The Response of the Airglow of the Mesopause Region to Short-Term Changes in Solar Activity
- Authors: Perminov V.I.1, Pertsev N.N.1, Dalin P.A.2,3, Semenov V.A.1, Sukhodoev V.A.1, Medvedeva I.V.1,4, Zheleznov Y.A.5
-
Affiliations:
- A. M. Obukhov Institute of Atmospheric Physics
- Institute of Space Research
- Swedish Institute of Space Physics
- Institute of Solar-Terrestrial Physics
- Russia Institute of Electrophysics and Electroenergetics
- Issue: Vol 63, No 1 (2023)
- Pages: 63-72
- Section: Articles
- URL: https://bakhtiniada.ru/0016-7940/article/view/134699
- DOI: https://doi.org/10.31857/S0016794022060116
- EDN: https://elibrary.ru/ACRJLQ
- ID: 134699
Cite item
Full Text
Abstract
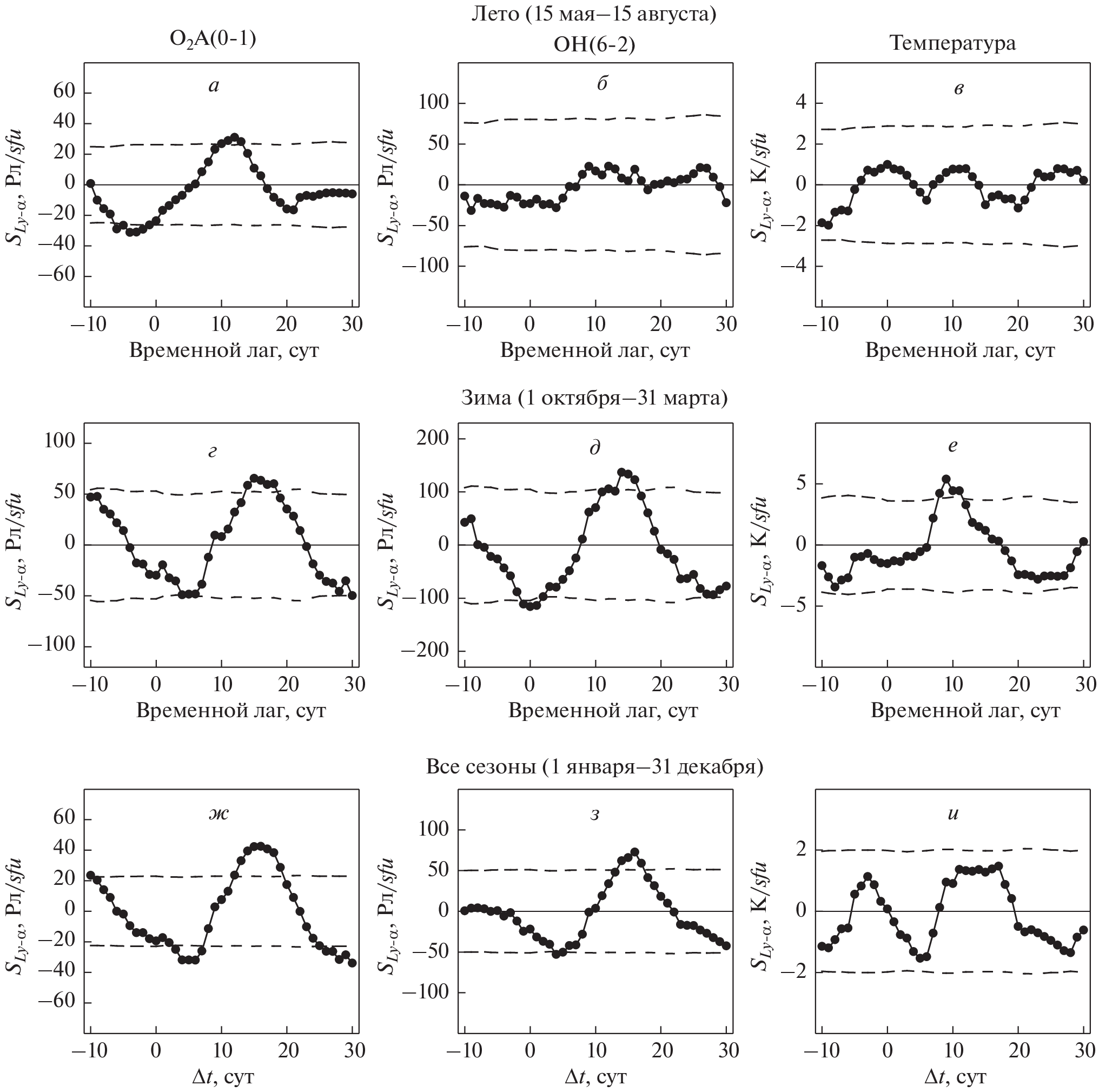
The influence of the 27-day solar oscillation on the temperature and intensity of the airglow of the
mesopause region based on the hourly midnight observations of the О2А(0-1) and ОН(6-2) bands at the
Zvenigorod Scientific Station in 2000−2021 has been studied. It is found that the response to solar activity
changes is observed in all characteristics of the atmospheric emissions both by the yearly and seasonal data.
They are statistically significant for all characteristics of the atmospheric emissions in winter and only for the
О2А(0-1) intensity in summer. The positive response of the molecular oxygen emission is lower in the summer
than in the winter by approximately a factor of 2. It is found that the variations in the atmospheric emission
characteristics are close to antiphase with a 27-day solar oscillation. At the same time, the temperature
of the emitting hydroxyl in winter undergoes oscillations with a shift by a third of the period relative to the
solar variation maximum
About the authors
V. I. Perminov
A. M. Obukhov Institute of Atmospheric Physics
Email: v.perminov@rambler.ru
Moscow, Russia
N. N. Pertsev
A. M. Obukhov Institute of Atmospheric Physics
Email: n.pertsev@bk.ru
Moscow, Russia
P. A. Dalin
Institute of Space Research; Swedish Institute of Space Physics
Email: n.pertsev@bk.ru
Kiruna, Sweden; Moscow, Russia
V. A. Semenov
A. M. Obukhov Institute of Atmospheric Physics
Email: n.pertsev@bk.ru
Moscow, Russia
V. A. Sukhodoev
A. M. Obukhov Institute of Atmospheric Physics
Email: n.pertsev@bk.ru
Moscow, Russia
I. V. Medvedeva
A. M. Obukhov Institute of Atmospheric Physics; Institute of Solar-Terrestrial Physics
Email: n.pertsev@bk.ru
Irkutsk, Russia; Moscow, Russia
Yu. A. Zheleznov
Russia Institute of Electrophysics and Electroenergetics
Author for correspondence.
Email: n.pertsev@bk.ru
St. Peterburg, Russia
References
- − Перминов В.И., Семенов А.И., Медведева И.В., Перцев Н.Н. Изменчивость температуры в области мезопаузы по наблюдениям гидроксильного излучения на средних широтах // Геомагнетизм и аэрономия. Т. 54. № 2. С. 246−256. 2014.
- − Перминов В.И., Перцев Н.Н., Далин П.А., Железнов Ю.А., Суходоев В.А., Орехов М.Д. Сезонные и многолетние изменения интенсивности атмосферного излучения О2(b1Σ) и OH(X2Π) области мезопаузы // Геомагнетизм и аэрономия. Т. 61. № 4. С. 532−543. 2021.
- − Cеменов А.И., Баканас В.В., Перминов В.И., Железнов Ю.А., Хомич В.Ю. Спектр излучения ночной верхней атмосферы Земли в ближней инфракрасной области // Геомагнетизм и аэрономия. Т. 42. № 3. С. 407− 414. 2002.
- − Шефов Н.Н. Некоторые свойства гидроксильного излучения // Полярные сияния и свечение ночного неба. № 13. С. 37−43. 1967.
- − Шефов Н.Н., Семенов А.И., Хомич В.Ю. Излучение верхней атмосферы – индикатор ее структуры и динамики. М.: ГЕОС, 740 с. 2006.
- − Шпынев Б.Г., Ойнац А.В., Лебедев В.П., Черниговская М.А., Орлов И.И., Белинская А.Ю., Грехов О.М. Проявление гравитационных приливов и планетарных волн в долговременных вариациях геофизических параметров // Геомагнетизм и аэрономия. Т. 54. № 4. С. 540–552. 2014.
- − Ярин В.И. Связь гидроксильного излучения с метеорологическими условиями над Якутском // Полярные сияния и свечение ночного неба. № 18. С. 18−20. 1970.
- − Bittner M., Offermann D., Graef H.H. Mesopause temperature variability above a midlatitude station in Europe // J. Geophys. Res. V. 105. № D2. P. 2045−2058. 2000.
- − Brasseur G., Solomon S. Aeronomy of the middle atmosphere. Dordrecht: Springer, 646 p. 2005.
- − Dalin P., Pertsev N., Perminov V. et al. Response of noctilucent cloud brightness to daily solar variations // J. Atmos. Sol.-Terr. Phys. V. 169. P. 83−90. 2018.
- − Dalin P., Perminov V., Pertsev N., Romejko V. Updated long-term trends in mesopause temperature, airglow emissions, and noctilucent clouds // J. Geophys. Res. – Atmos. V. 125. e2019JD0308142020.https://doi.org/10.1029/2019JD030814
- − Dyrland M.E., Sigernes F. An update on the hydroxyl airglow temperature record from the Auroral Station in Adventdalen, Svalbard (1980−2005) // Can. J. Phys. V. 85. P. 143−151. 2007.
- − Gao H., Xu J., Chen G.-M. The responses of the nightglow emissions observed by the TIMED/SABER satellite to solar radiation // J. Geophys. Res. – Space. V. 121. P. 1627–1642. 2016.
- − Gruzdev A.N., Schmidt H., Brasseur G.P. The effect of the solar rotational irradiance variation on the middle and upper atmosphere calculated by a three-dimensional chemistry-climate model // Atmos. Chem. Phys. V. 9. P. 595−619. 2009.
- − Guharay A., Batista P.P., Buriti R.A., Schuch N.J. Signature of the 27-day oscillation in the MLT and its relation with solar irradiance and convection // J. Atmos. Sol.-Terr. Phys. V. 161. P. 1−7. 2017.
- − Fytterer T., Santee M.L., Sinnhuber M., Wang S. The 27 day solar rotational effect on mesospheric nighttime OH and O3 observations induced by geomagnetic activity // J. Geophys. Res. V. 120. P. 7926–7936. 2015.
- − Hall C.M., Aso T., Tsutsumi M., Hoffner J., Sigernes F., Holdsworth D.H. Neutral air temperature at 90 km and 70° N and 78° N // J. Geophys. Res. V. 111. D14105. 2006.https://doi.org/10.1029/2005JD006794
- − Hood L.L., Huang Z., Bougher S.W. Mesospheric effects of solar ultraviolet variations: Further analysis of SME IR ozone and Nimbus 7 SAMS temperature data // J. Geophys. Res. V. 96. № D7. P. 12 989−13 002. 1991.
- − Huang K.M., Liu A.Z., Zhang S.D., Yi F., Huang C.M., Gan Q., Gong Y., Zhang Y.H., Wang R. Observational evidence of qusi-27-day oscillation propagating from the lower atmosphere to the mesosphere over 20° N // Ann. Geophysicae. V. 33. P. 1321−1330. 2015.
- − Köhnke M.C., von Savigny C., Robert C.E. Observation of a 27-day solar signature in noctilucent cloud altitude // Adv. Space Res. V. 61. № 10. P. 2531−2539. 2018.
- − Lainer M., Hocke K., Kämpfer N. Variability of mesospheric water vapor above Bern in relation to the 27-day solar rotation cycle // J. Atmos. Sol.-Terr. Phys. V. 143−144. P. 71−87. 2016.
- − Lednyts’kyy O., von Savigny C., Weber M. Sensitivity of equatorial atomic oxygen in the MLT region to the 11-year and 27-day solar cycles // J. Atmos. Sol.-Terr. Phys. V. 162. P. 136−150. 2017.
- − Lomb N.R. Least-squares frequency analysis of unequally spaced data // Astrophys. Space Sci. V. 39. № 2. P. 447− 462. 1976.
- − Luo Y., Manson A.H., Meek C.E., Igarashi K., Jacobi Ch. Extra long period (20−40 day) oscillations in the mesospheric and lower thermospheric winds: observations in Canada, Europe and Japan, and considerations of possible solar influences // J. Atmos. Sol.-Terr. Phys. V. 63. № 9. P. 835−852. 2001.
- − Pancheva D., Mitchell N., Middleton H., Muller H. Variability of the semidiurnal tide due to fluctuations in solar activity and total ozone // J. Atmos. Sol.-Terr. Phys. V. 65. P. 1−19. 2003.
- − Perminov V.I., Semenov A.I., Medvedeva I.V., Zheleznov Yu.A. Variability of mesopause temperature from the hydroxyl airglow observations over mid-latitudinal sites, Zvenigorod and Tory, Russia // Adv. Space Res. V. 54. № 12. P. 2511–2517. 2014.
- − Pertsev N., Perminov V. Response of the mesopause airglow to solar activity inferred from measurements at Zvenigorod, Russia// Ann. Geophysicae. V. 26. № 5. P. 1049–1056. 2008.
- − Reisin E.R., Scheer J., Dyrland M.E. et al. Traveling planetary wave activity from mesopause region airglow temperatures determined by the Network for the Detection of Mesopheric Change (NDMC) // J. Atmos. Sol.-Terr. Phys. V. 119. P. 71–82. 2014.
- − Robert C.E., von Savigny C., Rahpoe N., Bovensmann H., Burrows J.P., DeLand M.T., Schwartz M.J. First evidence of a 27 day solar signature in noctilucent cloud occurrence frequency // J. Geophys. Res. V. 115. D00I12. 2010.https://doi.org/10.1029/2009JD012359
- − Scargle J.D. Studies in astronomical time series analysis. II. Statistical aspects of spectral analysis of unevenly spaced data // Astrophys. J. V. 263. P. 835–853. 1982.
- − Schmidt H., Brasseur G., Charron M., Manzini E., Giorgetta M.E., Fomichev V., Kinnison D., Marsh D., Walters S. The HAMMONIA chemistry climate model: sensitivity of the mesopause region to the 11-year solar cycle and CO2 doubling // J. Climate. V. 19. P. 3903–3931. 2006.
- − Shapiro A.V., Rozanov E., Shapiro A.I., Wang S., Egorova T., Schmutz W., Peter Th. Signature of the 27-day solar rotation cycle in mesospheric OH and H2O observed by the Aura Microwave Limb Sounder // Atmos. Chem. Phys. V. 12. P. 3181–3188. 2012.
- − Thurairajah B., Thomas G.E., von Savigny C., Snow M., Hervig M.E., Bailey S.M., Randall C.E. Solar-induced 27-day variations of polar mesospheric clouds from the AIM SOFIE and CIPS experiments // J. Atmos. Sol.-Terr. Phys. V. 162. P. 122−135. 2017.
- − Thomas G.E., Thurairajah B., Hervig M.E., von Savigny C., Snow M. Solar induced 27-day variations of mesospheric temperature and water vapor from the AIM SOFIE experiment: drivers of polar mesospheric cloud variability // J. Atmos. Sol.-Terr. Phys. V. 134. P. 56–68. 2015.
- − von Savigny C., Eichmann K.-U., Robert C.E., Burrows J.P., Weber M. Sensitivity of equatorial mesopause temperatures to the 27-day solar cycle // Geophys. Res. Lett. V. 39. L21804. 2012.https://doi.org/10.1029/2012GL053563
- − von Savigny C., Peters D.H.V., Entzian G. Solar 27-day signatures in standard phase height measurements above central Europe // Atmos. Chem. Phys. V. 19. P. 2079−2093. 2019.
- − Wang S., Zhang Q., Millan L., Li K.-F., Yung Y.L., Sander S.P., Livesey N.J., Santee M.L. First evidence of middle atmospheric HO2 response to 27 day solar cycles from satellite observations // Geophys. Res. Lett. V. 42. P. 10 004−10 009. 2015.
Supplementary files





