Features of Radio Signal Propagation in the VLF Range at High Latitudes during Solar Proton Events
- Authors: Akhmetov O.I.1, Mingalev I.V.1, Mingalev O.V.2,1, Belakhovsky V.B.1, Suvorova Z.V.1
-
Affiliations:
- Polar Geophysical Institute (PGI)
- Murmansk Arctic State University (MASU)
- Issue: Vol 63, No 4 (2023)
- Pages: 411-421
- Section: Articles
- URL: https://bakhtiniada.ru/0016-7940/article/view/134731
- DOI: https://doi.org/10.31857/S0016794022600545
- EDN: https://elibrary.ru/PKMRVP
- ID: 134731
Cite item
Full Text
Abstract
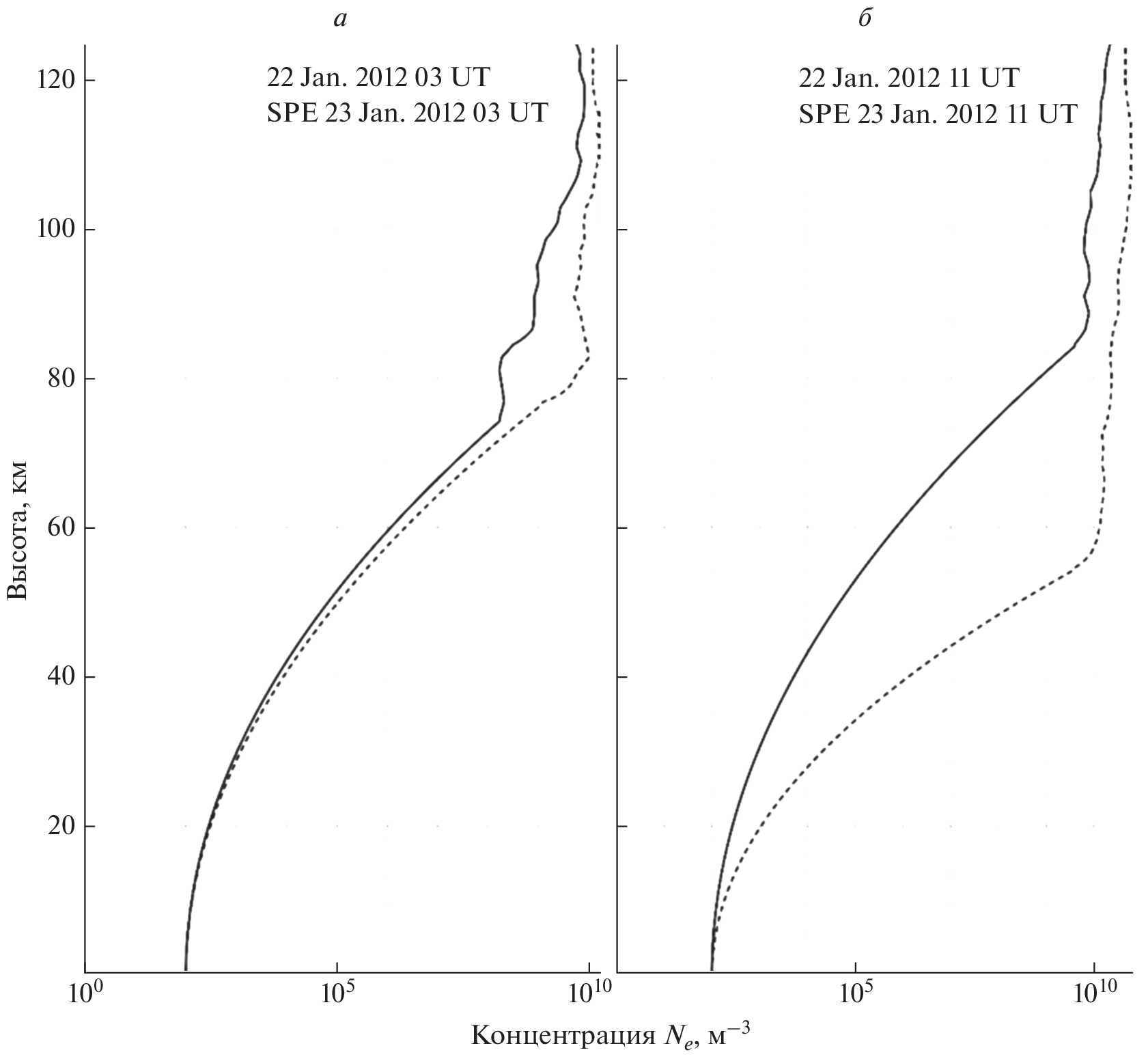
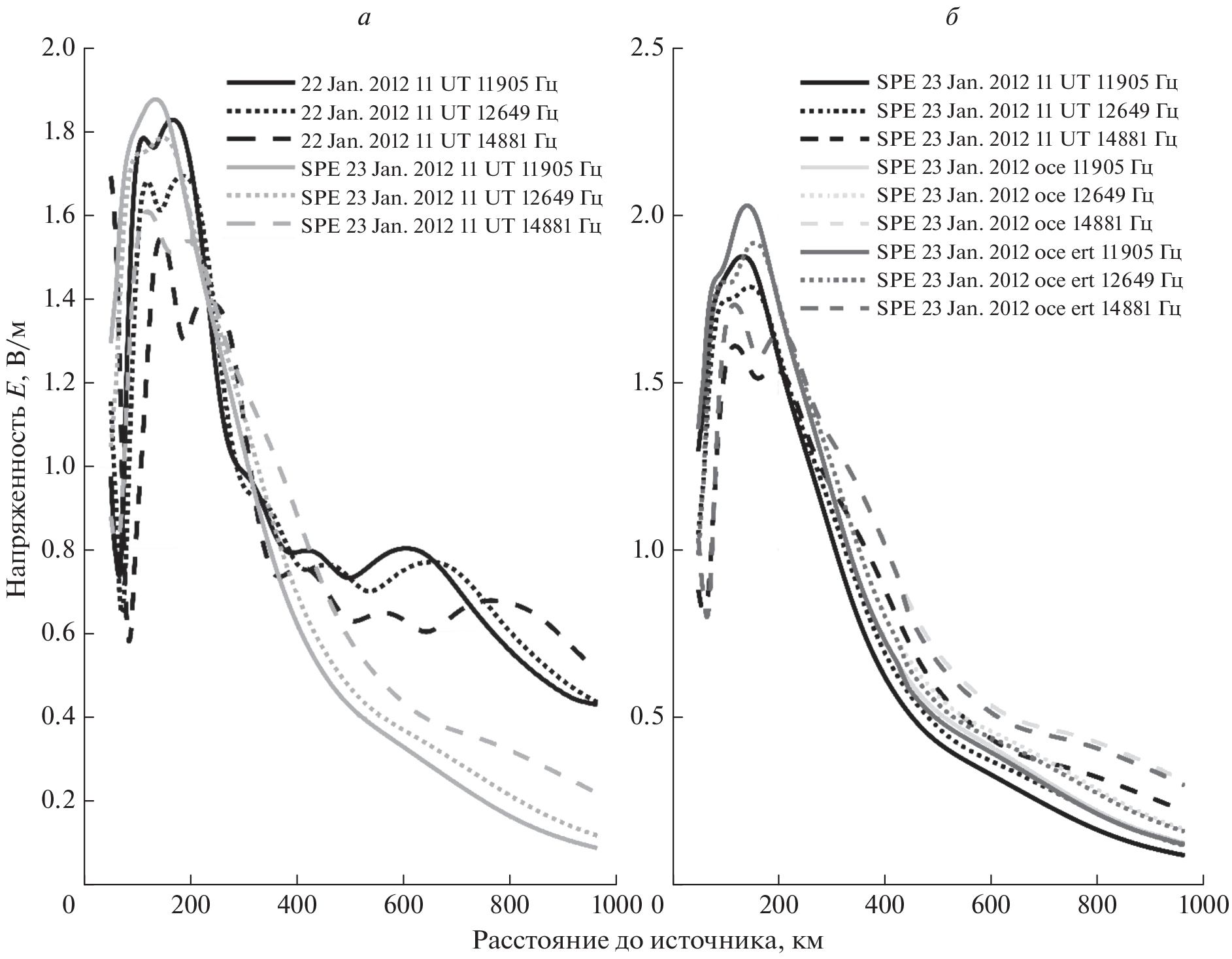
In this paper, we study the amplitude and phase characteristics of VLF signals of an anthropogenic
origin during solar proton events using the methods of a computational experiment. We consider the events of
October 30, 2003 and January 23, 2012. Electron density profiles are plotted using data from the VHF EISCAT
incoherent scatter radar located in Tromsø, Norway. Based on the processed data of computational experiments,
that under the conditions of solar proton events, mainly amplitude distortions of VLF signals were
shown to be observed while there is a frequency dependence of the magnitude of distortions of the signals of
the RSDN-20 long-range navigation radio system. The signal phases of the RSDN-20 system are less affected
by weak solar proton events. The effect of the lower boundary of the Earth-ionosphere waveguide in the cases
of propagation of signals from the RSDN-20 system over the surface of land and ocean during a solar proton
event was studied.
About the authors
O. I. Akhmetov
Polar Geophysical Institute (PGI)
Email: akhmetov@pgia.ru
Apatity, Murmansk Oblast, 184209 Russia
I. V. Mingalev
Polar Geophysical Institute (PGI)
Email: belakhovsky@pgia.ru
Apatity, Murmansk Oblast, 184209 Russia
O. V. Mingalev
Murmansk Arctic State University (MASU); Polar Geophysical Institute (PGI)
Email: belakhovsky@pgia.ru
Murmansk, 183038 Russia; Apatity, Murmansk Oblast, 184209 Russia
V. B. Belakhovsky
Polar Geophysical Institute (PGI)
Email: belakhovsky@pgia.ru
Apatity, Murmansk Oblast, 184209 Russia
Z. V. Suvorova
Polar Geophysical Institute (PGI)
Author for correspondence.
Email: belakhovsky@pgia.ru
Россия, (Мурманская обл.), Апатиты
References
- ‒ Ахметов О.И., Мингалев И.В., Мингалев О.В., Суворова З.В., Белаховский В.Б., Черняков С.М. Определение характеристик ИНЧ-волн, наиболее сильно реагирующих на незначительные изменения электронной плотности ионосферы в области высоких широт // Солнечно-земная физика. Т. 5. № 4. С. 99–109. 2019а. https://doi.org/10.12737/szf-54201911
- ‒ Ахметов О.И., Мингалев И.В., Мингалев О.В., Суворова З.В.Тестирование численной схемы интегрирования уравнений Максвелла для широкополосных сигналов на задаче распространения электромагнитных волн от ионосферного источника // Труды кольского научного центра РАН. Т. 8. С. 193‒198. 2019б.
- ‒ Ахметов О.И., Мингалев И.В., Мингалев О.В., Белаховский В.Б., Суворова З.В. Распространение электромагнитных волн в области высоких широт при различном состоянии ионосферы на частотах системы радионавигации РСДН-20 (АЛЬФА) // Геомагнетизм и аэрономия. Т. 61. № 3. С. 366–378. 2021а. https://doi.org/10.31857/S0016794021030020
- ‒ Ахметов О.И., Мингалев И.В., Мингалев О.В., Белаховский В.Б., Суворова З.В. Распространение электромагнитных волн в области высоких широт при различном состоянии ионосферы на частотах системы точного времени бета // Изв. РАН. Сер. физическая. Т. 85. № 3. С. 315–320. 2021б. https://doi.org/10.31857/S0367676521020034
- ‒ Ахметов О.И., Мингалев И.В., Мингалев О.В., Белаховский В.Б., Суворова З.В. Моделирование процесса распространения сигналов радиотехнической системы дальней навигации РСДН-20 Альфа в участках волновода Земля‒ионосфера с горизонтально неоднородным распределением концентрации электронов // Physics of Auroral Phenomena. Т. 44. С. 67–70. 2021в. https://doi.org/10.51981/2588-0039.2021.44.015
- ‒ Веселовский И.С., Панасюк М.И., Авдюшин С.И. и др. Солнечные и гелиосферные явления в октябре-ноябре 2003 г.: причины и следствия // Космич. исслед. Т. 42. № 5. С. 1–57. 2004. https://doi.org/10.1023/B:COSM.0000046229.24716.02
- ‒ Годунов С.К., Куликов И.М. Расчет разрывных решений уравнений гидродинамики с гарантией неубывания энтропии // Журн. вычислительной математики и математической физики. Т. 54. № 6. С. 1008–1021. 2014. https://doi.org/10.7868/S0044466914060088
- ‒ Мингалев И.В., Мингалев О.В., Ахметов О.И., Суворова З.В. Явная схема расщепления для уравнений Максвелла // Математическое моделирование. Т. 30. № 12. С. 17–38. 2018.
- ‒ Стародубцев С.А., Баишев Д.Г., Григорьев В.Г., Каримов Р.Р., Козлов В.И., Корсаков А.А., Макаров Г.А., Моисеев А.В. Анализ солнечных, космо- и геофизических событий в сентябре 2017 г. по комплексным наблюдениям ИКФИА СО РАН // Солнечно-земная физика. Т. 5. № 1. С. 17–38. 2019. https://doi.org/10.12737/szf-51201903
- ‒ Шубин В.Н. Глобальная эмпирическая модель критической частоты F2-слоя ионосферы для спокойных геомагнитных условий // Геомагнетизм и аэрономия. Т. 57. № 4. С. 450–462. 2017. https://doi.org/10.1134/S0016794019040151
- ‒ Alken P., Thébault E., Beggan C.D. et al. International Geomagnetic Reference Field: the thirteenth generation // Earth Planets Space. V. 73. P. 1‒25. 2021. https://doi.org/10.1186/s40623-020-01288-x
- ‒ Akhmetov O.I., Mingalev V.S., Mingalev I.V., Mingalev O.V. Solution of the cauchy problem for the three-dimensional telegraph equation and exact solutions of maxwell’s equations in a homogeneous isotropic conductor with a given exterior current source // Computational Mathematics and Mathematical Physics. V. 58. № 4. P. 604–611. 2018. https://doi.org/10.1134/S0965542518040036
- ‒ Bashkuev Y., Advokatov V., Buyanova D., Pushkarev M. Analysis of the conditions for the radio waves propagation in the waveguide “Earth-Ionosphere” on the paths “Novosibirsk-Ulan-Ude” and “Komsomolsk-on-Amur-Ulan-Ude” during magnetic storms august 31-september 12, 2017 / IX International Conference “Solar-Terrestrial Relations and Physics of Earthquake Precursors”. id. 01002. 2018. https://doi.org/10.1051/e3sconf/2018620100
- ‒ Beloglazov M.I., Beloglazova G.P., Vashenyuk E.V., Petrova G.A., Shumilov O.I., Shishaev V.A., Zabavina I.N., Nesterov V.I. The ionospheric effects in D-layer and solar proton precipitation zones during the 16 February 1984 event // Planet. Space Sci. V. 38. № 12. P. 1479‒1486. 1990. https://doi.org/10.1016/0032-0633(90)90154-I
- ‒ Berenger J.-P. A perfectly matched layer for the absorption of electromagnetic waves // J. Computational Phys. V. 114. № 2. P. 185–200. 1994. https://doi.org/10.1006/JCPH.1994.1159
- ‒ Clilverd M., Seppälä A., Rodger C., Thomson N., Verronen P., Turunen E., Ulich T., Lichtenberger J., Steinbach P. Modeling polar ionospheric effects during the October–November 2003 solar proton events // Radio Sci. V. 41. id RS2001. 2006. https://doi.org/10.1029/2005RS003290
- ‒ Clilverd M., Rodger C., Thomson N. et al. Remote sensing space weather events: the AARDDVARK network // Space Weather. V. 7. Id. S04001. 2009. https://doi.org/10.1109/URSIGASS.2014.6929921
- ‒ Cummer S.A., Bell T.F., Inan U.S., Chenette D.L. VLF remote sensing of high-energy auroral particle precipitation // J. Geophys. Res. V. 102. A4. P. 7477–7484. 1997. https://doi.org/10.1029/96JA03721
- ‒ Gopalswamy N., Xie H., Yashiro S., Akiyama S., Mäkelä P., Usoskin I.G. Properties of Ground Level Enhancement Events and the Associated Solar Eruptions During Solar Cycle 23 // Space Sci. Rev. V. 171. P. 23–60. 2012. https://doi.org/10.48550/arXiv.1205.0688
- ‒ Jacobsen T. The Russian VLF navaid system alpha, RSDN-20. http://www.vlf.it/alphatrond/alpha.htm/2022.
- ‒ Korja T., Engels M., Zhamaletdinov A.A., et al. Crustal conductivity in Fennoscandia – a compilation. № 5. P. 535–558. 2002. https://doi.org/10.1186/BF03353044
- ‒ Knipp D., Ramsay A., Beard E., Boright A., Cade T., Hewins I., McFadden R., Denig W., Kilcommons L., Shea M., Smart D. The May 1967 great storm and radio disruption event: Extreme space weather and extraordinary responses // Space Weather. V. 14. P. 614–633. 2016. https://doi.org/10.1002/2016sw001423
- ‒ Larchenko A.V., Pilgaev S.V., Lebed O.M., Fedorenko Yu.V. Features of the structure of the VLF electromagnetic field on the arch. Spitsbergen in experiments on heating the ionosphere // Bulletin of the Kola Scientific Center of the Russian Academy of Sciences. V. 3. P. 115‒119. 2018.
- ‒ Lebed O.M., Pilgaev S.V., Nikitenko A.S., Larchenko A.V., Fedorenko Yu.V. Estimation of the height of the ionospheric source formed during HF heating by the EISCAT / heating stand based on phase measurements at a network of high-latitude stations in calm and disturbed helio-geophysical conditions // Bulletin of the Kola Scientific Center of the Russian Academy of Sciences. V. 4. P. 67‒74. 2017.
- ‒ Lynn K.J.W. A relationship between solar proton events, ionospheric uplift observed at VLF and negative ionospheric storms // J. Atmos. Solar-Terr. Phys. V. 105. P. 61–65. 2013. https://doi.org/10.1016/j.jastp.2013.07.009
- ‒ Makhmutov V.S., Bazilevskaya G.A., Stozhkov Y.I. et al. Solar proton event on January 23, 2012 / 33RD international cosmic ray conference. Rio de Janeiro. P. 1440. 2013.
- ‒ Maurya A.K., Venkatesham K., Kumar S., Singh R., Tiwari P., Singh A.K. Effects of St. Patrick’s Day geomagnetic storm of March 2015 and of June 2015 on low-equatorial D region ionosphere // J. Geophys. Res. – Space. V. 123. P. 6836‒ 6850. 2018. https://doi.org/10.1029/2018JA025536
- ‒ Potemra T.A., Zmuda A.J., Haave C.R., Shaw B.W. VLF phase perturbations produced by solar protons in the event of February 5, 1965 // J. Geophys. Res. V. 72. P. 6077–6089. 1967.
- ‒ Schunk R., Nagy A. Ionospheres: Physics, Plasma Physics, and Chemistry (2nd ed., Cambridge Atmospheric and Space Science Series). Cambridge: Cambridge University Press. 355 p. 2009. https://doi.org/10.1017/CBO9780511635342
- ‒ Shubin V.N. Global median model of the F2-layer peak height based on ionospheric radio-occultation and ground-based Digisonde observations // Adv. Space Res. V. 56. P. 916–928. 2015. https://doi.org/10.1016/j.asr.2015.05.029
- ‒ Zigman V., Kudela K., Grubor D. Response of the Earth’s lower ionosphere to the Ground Level Enhancement event of December 13, 2006 // Adv. Space Res. V. 53. P. 763–775. 2014. https://doi.org/10.1016/j.asr.2013.12.026
Supplementary files





