Features of the Behavior of SE-Type Radiation during a Substorm
- Authors: Kurazhkovskaya N.A.1, Kline B.I.2
-
Affiliations:
- Borok Geophysical Observatory, Branch of the Schmidt Institute of Physics of the Earth, Russian Academy of Sciences (GO Borok IPE RAS)
- Borok Geophysical Observatory, Branch of the Schmidt Institute of Physics of the Earth, Russian Academy of Sciences (GO Borok IPE RAS)
- Issue: Vol 63, No 2 (2023)
- Pages: 163-173
- Section: Articles
- URL: https://bakhtiniada.ru/0016-7940/article/view/134709
- DOI: https://doi.org/10.31857/S0016794022600521
- EDN: https://elibrary.ru/DLHUVK
- ID: 134709
Cite item
Full Text
Abstract
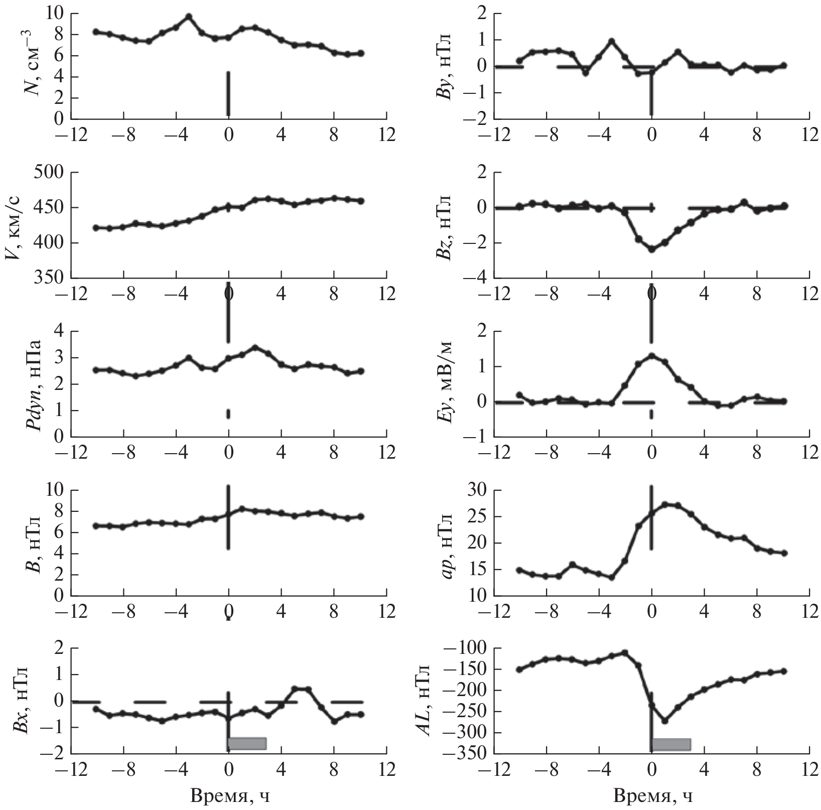
A study was made of simultaneous observations of ultra-low-frequency oscillations in the 0.1–
5.0 Hz frequency range of the serpentine emissions type (Serpentine Emissions, SE) observed at the polar cap
region and disturbances in the auroral zone. The unique analog magnetic records of the Vostok Antarctic
Observatory (corrected geomagnetic coordinates Φ' = –85.41°, Λ' = 69.01°) have been digitized with a high
frequency (20 Hz) and are freely available on the website of the World Data Center for Solar-Terrestrial Physics,
Moscow. For 1966 (November and December), 1968 (March–July), and 1970–1972, 1973 (January–
March) the behavior of “serpentine emissions” was analyzed during the development of 180 isolated substorms
identified by variation in AL indexes. An interruption in the mode of generation of serpentine emissions
in the region of the polar cap was found during the active phase of intense isolated substorms (with a
maximum magnitude of the AE index of ∼500–600 nT). During the expansion phase of the substorms, broadband
noise electromagnetic radiation appears with a sharp leading edge in the PC1–2 range and is also
recorded in the polar cap. Noise radiation has a sharp leading edge and occurs approximately 2 hours after
reorientation of the bz-components of the interplanetary magnetic field (IMF) from north to south. The time
of the interruption of SE coincides with the beginning this radiation and moment of achievement bz-component
of maximum negative IMF values. Interruption of the SE effect is observed against the background of
relatively stable other geoeffective parameters of the solar wind and IMF. The average duration of the interruption
of emissions is ∼3 hours. Indirect confirmation of the impact of substorm activity on the SE generation
regime is found in the coincidence of the patterns of daily and seasonal variation of SE interruption intervals
and the probability of observing substorms. Due to the fact that noise emission occurs during the active
phase of isolated substorms and ∼2 hours after reorientation of the bz-components of the IMF in the solar
wind, there is reason to believe that it is associated with plasma flows directed towards the Earth from the
magnetotail. Apparently, the energy of plasma flows during the active phase of a substorm stimulates the
appearance of noise radiation, thus interrupting SE.
About the authors
N. A. Kurazhkovskaya
Borok Geophysical Observatory, Branch of the Schmidt Institute of Physics of the Earth, Russian Academy of Sciences (GO Borok IPE RAS)
Email: knady@borok.yar.ru
Borok (Yaroslavl oblast), 152742 Russia
B. I. Kline
Borok Geophysical Observatory, Branch of the Schmidt Institute of Physics of the Earth, Russian Academy of Sciences(GO Borok IPE RAS)
Author for correspondence.
Email: knady@borok.yar.ru
Borok (Yaroslavl oblast), 152742 Russia
References
- ‒ Воробьев В.Г., Ягодкина О.И., Антонова Е.Е., Зверев В.Л. Влияние параметров плазмы солнечного ветра на интенсивность изолированных магнитосферных суббурь // Геомагнетизм и аэрономия. Т. 58. № 3. С. 311–323. 2018. https://doi.org/10.7868/S001679401803001X
- ‒ Гульельми А.В., Троицкая В.А. Геомагнитные пульсации и диагностика магнитосферы. М.: Наука, 208 с. 1973.
- – Гульельми А.В., Довбня Б.В. Гидромагнитное излучение межпланетной плазмы // Письма в ЖЭТФ. Т. 18. № 10. С. 601–604. 1973.
- – Гульельми А.В., Довбня Б.В. Наблюдение геомагнитных пульсаций в диапазоне 0–2 Гц с глубокой модуляцией несущей частоты в полярной шапке // Геомагнетизм и аэрономия. Т. 14. № 5. С. 868–870. 1974.
- – Гульельми А.В., Довбня Б.В., Клайн Б.И. Возбуждение геомагнитных пульсаций типа “серпентинная эмиссия” в межпланетной плазме // Доклады Академии наук СССР. Т. 221. № 6. С. 1314‒1317. 1975.
- – Гульельми А.В., Потапов А.С., Довбня Б.В. О происхождении частотной модуляции серпентинной эмиссии // Солнечно-земная физика. Т. 1. № 2. С. 85–90. 2015. https://doi.org/10.12737/9617
- – Довбня Б.В., Зотов О.Д., Клайн Б.И., Куражковская Н.А. Динамика излучения типа SE перед мощными протонными вспышками на Солнце // Геомагнетизм и аэрономия. Т. 34. № 3. С. 188–191. 1994.
- – Довбня Б.В., Клайн Б.И., Гульельми А.В., Потапов А.С. Спектр частотной модуляции серпентиной эмиссии как отражение спектра солнечных колебаний // Солнечно-земная физика. Т. 3. № 1. С. 59–62. 2017. https://doi.org/10.12737/23043
- – Довбня Б.В., Потапов А.С. Исследование частотной модуляции серпентинной эмиссии // Физика Земли. № 5. С. 19–26. 2018. https://doi.org/10.1134/S0002333718050058
- – Клейменова Н.Г., Козырева О.В., Биттерли М., Биттерли Ж. Связь внезапных прекращений геомагнитных пульсации ipcl в каспе с началом суббурь на ночной стороне // Геомагнетизм и аэрономия. Т. 38. № 6. С. 58–65. 1998.
- – Клейменова Н.Г., Козырева О.В., Биттерли Ж., Шотт Ж.-Ж. Геомагнитные пульсации диапазона Pc3–5 на широтах полярного каспа во время SC и их глобальный отклик // Геомагнетизм и аэрономия. Т. 39. № 4. С. 29–38. 1999.
- – Куражковская Н.А., Клайн Б.И., Довбня Б.В. Роль Bx-компоненты в генерации электромагнитного излучения в диапазоне частот 0.01–1.0 Гц во время SC // Геомагнетизм и аэрономия. Т. 37. № 4. С. 151–154. 1997.
- – Куражковская Н.А., Клайн Б.И. Эффект прерывания серпентинной эмиссии (SE) в полярной шапке во время внезапных начал геомагнитных бурь (SSC) // Геомагнетизм и аэрономия. Т. 62. № 5. С. 617–626. 2022. https://doi.org/10.31857/S0016794022040101
- – Пилипенко В.А., Довбня Б.В., Мартинес-Беденко В.А., Добровольский М.Н. Геомагнитные наблюдения на станции Восток советских Антарктических экспедиций: научная проблематика и архив данных // Вестник ОНЗ РАН. Т. 12. NZ4003. 2020. https://doi.org/10.2205/2020NZ000366
- – Потапов А.С., Гульельми А.В., Довбня Б.В. Ультранизкочастотные эмиссии диапазона 0.1–3 Гц в приполярных областях // Солнечно-земная физика. Т. 6. № 3. С. 48–55. 2020. https://doi.org/10.12737/szf-63202006
- – Прист Э.Р. Солнечная магнитогидродинамика. М.: Мир, 592 с. 1985.
- – Пудовкин М.И., Распопов О.М., Клейменова Н.Г. Возмущения электромагнитного поля Земли. Часть II. Короткопериодические колебания геомагнитного поля. Л.: Изд-во ЛГУ, 271 с. 1976.
- ‒ Семенова Н.В., Яхнин А.Г. Резкое изменение резонансной структуры в спектре электромагнитного шума в герцовом диапазоне во время суббури // Геомагнетизм и аэрономия. Т. 54. № 3. С. 341–347. 2014. https://doi.org/10.7868/S0016794014030158
- – Троицкая В.А., Матвеева Э.Т., Калишер А.Л. Связь возбуждения геомагнитных пульсаций типов Pi1 и Pc1 с магнитосферными суббурями // Геомагнетизм и аэрономия. Т. 13. № 4. С. 755–757. 1973.
- – Allen J.H., Abston C.C., Morris L.D. Auroral electrojet magnetic activity indices AE (10) for 1966. World Data Center A for Solar-Terrestrial Physics. Report UAG 37. Boulder, Colorado, 142 pp. 1974.
- – Allen J.H., Abston C.C., Morris L.D. Auroral electrojet magnetic activity indices AE (11) for 1968. World Data Center A for Solar-Terrestrial Physics. Report UAG 29. Boulder, Colorado, 144 pp. 1973.
- – Allen J.H. Auroral electrojet magnetic activity indices AE for 1970. World Data Center A for Solar-Terrestrial Physics. Report UAG 22. Boulder, Colorado, 146 c. 1972.
- – Allen J.H., Abston C.C., Morris L.D. Auroral electrojet magnetic activity indices AE (11) for 1971. World Data Center A for Solar-Terrestrial Physics. Report UAG 39. Boulder, Colorado, 146 pp. 1975.
- – Allen J.H., Abston C.C., Morris L.D. Auroral electrojet magnetic activity indices AE (11) for 1972. World Data Center A for Solar-Terrestrial Physics. Report UAG 45. Boulder, Colorado, 146 pp. 1975.
- – Allen J.H., Abston C.C., Morris L.D. Auroral electrojet magnetic activity indices AE (11) for 1973. World Data Center A for Solar-Terrestrial Physics. Report UAG 47. Boulder, Colorado, 146 pp. 1975.
- – Asheim S. Serpentine emissions in the polar magnetic field. Report 83–38. Institute of Physics, University of Oslo, 8 pp. 1983.
- – Fraser–Smith A.C. ULF/lower-ELF electromagnetic field measurements in the polar caps // Rev. Geophys. Space Phys. V. 20. № 3. P. 497–512. 1982. https://doi.org/10.1029/RG020i003p00497
- – Fu H., Yue C., Zong Q.-G., Zhou X.-Z., Fu S. Statistical characteristics of substorms with different intensity // Journal of Geophysical Research: Space Physics. V. 126. e2021JA029318. 2021. https://doi.org/10.1029/2021JA029318
- – Guglielmi A., Potapov A., Dovbnya B. Five-minute solar oscillations and ion-cyclotron waves in the solar wind // Solar Phys. V. 290. № 10. P. 3023–3032. 2015. https://doi.org/10.1007/s11207-015-0772-2
- ‒ Hsu T.-S., McPherron R.L. Average characteristics of triggered and nontriggered substorms // J. Geophys. Res. V. 109. A07208. 2004. https://doi.org/10.1029/2003JA009933
- – Morris R.J., Cole K.D. “Serpentine emission” at the high latitude Antarctic station, Davis // Planet. Space Sci. V. 35. P. 313–328. 1987. https://doi.org/10.1071/EG986015
- ‒ Parent A., Mann I.R., Rae J. Effects of substorm dynamics on magnetic signatures of the ionospheric Alfven resonator // J. Geophys. Res. V. 115. № A02312. 2010. https://doi.org/10.1029/2009JA014673
- – Russell C.T., McPherron R.L. Semiannual variation of geomagnetic activity // J. Geophys. Res. V. 78. № 1. P. 92‒ 108. 1973. https://doi.org/10.1029/ja078i001p00092
- – Shumilov O., Kasatkina E., Raspopov O., Hansen T., Frank–Kamenetsky A. Sudden-commencement-triggered pulsations at high latitudes and their sources in the magnetosphere // J. Geophys. Res. V. 101. N A8. P. 17.355‒17.363. 1996. https://doi.org/10.1029/96JA00400
- – Tanskanen E.I. A comprehensive high-throughput analysis of substorms observed by IMAGE magnetometer network: Years 1993–2003 examined // J. Geophys. Res. V. 114. A05204. 2009. https://doi.org/10.1029/2008JA013682
Supplementary files









