Statistical Studies of Auroral Activity and Perturbations of the Geomagnetic Field at Middle Latitudes R.
- Authors: Werner R.1, Guineva V.1, Despirak I.V.2, Lubchich A.A.2, Setsko P.V.2, Atanassov A.3, Bojilova R.3, Raykova L.1, Valev D.1
-
Affiliations:
- Space Research and Technology Institute, Bulgarian Academy of Sciences
- Polar Geophysical Institute
- National Institute of Geophysics, Geodesy and Geography, Bulgarian Academy of Sciences
- Issue: Vol 63, No 4 (2023)
- Pages: 520-533
- Section: Articles
- URL: https://bakhtiniada.ru/0016-7940/article/view/134743
- DOI: https://doi.org/10.31857/S0016794022600727
- EDN: https://elibrary.ru/OQIRYV
- ID: 134743
Cite item
Full Text
Abstract
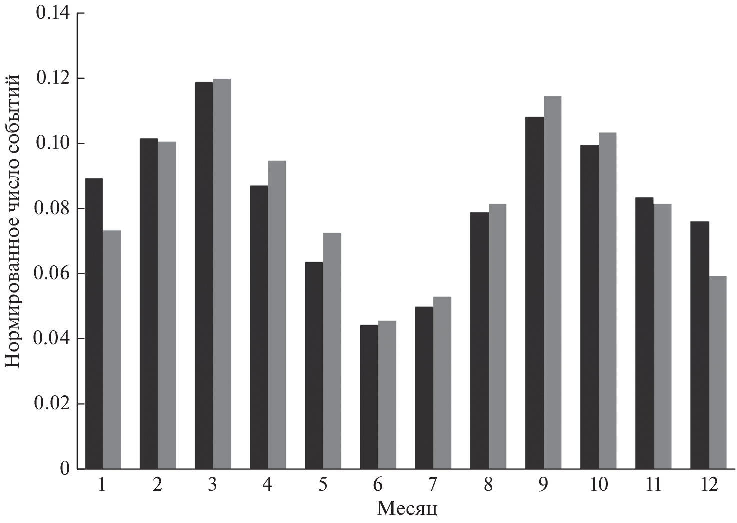
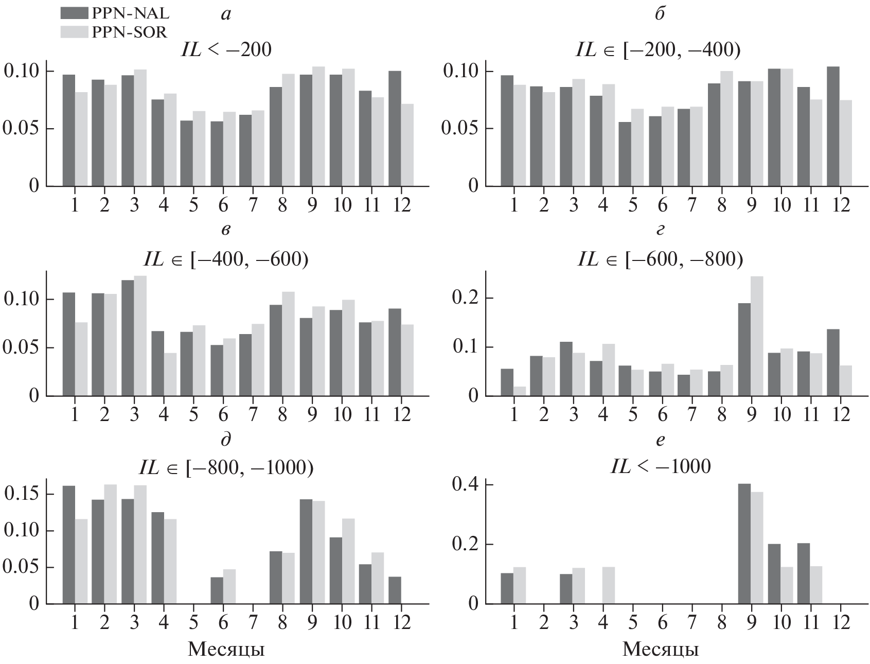
In this paper, we statistically analyzed substorm activity at auroral latitudes for 2007–2020 and its
relationship with magnetic disturbances at middle latitudes using the INTERMAGNET, SuperMAG, and
IMAGE magnetometer data. The appearance and development of magnetic disturbances at auroral latitudes
was monitored by the IL index (similar to the AL index, but calculated according to IMAGE data). For the
2007–2020 period, events that were observed near the meridian of the IMAGE network, in the night sector
(2103 MLT), were selected. Two samples of events were used: (1) IL < –200 nT for at least 10 min, with an
additional criterion for the presence or absence of positive bays at the Panagyurishte station in Bulgaria, and
(2) isolated substorms observed on the IMAGE meridian according to the list of Ohtani and Gjerloev (2020).
The distributions of the IL index, as well as the empirical and theoretical cumulative distribution functions,
are obtained, and the of the occurrence of extreme events are also estimated. It is shown that, in general, the
IL distributions are described well by exponential functions, and out of all events, events accompanied by
mid-latitude positive bays were observed in ~65% of cases while their fraction increased with increasing disturbance
intensity. Events with positive bays at midlatitudes of MPB and isolated substorms were better
described by the Weibull distribution for extreme events. From both distributions, annual and semi-annual
variations were identified: annual variations have a summer minimum and a winter maximum, and semiannual
variations have maxima near the equinoxes, which is most likely due to the Russell-McPherron effect.
The semi-annual variation is also shown to be more pronounced for events with accompanying mid-latitudinal
positive bays.
About the authors
R. Werner
Space Research and Technology Institute, Bulgarian Academy of Sciences
Email: despirak@gmail.com
Stara Zagora, 6000 Bulgaria
V. Guineva
Space Research and Technology Institute, Bulgarian Academy of Sciences
Email: despirak@gmail.com
Stara Zagora, 6000 Bulgaria
I. V. Despirak
Polar Geophysical Institute
Email: despirak@gmail.com
Apatity, Murmansk Oblast, 184209 Russia
A. A. Lubchich
Polar Geophysical Institute
Email: despirak@gmail.com
Apatity, Murmansk Oblast, 184209 Russia
P. V. Setsko
Polar Geophysical Institute
Email: despirak@gmail.com
Apatity, Murmansk Oblast, 184209 Russia
A. Atanassov
National Institute of Geophysics, Geodesy and Geography, Bulgarian Academy of Sciences
Email: despirak@gmail.com
Sofia, 1113 Bulgaria
R. Bojilova
National Institute of Geophysics, Geodesy and Geography, Bulgarian Academy of Sciences
Email: despirak@gmail.com
Sofia, 1113 Bulgaria
L. Raykova
Space Research and Technology Institute, Bulgarian Academy of Sciences
Email: despirak@gmail.com
Stara Zagora, 6000 Bulgaria
D. Valev
Space Research and Technology Institute, Bulgarian Academy of Sciences
Author for correspondence.
Email: despirak@gmail.com
Stara Zagora, 6000 Bulgaria
References
- – Божилова Р. Автоматизирана система за събиране на геофиизични данни – приложение XLV // Сборник на “Национална конференция по въпроси на обучение по физика”, София, 6–9 Април 2017. С. 55–59. 2017.
- – Воробьев А.В., Пилипенко В.А., Сахаров Я.А., Селиванов В.Н. Статистические взаимосвязи вариаций геомагнитного поля, аврорального электроджета и геоиндуцированных токов // Солнечно-земная физика. Т. 5. № 1. С. 48‒58. 2019. https://doi.org/10.12737/szf-51201905
- – Дэспирак И.В., Любчич А.А., Клейменова Н.Г. “Полярные” и “высокоширотные” суббури и условия в солнечном ветре // Геомагнетизм и аэрономия. Т. 54. № 5. С. 619‒626. 2014. https://doi.org/10.7868/S0016794014050046
- – Дэспирак И.В., Клейменова Н.Г., Громова Л.И., Громов С.В., Малышева Л.М. Суперсуббури во время бурь 7–8 сентября 2017 г. // Геомагнетизм и аэрономия. Т. 60. № 3. С. 308–317. 2020. https://doi.org/10.31857/S0016794020030049
- – Дэспирак И.В., Сецко П.В., Сахаров Я.А., Любчич А.А., Селиванов В.Н., Валев Д. Наблюдения геомагнитных индуцированных токов на Северо-Западе России: отдельные случаи // Геомагнетизм и аэрономия. Т. 62. № 6. С. 721–733. 2022. https://doi.org/10.31857/S0016794022060037
- – Нусинов А.А., Руднева Н.М., Гинзбург Е.А., Дремухина Л.А. Сезонные вариации статистических распределений индексов геомагнитной активности // Геомагнетизм и аэрономия. Т. 55. № 4. С. 511–516. 2015. https://doi.org/10.7868/S0016794015040100
- – Яновский Б.М. Земной магнетизм. Л.: Издательство Ленинградского университета, 1978. 592 с.
- – Akasofu S.-I., Meng C.I. A study of polar magnetic substorms // J. Geophys. Res. V. 74. № 1. P. 293–313. 1969. https://doi.org/10.1029/JA074i001p00293
- – Bartels J. Terrestrial-magnetic activity and its relation to solar phenomena // Terr. Magn. Atmos. Electr. V. 37. № 1. P. 1–52. 1932. https://doi.org/10.1029/TE037i001p00001
- – Berthelier A. Influence of the polarity of the interplanetary magnetic field on the annual and the diurnal variations of magnetic activity // J. Geophys. Res.: Space Physics. V. 81. № 25. P. 4546–4552. 1976. https://doi.org/10.1029/JA081i025p04546
- – Boller B.R., Stolov H.L. Kelvin Helmholtz instability and the semiannual variation of geomagnetic activity // J. Geophys. Res. V. 75. № 31. P. 6073–6084. 1970. https://doi.org/10.1029/JA075i031p06073
- – Broun J.A. Observations in magnetism and meteorology made at Makerstoun in Scotland, in 1844. The Aurora Borealis // Trans. R. Soc. Edinburgh. V. 18. 401–402. 1848. https://doi.org/10.1017/S0080456800039077
- – Chu X. Configuration and generation of substorm current wedge, Los Angeles: University of California, Los Angeles, 2015. (A dissertation submitted in partial satisfaction of the requirements for the degree Doctor of Philosophy in Geophysics and Space Physics).
- – Cliver E.W., Kamide Y., Ling A.G. Mountains versus valleys: Semiannual variation of geomagnetic activity // J. Geophys. Res. V. 105. № A2. P. 2413–2424. 2000. https://doi.org/10.1029/1999JA900439
- – Coles S. An Introduction to Statistical Modeling of Extreme Values. Springer, London. 2001.
- – Cortie A.L. Sun-spots and terrestrial magnetic phenomena, 1898–1911: the cause of the annual variation in magnetic disturbances // Mon. Not. R. Astron. Soc. V. 73. № 1. P. 52–60. 1912. https://doi.org/10.1093/mnras/73.1.52
- – Davis T.N., Sugiura M., Auroral electrojet activity index AE and its universal time variations // J. Geophys. Res. V. 71. № 3. P. 785–801. 1966. https://doi.org/10.1029/JZ071i003p00785
- – Despirak I.V., Kleimenova N.G., Lubchich A.A., Malysheva L.M., Gromova L.I., Roldugin A.V., Kozelov B.V., Magnetic Substorms and Auroras at the Polar Latitudes of Spitsbergen: Events of December 17, 2012. Bull. Russian Acad. Sci: Physics. V. 86. № 3. P. 266–274. 2022. https://doi.org/10.3103/S1062873822030091
- – Echer E., Gonzalez W.D., Tsurutani B.T. Statistical studies of geomagnetic storms with peak Dst ≤ –50 nT from 1957 to 2008 // J. Atmospheric and Solar-Terrestrial Physics. V. 73. № 11–12. P. 1454–1459. 2011. https://doi.org/10.1016/j.jastp.2011.04.021
- – Fu H., Yue C., Zong Q.-G., Zhou X.-Z., Fu S. Statistical characteristics of substorms with different intensity // J. Geophys. Res.: Space Physics. V. 126. № 8. 2021. e2021JA029318. https://doi.org/10.1029/2021JA029318
- – Gjerloev J.W. A global ground-based magnetometer initiative // EOS Trans. AGU. V. 90. № 27. P. 230–231. 2009. https://doi.org/10.1029/2009EO270002
- – Gjerloev J.W. The SuperMAG data processing technique // J. Geophys. Res. V. 117. № A9. A09213. 2012. https://doi.org/10.1029/2012JA017683
- – Gopalswamy N. Chapter 2 – Extreme Solar Eruptions and their Space Weather Consequences / Extreme Events in Geospace – Origins, Predictability, and Consequences, edited by Natalia Buzulukova, Elsevier. P. 37–63. 2018. https://doi.org/10.1016/B978-0-12-812700-1.00002-9
- – Grubbs F.E., Beck G. Extension of Sample Sizes and Percentage Points for Significance Tests of Outlying Observations // Technometrics. V. 14. № 4. P. 847–854. 1972. https://doi.org/10.2307/1267134
- – Guo J., Feng X., Pulkkinen T.I., Tanskanen E.I., Xu W., Lei J., Emery B.A. Auroral electrojets variations caused by recurrent high-speed solar wind streams during the extreme solar minimum of 2008 // J. Geophys. Res. V. 117. № A4. A04307. 2012. https://doi.org/10.1029/2011JA017458
- – Guo J., Liu H., Feng X., Pulkkinen T.I., Tanskanen E.L., Liu C., Zhong D., Wang Z. // MLT and seasonal dependence of auroral electrojets: IMAGE magnetometer network observations // J. Geophys. Res.: Space Physics. V. 119. № 4. P. 3179–3188. 2014. https://doi.org/10.1002/2014JA019843
- – Iijima T., Potemra T.A. Large-scale characteristics of field aligned currents associated with substorms // J. Geophys. Res. V. 83. № 2. P. 599-615. 1978. https://doi.org/10.1029/JA083iA02p00599
- – Kamide Y., Akasofu S.-I. The auroral electrojet and global auroral features // J. Geophys. Res., V. 80. № 25. P. 3585–3602. 1975.https://doi.org/10.1029/JA080i025p03585
- – Kepko L., McPherron R.L., Amm O., Apatenkov S., Baumjohann W., Birn J., Lester M., Nakamura R., Pulkkinen T.I., Sergeev V. Substorm Current Wedge Revisite // Space Sci. Rev. V. 190. P. 1–46. 2015. https://doi.org/10.1007/s11214-014-0124-9
- – Lockwood M., Owens M.J., Barnard L.A., Haines C., Scott C.J., McWilliams K.A., Coxon J.C. Semi-annual, annual and Universal Time variations in the magnetosphere and in geomagnetic activity: 1. Geomagnetic data // J. Space Weather Space Clim. V. 10. Art. 23. 2020. https://doi.org/10.1051/swsc/2020023
- – Love J.J, Rigler E.J., Pulkkinen A., Riley P. On the lognormality of historical magnetic storm intensity statistics: Implications for extreme-event probabilities // Geophys. Res. Lett. V. 42. № 16. P. 6544–6553. 2015. https://doi.org/10.1002/2015GL064842
- – Lyatsky W., Tan A. Latitudinal effect in semiannual variation of geomagnetic activity // J. Geophys. Res. V. 108. № A5. 1204. 2003. https://doi.org/10.1029/2002JA009467
- – Matzka J., Stolle C., Yamazaki Y., Bronkalla O., Morschhauser A. The geomagnetic Kp index and derived indices of geomagnetic activity // Space Weather. V. 19. № 5. e2020SW002641. 2021. https://doi.org/10.1029/2020SW002641
- – McIntosh D.H. On the annual variation of magnetic disturbances // Philos. Trans. R. Soc. London, Series A, Mathematical and Physical Sciences. V. 251. № 1001. P. 525–552, 1959. https://doi.org/10.1098/rsta.1959.0010
- – McPherron R.L. Growth phase of magnetospheric substorms. J. Geophys. Res. V. 75. № 28. P. 5592–5599. 1970. https://doi.org/10.1029/JA075i028p05592
- – McPherron R.L., Russell C.T., Aubry M.P. Satellite studies of magnetospheric substorms on August 15, 1968: 9. Phenomenological model for substorms, J. Geophys. Res. V. 78. № 16. P. 3131–3149. 1973. https://doi.org/10.1029/JA078i016p03131
- – McPherron R.L. The use of ground magnetograms to time the onset of magnetospheric substorms // J. Geomag. Geoelectr. V. 30. № 3. P. 149–163. 1978. https://doi.org/10.5636/jgg.30.149
- – McPherron L.R., Chu X. The Mid-Latitude Positive Bay and the MPB Index of Substorm Activity // Space Sci. Rev. V. 206. P. 91–122. 2017. https://doi.org/10.1007/s11214-016-0316-6
- – McPherron L.R., Chu X. The midlatitude positive bay index and the statistics of substorm occurrence // J. Geophys. Res.: Space Physics. V. 123. № 4. P. 2831–2850. 2018. https://doi.org/10.1002/2017JA024766
- – Mikhailov A.V., Depuev V.Kh., Leschinskaya T.Yu. Geomagnetic activity threshold for F2-layer negative storms onset: Seasonal dependence // International J. Geomagnetism and Aeronomy. V. 6. № 1. 2005. https://doi.org/10.1029/2005GI000098
- – Murayama T. Origin of the semiannual variation of geomagnetic Kp indices // J. Geophys. Res.: Space Physics. V. 79. № 1. P.297–300. 1974. https://doi.org/10.1029/JA079i001p00297
- – Mursula K., Tanskanen E., Love J. Spring-fall asymmetry of substorm strength, geomagnetic activity and solar wind: Implications for semiannual variation and solar hemispheric asymmetry // Geophys. Res. Let. V. 38. № 6. L06104. 2011. https://doi.org/10.1029/2011GL046751
- – Nakamura M., Yoneda A., Oda M., Tsubouchi K. Statistical analysis of extreme auroral electrojet indices // Earth, Planets and Space. V. 67. Art. 153. 2015. https://doi.org/10.1186/s40623-015-0321-0
- – Newell P.T., Gjerloev J.W. Evaluation of SuperMAG auroral electrojet indices as indicators of substorms and auroral power // J. Geophys. Res. V. 116. № A12. A12211. 2011a. https://doi.org/10.1029/2011JA016779
- – Newell P.T., Gjerloev J.W. Substorm and magnetosphere characteristic scales inferred from the SuperMAG auroral electrojet indices // J. Geophys. Res. V. 116. № A12. A12232. 2011b. https://doi.org/10.1029/2011JA016936
- – O’Brien P., McPherron R.L. Seasonal and diurnal variation of Dst dynamics // J. Geophys. Res. V. 107. № A11. 1341. 2002. https://doi.org/10.1029/2002JA009435
- – Ohtani S., Gjerloev J.W. Is the substorm current wedge an ensemble of wedgelets?: Revisit to midlatitude positive bays // J. Geoph. Res.: Space Physics. V. 125. № 9. e2020JA027902. 2020. https://doi.org/10.1029/2020JA027902
- – Rangarajan G.K., Iyemori T. Time variations of geomagnetic activity indices Kp and Ap: an update // Ann. Geophysicae. V. 15. № 10. P. 1271–1290. 1997. https://doi.org/10.1007/s00585-997-1271-z
- – Riley P. On the probability of occurrence of extreme space weather events // Space Weather. V. 10. № 2. S02012. 2012. https://doi.org/10.1029/2011SW000734
- – Russell C.T., McPherron R.L. Semiannual variation of geomagnetic activity // J. Geophys. Res. V. 78. № A1. P. 92–108. 1973. https://doi.org/10.1029/JA078i001p00092
- – Sabine E. On periodical laws discoverable in the mean effects of the larger magnetic disturbances – No. II // Philos. Trans. R. Soc. London. V. 142. P. 103–124, 1852. https://doi.org/10.1098/rstl.1852.0009
- – Sergeev V.A., Angelopoulos V., Kubyshkina M., Donovan E., Zhou X.-Z., Runov A., Singer H., McFadden J., Nakamura R. Substorm growth and expansion onset as observed with ideal ground-spacecraft THEMIS coverage // J. Geophys. Res. V. 116. A00I2. 2011. https://doi.org/10.1029/2010JA015689
- – Singh A.K., Rawat R., Pathan B.M. On the UT and seasonal variations of the standard and SuperMAG auroral electrojet indices // J. Geophys. Res.: Space Physics. V. 118. № 8. P. 5059–5067. 2013. https://doi.org/10.1002/jgra.50488
- – Svalgaard L., Cliver E.W., Ling A.G. The semiannual variation of great geomagnetic storms // Geophys. Res. Lett. V. 29. № 16. P. 12-1–12-4. 2002. https://doi.org/10.1029/2001GL014145
- – Tanskanen E.I. A comprehensive high-throughput analysis of substorms observed by IMAGE magnetometer network: Years 1993–2003 examined // J. Geophys. Res. V. 114. № A5. A05204. 2009. https://doi.org/10.1029/2008JA013682
- – Thomson A.W.P., Dawson E.B., Reay S.J. Quantifying extreme behavior in geomagnetic activity // Space Weather. V. 9. № 10. S10001. 2011. https://doi.org/10.1029/2011SW000696
- – Tsubouchi K., Omura Y. Long-term occurrence probabilities of intense geomagnetic storm events // Space Weather. V. 5. № 12. S12003. 2007. https://doi.org/10.1029/2007SW000329
- –Tsurutani B.T., Hajra R. The interplanetary and Magnetospheric causes of Geomagnetically Inducted Currents (GICs) > 10A in the Mäntsälä Finland Pipeline:1999 through 2019 // J. Space Weather Clim. V.11. A23. 2021. https://doi.org/10.1051/swsc/2021001
- – Viljanen A., Tanskanen E.I., Pulkkinen A. Relation between substorm characteristics and rapid temporal variations of the ground magnetic field // Ann. Geophys. V. 24. № 2. P. 725–733. 2006. https://doi.org/10.5194/angeo-24-725-2006
- – Weibull W. A statistical distribution function of wide applicability // J. Appl. Mech.-Trans. ASME. V. 18. № 3. P. 293–297. 1951.
- – Werner R., Guineva V., Atanassov A., Bojilova R., Raykova L., Valev D., Lubchich A., Despirak I. Calculation of the horizontal power perturbations of the Earth surface magnetic field / Proceedings of the Thirteenth Workshop “Solar Influences on the Magnetosphere, Ionosphere and Atmosphere”, Primorsko, Bulgaria, 13–17 September 2021. P. 159–164. 2021. https://doi.org/10.31401/WS.2021.proc
- – Yermolaev Y.I., Lodkina I.G., Nikolaeva N.S., Yermolaev M.Y. Occurrence rate of extreme magnetic storms, J. Geophys. Res.: Space Physics. V. 118. № 8. P. 4760–4765. 2013. https://doi.org/10.1002/jgra.50467
- – Yoshida A. Physical meaning of the equinoctial effect for semi-annual variation in geomagnetic activity // Ann. Geophys. V. 27. P. 1909–1914. 2009. https://doi.org/10.5194/angeo-27-1909-2009
Supplementary files











