flares in H-alpha / Solar Activity Observations and Predictions. Eds. McIntosh, P.S., Dryer, M. // Progress in Astronautics and Aeronautics. V. 30. Cambridge: MIT Press. P. 371—387., 1972.
- McCauley P.I., Su Y.N., Schanche N., Evans K.E., Su C., McKillop S., Reeves K.K. Prominence and filament eruptions observed by the Solar Dynamics Observatory: Statistical properties, kinematics, and online catalog // Solar Phys. V. 290. P. 1703−1740. 2015.
- Nishizuka N., Sugiura K., Kubo Y., Den M., Watari S., Ishii M. Solar flare prediction model with three machine-learning algorithms using ultraviolet brightening and vector magnetograms // Astrophys. J. V. 835. 156. 2017.
- Schwenn R. Space weather: the solar perspective // Living Rev. Solar Phys. V. 3. 2. 2006.
- Sinha S., Srivastava N., Nandy D. Solar filament eruptions as precursors to flare-CME events: Establishing the temporal connection // Astrophys. J. V. 880. 84. 2019.
- Song H., Tan C., Jing J., Wang H., Yurchyshyn V., Abramenko V. Statistical assessment of photospheric magnetic features in imminent solar flare predictions // Solar Phys. V. 254. P. 101—125. 2009.
- Sturrock P.A. Model of the high-energy phase of solar flares // Nature V. 211. P. 695—697. 1966.
- Temmer M. Space weather: the solar perspective. An update to Schwenn (2006) // Living Rev. Solar Phys. V. 18. 4. 2014.
- Subramanian P., Lara A., Borgazzi A. Can solar wind viscous drag account for CME deceleration? // Geoph. Res. Lett. V. 39. L19107. 2012.
- Török T., Kliem B. Numerical simulations of fast and slow coronal mass ejections // Astronomische Nachrichten V. 328. P. 743—746. 2007.
- van Tend W., Kuperus M. The development of coronal electric current system in active regions and their relation to filaments and flares // Solar Phys. V. 59. P. 115−127. 1978.
- Vrsnak B., Rosa D., Bozic H., Brajsa R., Ruzdjak V., Schroll A., Wohl H. Height of tracers and the correction of the measured solar synodic rotation rate: demonstration of the method // Solar Phys. V. 185. P. 207−225. 1999.
- Yashiro S., Gopalswamy N., Akiyama S., Michalek G., Howard R.A. Visibility of coronal mass ejections as a function of flare location and intensity // J. Geophys. Res. V. 110: A12S05. 2005.
- Zaitsev V.V., Stepanov A.V. Prominence activation by increase in electric current // J. Atmosp. Solar-Terr. Phys. V. 179. P. 149−143. 2018.
- Zaitsev V.V., Stepanov A.V., Melnikov A.V. Dynamic model of magnetic flux ropes // Geomagnetism and Aeronomy V. 59. Issue 7. P. 806−809. 2019.
- Zuccarello F.P., Seaton D.B., Filippov B., Mierla M., Poedts S., Rachmeler L.A., Romano P., Zuccarello F. Erratum: “Observational evidence of torus instability as trigger mechanism for coronal mass ejections: the 2011 August 4 filament eruption” (2014, ApJ, 785, 88) // Astrophys. J. V. 795. 175. 2014b.
- Zuccarello F.P., Aulanier G., Gilchrist S. The apparent critical decay index at the onset of solar prominence eruptions // Astrophys. J. V. 821. L23. 2016.
Supplementary files






