Минералогия, условия образования и генезис агрегатов самородных и сульфидных минералов Полдневского месторождения демантоида (Средний Урал)
- Авторы: Мурзин В.В.1, Варламов Д.А.2, Карасева Е.С.1, Кисин А.Ю.1
-
Учреждения:
- Институт геологии и геохимии УрО РАН
- Институт экспериментальной минералогии РАН
- Выпуск: Том 65, № 6 (2023)
- Страницы: 528-550
- Раздел: Статьи
- URL: https://bakhtiniada.ru/0016-7770/article/view/231643
- DOI: https://doi.org/10.31857/S0016777023060060
- EDN: https://elibrary.ru/IBHRUT
- ID: 231643
Цитировать
Полный текст
Аннотация
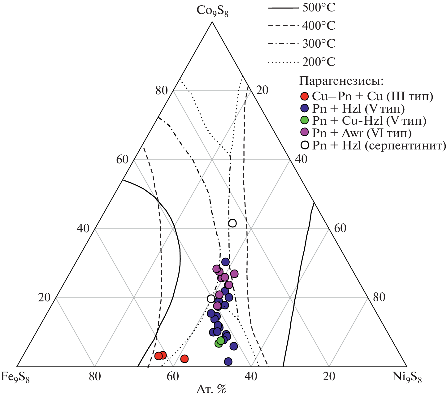
Описаны полиминеральные агрегаты округлых форм (“желваки”), сложенные самородными и сульфидными минералами Cu, Ni, Fe, Ag и других элементов из жильных магнетит-кальцит-хризотиловых пород с ювелирным демантоидом в Коркодинском гипербазитовом массиве. Общей чертой шести выделенных типов самородно-сульфидных желваков, сложенных самородной медью, хизлевудитом, пентландитом, купритом и другими сульфидно-самородными минералами, является сфероидальная форма, что сближает их с отдельными зернами других минералов жильной массы (кальцит, магнетит и др.). В хизлевудит-пентландитовых желваках обнаружены специфические симплектиты ртутистого серебра и никелистой меди в хизлевудите, а также аваруита – в Со-пентландите. Совпадающий набор рудных минералов во вмещающем жильную массу серпентините (самородные медь, ртутистое серебро, хизлевудит, пентландит, аваруит) и желваках из жильного материала свидетельствует об их генетической связи и сопряженности демантоидной минерализации с эволюционирующими процессами серпентинизации.
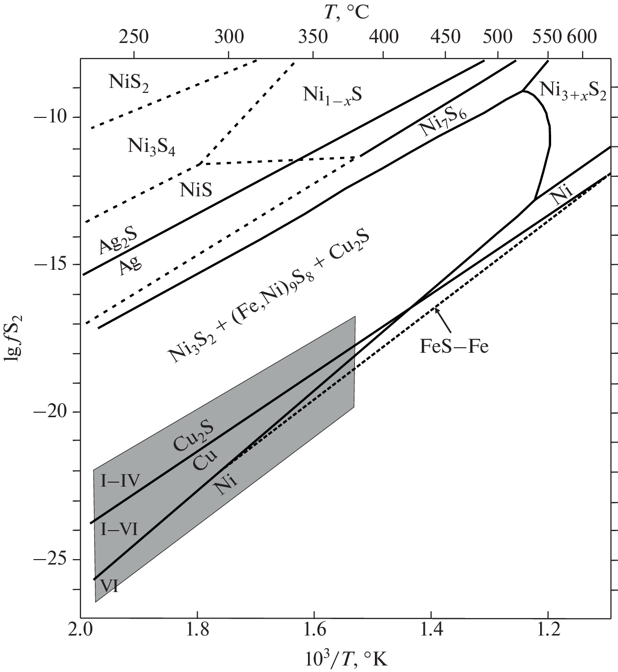
Установлено, что желваки образовались при температуре ниже 380°C в восстановительных условиях при очень низких значениях фугитивности серы (10–17–10–27 бар) и кислорода (10–30 бар при 200°С – 10–21 бар при 350°С). Для хизлевудит-пентландитовых желваков такие условия сохранялись в течение всего времени их формирования, в то время как для других желваков восстановительные условия ранних парагенезисов сменялись окислительными в поздних парагенезисах, что фиксируется замещением самородной меди купритом.
Предполагается, что особенности морфологии и строения самородно-сульфидных желваков, присутствие в них симплектитовых срастаний рудных минералов связано со специфическими условиями, создающимися при декомпрессии корово-мантийной смеси, поднимающейся к поверхности в зоне разлома. Источником металлов был глубинный высокотемпературный флюид, взаимодействующий с основными и ультраосновными породами в восстановительных условиях при низком значении отношения вода–порода (W/R).
Ключевые слова
Об авторах
В. В. Мурзин
Институт геологии и геохимии УрО РАН
Email: murzin@igg.uran.ru
Россия, 620110, Екатеринбург, ул. Академика Вонсовского, 15
Д. А. Варламов
Институт экспериментальной минералогии РАН
Email: dima@iem.ac.ru
Россия, 142432, Черноголовка, ул. Академика Осипьяна, 4
Е. С. Карасева
Институт геологии и геохимии УрО РАН
Email: dima@iem.ac.ru
Россия, 620110, Екатеринбург, ул. Академика Вонсовского, 15
А. Ю. Кисин
Институт геологии и геохимии УрО РАН
Автор, ответственный за переписку.
Email: dima@iem.ac.ru
Россия, 620110, Екатеринбург, ул. Академика Вонсовского, 15
Список литературы
- Асеева А.В., Высоцкий С.В., Карабцов А.А., Александров И.А., Чувашова И.С. Трансформация гранатовых мегакристов под воздействием щелочных базальтовых магм // Тихоокеанская геология. 2014. Т. 33. № 2. С. 53–63.
- Базылев Б. А. Развитие аваруит-содержащей минеральной ассоциации в перидотитах из зоны разлома 15°20 (Атлантический океан) как одно из проявлений океанического метаморфизма // Российский журн. наук о земле. 2000. Т. 2. № 3. С. 279–293.
- Бартон П.Б., Скиннер Б.Дж. Устойчивость сульфидных минералов // Геохимия гидротермальных рудных месторождений. М.: Мир, 1970. С. 211–285.
- Воган Д., Крейг Дж. Химия сульфидных минералов. Москва: Мир, 1981.
- Диаграммы состояния двойных и многокомпонентных систем на основе железа. Справочник. Банных О.А., Будберг П.Б., Алисова С.П. и др. Москва: Металлургия, 1986.
- Кабанова Л.Я. Симплектиты как показатели декомпрессионных условий образования // Наука ЮУрГУ: матер. 68-й науч. конф. Челябинск: Южно-Уральский государственный университет, 2016. С. 275–283.
- Калугина Р.Д., Копанев В.Ф., Стороженко Е.В. и др. Государственная геологическая карта Российской Федерации. Масштаб 1 : 200 000. Издание второе. Серия Среднеуральская. Лист O-41-XXV. Объяснительная записка. М.: Московский филиал ФГБУ “ВСЕГЕИ”, 2017.
- Карасева Е.С., Кисин А.Ю., Мурзин В.В. Полдневское месторождение демантоида (Средний Урал): Геология и минералогия // Литосфера. 2021. № 5. С. 681–696. https://doi.org/10.24930/1681-9004-2021-21-5-683-698
- Кисин А.Ю., Мурзин В.В., Карасева Е.С., Огородников В.Н., Поленов Ю.А., Селезнев С.Г., Озорнин Д.А. Проблемы структурного контроля демантоидной минерализации на Полдневском месторождении // Известия УГГУ. 2020. Вып. 2(58). С. 64–73. https://doi.org/10.21440/2307-2091-2020-2-64-73
- Макеев А.Б. Минералогия альпинотипных ультрабазитов Урала: Наука. СПб.: Наука, 1992.
- Мурзин В.В., Малюгин А.А. Типоморфизм золота зоны гипергенеза (на примере Урала). Свердловск: УНЦ АН СССР, 1987.
- Попов В.А., Колисниченко С.В., Блинов И.А. Никелистая медь и накаурит из голубой жилы в ультрамафитах (Верхнеуфалейский район, Южный Урал) // Четырнадцатые Всероссийские научные чтения памяти ильменского минералога В.О. Полякова. Миасс: Институт минералогии УрО РАН, 2013. С. 13–24.
- Пушкарев Е.В., Аникина Е.В., Гарути Дж., Заккарини Ф. Родистая самородная медь из миароловых дунитов Нижнетагильского массива // Вестник Уральского отделения РМО № 2. Екатеринбург: УГГГА, 2003. С. 78–82.
- Пушкарев Е.В., Аникина Е.В., Гарути Дж., Заккарини Ф. Хром-платиновое оруденение Нижнетагильского типа на Урале: Структурно-вещественная характеристика и проблема генезиса // Литосфера. 2007. № 3. С. 28–65.
- Пыстин А.М., Потапов И.Л., Пыстина Ю.И., Генералов В.И., Онищенко С.А., Филиппов В.Н., Шлома А.А., Терешко В.В. Малосульфидное платинометалльное оруденение на Полярном Урале. Екатеринбург: УрО РАН, 2011.
- Рамдор П. О широко распространенном парагенезисе рудных минералов, возникающих при серпентинизации // Геология рудн. месторождений. 1967. № 2. С. 32–43.
- Сибелев О.С. Декомпрессионные симплектиты в апоэклогитах Гридинской зоны меланжа (Беломорский подвижный пояс) // Геология и полезные ископаемые Карелии. 2010. Т. 13. С. 66–72.
- Хисина Н.Р., Лоренц К.А. Дегидрогенизация как механизм образования ориентированных шпинель-пироксеновых симплектитов и магнетит-гематитовых включений в оливинах земного и внеземного происхождения // Петрология. 2015. Т. 23. № 2. С. 195–208. https://doi.org/10.7868/S0869590315020065
- Adamo I., Bocchio R., Diella V., Pavese A., Vignola P., Prosperi L., Palanza V. Demantoid from Val Malenco, Italy: Review and update // Gems and Gemology. 2009. V. 45. P. 280–287. https://doi.org/10.5741/gems.45.4.280
- Adamo I., Bocchio R., Diella V., Caucia F., Schmetzer K. Demantoid from Balochistan, Pakistan: Gemmological and Mineralogical Characterization // J. Gemmol. 2015. V. 34. P. 428–433. https://doi.org/10.15506/JoG.2014.34.4.344
- Ahadnejad V., Krzemnicki M.S., Hirt A.M. Demantoid from Kerman Province, South-east Iran: A Mineralogical and Gemmological Overview // The J. Gemmology. 2022. V. 38. № 4. P. 329–347. https://doi.org/10.15506/JoG.2022.38.4.329
- Degi J., Abart R., Torok K., Wirth R., Rhede D. et al. Symplectite formation during decompression induced garnet breakdown in lower crustal mafic granulite xenoliths: mechanisms and rates // Contrib. Mineral. Petrol. 2010. № 159. P. 293–314.
- Efimov A.A., Malitch K.N. Magnetite-orthopyroxene symplectites in gabbros of the Urals: a structural track of olivine oxidation // Geology of Ore Deposits. 2012. V. 54. № 7. P. 531–539.
- Phillips W.R., Talantsev A.S. Russian demantoid, czar of the garnet family // Gems and Gemology. 1996. V. 32. № 2. P. 100–111. https://doi.org/10.5741/gems.32.2.100
- Kaneda H., Takenouchi S., Shol T. Stability of pentlandite in the Fe–Ni–Co–S system // Mineralium Deposita. 1986. V. 21. P. 169–180.
- Kissin A.Y., Murzin V.V., Karaseva E.S. “Horsetail” Inclusions in the Ural Demantoids: Growth Formations // Minerals. 2021. V. 11. № 8. P. 825. https://doi.org/10.3390/min11080825
- Lorand J.P. The behaviour of the upper mantle sulfide component during the incipient alteration of “Alpine"-type peridotites as illustrated by the Beni Bousera (Northern Morocco) and Ronda (Southern Spain) ultramafic bodies // Tschermaks Min. Petr. Mitt. 1985. V. 34. P. 183–209.
- Murzin V.V., Chudnenko K.V., Palyanova G.A., Varlamov D.A., Naumov E.A., Pirajno F. Physicochemical model of formation of Cu–Ag–Au–Hg solid solutions and intermetallic alloys in the rodingites of the Zolotaya Gora gold deposit (Urals, Russia) // Ore Geol. Rev. 2018. V. 93. P. 81–97. https://doi.org/10.1016/j.oregeorev.2017.12.018
- Murzin V., Palyanova G., Mayorova T., Beliaeva T. The Gold–Palladium Ozernoe Occurrence (Polar Urals, Russia): Mineralogy, Conditions of Formation, Sources of Ore Matter and Fluid // Minerals. 2022. V. 12, 765. https://doi.org/10.3390/ min12060765
- Rondeau B., Fritsch E., Mocquet B., Lulyac Y. Ambanja (Madagascar) – New source of gem demantoid garnet // InColor. 2009. V. 11. P. 16–20.
- Schwarzenbach E.M., Gazel E., Caddick M.J. Hydrothermal processes in partially serpentinized peridotites from Costa Rica: evidence from native copper and complex sulfide assemblages // Contrib Mineral Petrol. 2014. V. 168:1079.
- Sorokina E.S., Albert R., Botcharnikov R.E., Popov M.P., Häger T., Hofmeister W., Gerdes A. Origin of Uralian andradite (var. demantoid): Constraints from in situ U-Pb LA-ICP-MS dating and trace element analysis // Lithos. 2023. V. 444–445. 1070. https://doi.org/10.1016/j.lithos.2023.107091
Дополнительные файлы













