Refined Spatio-Temporal Model of Accelerations of the Main Geomagnetic Field on the Earth’s Surface and Geomagnetic Jerks
- Authors: Simonyan A.O.1, Ohanyan M.V.1
-
Affiliations:
- Nazarov Institute of Geophysics and Engineering Seismology, National Academy of Sciences of the Republic of Armenia (IGES NAS RA)
- Issue: Vol 63, No 3 (2023)
- Pages: 366-390
- Section: Articles
- URL: https://bakhtiniada.ru/0016-7940/article/view/134728
- DOI: https://doi.org/10.31857/S0016794022600624
- EDN: https://elibrary.ru/POKDOY
- ID: 134728
Cite item
Full Text
Abstract
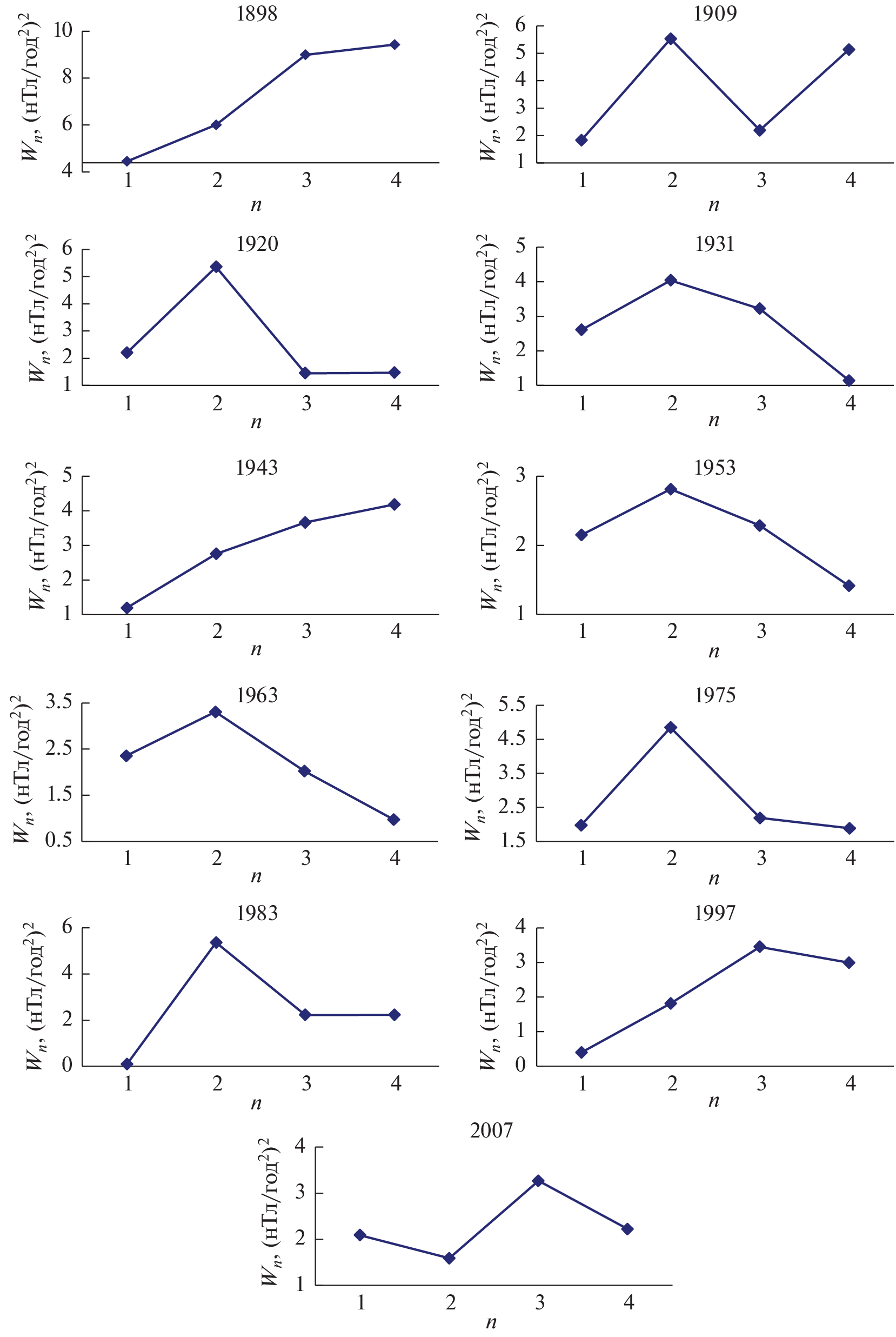
Refined spatial spherical harmonic models of the piecewise constant field of secular geomagnetic
accelerations have been constructed based on the concept of geomagnetic jerks. The data of the 189 magnetic
observatories operating during the extended period of investigations have been analyzed, assuming that jerks
are manifestation of sharp changes in regimes of quasi-stationary magnetohydrodynamic process of generation
of geomagnetic secular variations in the high-frequency spectrum range. Qualitative and quantitative
analyses have been carried out, showing the persistency of models of the current generation, and their consistency
with the acceleration field values obtained from direct observatory observations data. The epochs of
jerks that occurred in the extended time period were refined and it was found that on the global scale they
have quasi-decadal repeatability, through which it is possible to estimate the time characteristics of regimes
of the stationary evolution of the magnetic field of the Earth’s core. An analysis of the results of spherical harmonic
modeling using the maps of the global field of accelerations showed that the origins of all identified
jerks are of an intraterrestrial character, which also provide the specific features of their morphological structure,
as well as the degree of their distribution on the Earth’s surface
About the authors
A. O. Simonyan
Nazarov Institute of Geophysics and Engineering Seismology, National Academy of Sciencesof the Republic of Armenia (IGES NAS RA)
Email: anahit.iges@gmail.com
Gyumri, 3115 Armenia
M. V. Ohanyan
Nazarov Institute of Geophysics and Engineering Seismology, National Academy of Sciencesof the Republic of Armenia (IGES NAS RA)
Author for correspondence.
Email: marine-0882@mail.ru
Gyumri, 3115 Armenia
References
- − Брагинский С.И. Магнитогидродинамические крутильные колебания в земном ядре и вариации длины суток. // Геомагнетизм и аэрономия. Т. 10. № 1. С. 3–12. 1970.
- − Брагинский С.И., Фишман В. М. Экранирование магнитного поля в мантии при электропроводности, сосредоточенной вблизи границы с ядром. // Геомагнетизм и аэрономия. Т. 17. № 5. С. 907–915. 1977.
- − Брагинский С.И. Аналитическое описание вековых вариаций геомагнитного поля и скорости вращения Земли. // Геомагнетизм и аэрономия. Т. 22. № 1. С. 115– 122. 1982.
- − Головков В.П., Симонян А.О. Джерки в вековых геомагнитных вариациях на интервале 1930–1980 гг. // Геомагнетизм и аэрономия. Т. 29. № 1. С. 164–167. 1989.
- − Головков В.П., Симонян А.О., Зверева Т.И. Глобальная структура ускорения вековых вариаций геомагнитного поля. // Геомагнетизм и аэрономия. Т. 29. № 3. С. 481–486. 1989.
- − Головков В.П., Симонян А.О. О резких изменениях вековых вариаций геомагнитного поля в конце 1970-х годов // Геомагнетизм и аэрономия. Т. 31. № 1. С. 165–171. 1991.
- − Головков В.П., Кожоева Г.М., Симонян А.О. О природе резких изменений геомагнитного векового хода в конце 70-х гг. // Геомагнетизм и аэрономия. Т. 32. № 6. С. 147–152. 1992.
- − Калинин Ю.Д. Вековые геомагнитные вариации и изменения длины суток // Метрология и гидрология. № 3. С. 15–19. 1949.
- − Орлов В.П. Вековой ход геомагнитного поля и его необычно резкие изменения // Тр. ИЗМИРАН СССР. Вып. 18(28). С. 77–87. 1961.
- − Симонян А.О., Шахпаронян С.Р., Оганесян А.С. Моделирование земного магнитного поля с учетом существования геомагнитных джерков // Геомагнетизм и аэрономия. Т. 44. № 6. С. 849–856. 2004.
- − Симонян А.О., Головков В.П. Пространственные особенности проявления западного дрейфа геомагнитного поля // Геомагнетизм и аэрономия. Т. 49. № 6. С. 843–850. 2009. https://doi.org/10.1134/S0016793209060140
- − Симонян А.О. Высокочастотные вариации главного магнитного поля Земли. Palmarium Academic Publishing. Project#3710. ISBN: 978-3-659-72422-0, 390 с. 2017.
- − Achache J., Courtillot V., Ducruix J., Le Mouel J.-L. The late 1960’s impulse: further constraints on deep mantle conductivity // Phys. Earth Planet. Inter. V. 23. P. 72–75. 1980.
- − Alexandrescu M., Gibert D.G., Hulot J.-L., Le Mouel, Saracco G. Detection of geomagnetic jerks using wavelet analysis // J. Geophys. Res. V. 100. P. 12.557–12.572. 1995.
- − Backus G.E. Application of mantle filter theory to the geomagnetic jerk of 1969 // Geophys. J. R. Astron. Soc. V. 74. P. 713–746. 1983.
- − Braginsky S.I. Short-period geomagnetic secular variation // Geophys. Astrophys. Fluid Dynamics. V. 30. P. 1–78. 1984.
- − Braginsky S.I. Magnetic Rossby waves in the stratified ocean of the core, and topographic core-mantle coupling // Earths Planets Space. V. 50. P. 641–649. 1998.
- − Brown W.J, Mound J.E., Livermore P.W. Jerks abound: An analysis of geomagnetic observatory data from 1957 to 2008 // Phys. Earth Planet. Inter. V.223. P. 62–76. 2013.
- − Chulliat A., Thebault E., Hulot G. Core field acceleration pulse as a common cause of the 2003 and 2007 geomagnetic jerks // Geophys.Res.Lett. V. 37. L07301. 2010. https://doi.org/10.1029/2009GL042019
- − Chulliat A., Maus S. Geomagnetic secular acceleration, jerks, and a localized standing wave at the core surface from 2000 to 2010 // J. Geophys. Res. Solid Earth, V. 119. P. 1531–1543. 2014. https://doi.org/10.1002/2013JB010604
- − Cire C., Le Mouel J.L., Ducruix J. Evolution of the geomagnetic secular variation field from the beginning of the century // Nature. V. 307. P. 349–352. 1984.
- − Courtillot V., Ducruix J., Le Mouel J.L. Sur une acceleleration recente de la variation seculaire du champ magnetique terrestre. // C. r. Acad. sci. V. 287. Série D. P. 1095–1098. 1978.
- − Courtillot V., Le Mouel J.L. Geomagnetic secular variation impulses // Nature. V. 311. P. 709–715. 1984.
- − De Michelis P., Cafarella L., Meloni A. Worldwide character of the 1991 geomagnetic jerk // Geophys. Res. Lett. V. 25. P. 377–380. 1998.
- − Ducruix J., Courtillot V., Le Mouel J.-L. The Late 1960's secular variation impulse, the eleven year magnetic variation and the electrical conductivity of the deep mantle // Geophys. J. R. Astr. Soc. V. 61. P. 73–94. 1980.
- − Gillet N., Jault D., Canet E., Fournier A. Fast torsional waves and strong magnetic field within the Earth’s core // Nature. V. 465. P. 74–77. 2010. https://doi.org/10.1038/nature09010
- − Golovkov V.P., Zvereva T.I., Simonyan A.O. Common features and differences between the “Jerks” of 1947, 1957 and 1969 // Geophys. Astrophys. Fluid Dyn. V. 49. P. 81–96. 1989.
- − Golovkov V.P., Simonyan A.O., Shahparonyan S.R. The jerks in the main geomagnetic field / Proc. “OIST-4 Conference, DK, 23–27 Sep., 2002”/ Ed. Peter Stauning, Copenhagen, Denmark. P. 69–74. 2003.
- − Jault, D., Cire C., Le-Mouel J.L. Westward drift, core motions and exchange of angular momentum between core and mantle // Nature. V. 333. № 6171. P. 353–356. 1988.
- − Jault D., Le-Mouel J.L. Exchange of angular momentum between the core and the mantle // J. Geomag. Geoelectr. V. 43. P. 111–129. 1991.
- − Kerridge D.J., Barraclough D.R. Evidence for geomagnetic jerks from 1931 to 1971 // Phys. Earth Planet. Inter. V. 39. P. 228236. 1985.
- − Le Huy M., Alexandrescu M., Hulo G., Le Mouel J.L. On the characteristics of successive geomagnetic jerks // Earth Planets Space. V. 50. P. 723–732. 1998.
- − Le Mouel J.L., Courtillot V. Core motions, electromagnetic core-mantle coupling and variations in the Earth’s rotation: New constranint from geomagnetic secular variation impulses // Phys. Earth Planet. Inter. V. 24. P. 236–241. 1981.
- − Le Mouel J.L., Ducruix J., Duyen C.H. The worldwide character of the 1969–1970 impulse of the secular acceleration rate // Phys. Earth Planet. Inter. V. 28. P. 337–350. 1982.
- − Lesur V., Gillet N., Hammer M.D., Mandea M. Rapid variations of Earth’s core magnetic field // Surveys in Geophysics. V. 43. P. 41–69. 2022. https://doi.org/10.1007/s10712-021-09662-4
- − Lowes F.J. Mean-square values on sphere of spherical harmonic vector field // J. Geophys. Res. V. 71. P. 2179–2179. 1966.
- − Macmillan S. A Geomagnetic Jerk for the Early 1990’s // Earth Planet Sci. Lett. V. 137. P. 189–192. 1996.
- − Madden T., Le Mouel J.L. The recent secular variation and the motions at the core surface // Phil. Trans. R. Soc. Lond. A306. P. 271–280. 1982.
- − Malin S.R.C., Hodder B.M. Was the 1970 jerk of internal or external origin? // Nature. V. 296 P. 726–728. 1982.
- − Mandea M., Holme R., Pais A., Pinhero K., Jackson A., Verbanas G. Geomagnetic jerks: Rapid core field variations and core dynamics // Space Sci.Rev. V. 155. P. 147–175. 2010. https://doi.org/10.1007/s11214-010-9663-x
- − Nevanlinna H., Sucksdorff C. Impulse in global geomagnetic “secular variation”, 1977–1979 // J. Geophys. V. 50. P. 68–69. 1981.
- − Olsen N., Mandea M. Investigation of a secular variation impulse using satellite data: The 2003 geomagnetic jerk // Earth Planet. Lett. V. 255. P. 94–105. 2007.
- − Qamili E., De Santis A., Isac A., Mandea M., Duka B., Simonyan A.H. Geomagnetic jerks as chaotic fluctuations of the Earth’s magnetic field // Geochem. Geophys. Geosyst (G3). V. 14. P. 839–850. 2013. Doi https://doi.org/10.1029/2012GC004398
- − Simonyan A.O., Shahparonyan S.R. Earth’s liquid core motions under the constraint of geomagnetic secular variations of short periods / Proc. 5th Int. Conf. “Problems of Geocosmos”. Ed. A.A. Kovtun et al. St. Petersburg. Russia. P. 319–324. 2004.
- − Soloviev A., Chulliat A., Bogoutdinov S. Detection of secular acceleration pulses from magnetic observatory data // Phys. Earth Planet. Inter. V. 270. P. 128–142. 2017
- − Torta J.M., Pavon-Carraso F.J., Marspal S., Finlay C.C. Evidence for a new geomagnetic jerk in 2014 // Geophys Res. Lett. V. 42. P. 7933–7940. 2015. https://doi.org/10.1002/2015GL065501
- − Voorhies C.V., Nishihama M. Simultaneous solution for core magnetic field and fluid flow beneath an electrically conductive mantle // J. Geophys. Res. V. 99. P. 6685–6693. 1994.
- − Walker G.B., O’Dea P.L. Geomagnetic secular-change impulses. // Eos Trans. AGU. V. 33(6). P. 797–800. 1952.
- − Weber A.M., Roberts E.B. The 1950 world isogonic chart // J. Geophys. Res. V. 56. P. 81–84. 1951.
- − Whaler K.A., Beggan C.D. Derivation and use of core surface flows for forecasting secular variation // J. Geophys. Res. Solid Earth. V. 120. P. 1400–1414. 2015. https://doi.org/10.1002/2014JB011697
- − Whaler K.A., Olsen N., Finlay C.C. Decadal variability in core surface flows deduced from geomagnetic observatory monthly means // Geophys. J. Int. V. 207. P. 228–243. 2016. https://doi.org/10.1093/gji/ggw268
Supplementary files








