Экспрессия генов LYST и SLFN12L в лейкоцитах периферической крови у больных саркоидозом легких с хроническим течением заболевания
- Авторы: Малышева И.Е.1, Балан О.В.2, Тихонович Э.Л.1,3
-
Учреждения:
- Федеральный исследовательский центр «Карельский научный центр Российской академии наук»
- Федеральный исследовательский центр «Карельский научный центр Российской академии наук»,
- Республиканская больница им. В.А. Баранова
- Выпуск: Том 60, № 11 (2024)
- Страницы: 107-111
- Раздел: КРАТКИЕ СООБЩЕНИЯ
- URL: https://bakhtiniada.ru/0016-6758/article/view/274213
- DOI: https://doi.org/10.31857/S0016675824110096
- EDN: https://elibrary.ru/wbcmac
- ID: 274213
Цитировать
Аннотация
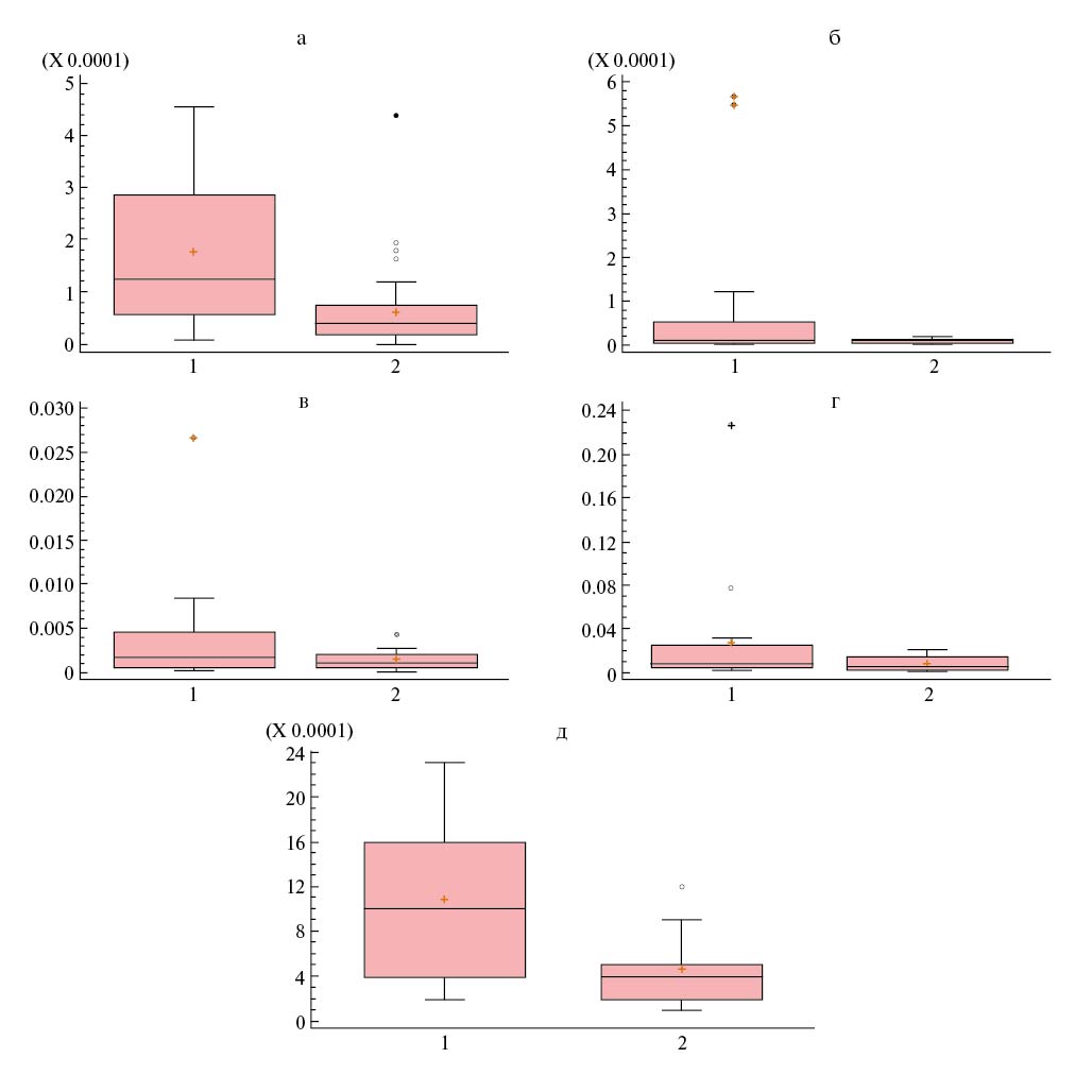
В настоящей работе изучена экспрессия генов LYST и SLFN12L в лейкоцитах периферической крови (ЛПК) у больных саркоидозом легких с хроническим течением заболевания и у здоровых людей (контроль). В исследовании приняли участие 45 человек – 20 больных (без терапии, с хроническим течением саркоидоза легких (II стадия заболевания), средний возраст больных 41,00 ± 12,56 года) и 25 здоровых людей (средний возраст 45,86 ± 2,13 года). Уровень экспрессии генов определяли методом ПЦР в режиме реального времени. Установлено достоверное снижение количества транскриптов гена SLFN12L (р = 0.002) и уменьшение содержания мРНК гена LYST (р = 0.09) в ЛПК больных саркоидозом легких по сравнению с контролем. Дифференциальная экспрессия LYST и SLFN12L может свидетельствовать о вовлечении указанных генов в патогенез данного заболевания, а также о возможном участии в модулировании иммунных реакций при развитии воспалительных процессов при саркоидозе легких.
Полный текст
Об авторах
И. Е. Малышева
Федеральный исследовательский центр «Карельский научный центр Российской академии наук»
Автор, ответственный за переписку.
Email: i.e.malysheva@yandex.ru
Россия, Петрозаводск, 185910
О. В. Балан
Федеральный исследовательский центр «Карельский научный центр Российской академии наук»,
Email: i.e.malysheva@yandex.ru
Россия, Петрозаводск, 185910
Э. Л. Тихонович
Федеральный исследовательский центр «Карельский научный центр Российской академии наук»; Республиканская больница им. В.А. Баранова
Email: i.e.malysheva@yandex.ru
Россия, Петрозаводск, 185910; Петрозаводск, 185019
Список литературы
- Саркоидоз / под ред. А. А. Визеля. М.: Атмосфера, 2010. 30 с.
- Baughman R. P., Culver D. A., Judson M. A. A concise review of pulmonary sarcoidosis // Am. J. Respir. Crit. Care Med. 2011. V. 183. № 5. P. 573–581. doi: 10.1164/rccm.201006-0865CI
- Lynch J. P., Ma Y. L., Koss M. N., White E. S. Pulmonary sarcoidosis // Semin. Respir. Crit. Care Med. 2007. V. 28. № 31. P. 53–74. doi: 10.1055/s-2007-970333
- Patterson K. C., Chen E. S. The pathogenesis of pulmonary sarcoidosis and implications for treatment // CHEST. 2018. V. 153. № 6. P. 1432–1442. doi: 10.1111/j.1398-9995.2005.00778.x
- McDougal K., Fallin M., Moller D. et al. Variation in the lymphotoxin-alpha/tumor necrosis factor locus modifies risk of erythema nodosum in sarcoidosis // J. Invest. Dermat. 2009. V. 129. № 8. P. 1921–1926. doi: 10.1038/jid.2008.456
- Terwiel M., van Moorsel C. H. M. Clinical epidemiology of familial sarcoidosis: A systematic literature review // Respir. Med. 2019. V. 149. P. 36–41.
- Hocˇevar K., Maver A., Kunej T., Peterlin B. Sarcoidosis related novel candidate genes identified by multi-omics integrative analyses // OMICS. 2018. V. 22. № 5. P. 322–331. doi: 10.1089/omi.2018.0027
- Konigsberg I. R., Lin N. W., Liao S. Y. et al. Multi-omic signatures of sarcoidosis and progression in bronchoalveolar lavage cells // bioRxiv. 2023. doi: 10.1101/2023.01.26.525601
- Ji X., Chang B., Naggert J. K., Nishida P. M. Lysosomal trafficking regulator // Adv. Exp. Med. Biol. 2016. V. 854. P. 745–750. doi: 10.1007/978-3-319-17121-0_99
- Lattao R., Rangone H., Llamazares S. et al. Mauve/LYST limits fusion of lysosome-related and promotes centrosomal recruitment of microtubule nucleating proteins // Dev. Cell. 2021. V. 56. № 7. P. 1000–1013. doi: 10.1016/j.devcel.2021.02.019
- Silva L. M., Brenchley L., Moutsopoulos N. M. Primary immunodeficiencies reveal the essential role of tissue neutrophils in periodontitis // Immunol. Rev. 2019. V. 287. № 1. P. 226–235. doi: 10.1111/imr.12724
- Jo U., Pommier Y. S. Structural, molecular, and functional insights into Schlafen proteins // Exp. Mol. Med. 2022. V. 54. № 6. P. 730–738. doi: 10.1038/s12276-022-00794-0
- Puck A., Aigner R., Modak M. et al. Expression and regulation of Schlafen (SLFN) family members in primary human monocytes, monocyte-derived dendritic cells and T-cells // Res. Immunol. 2015. V. 5. P. 23–32.
- Criado E., Sánchez M., Ramírez J., et al. Pulmonary sarcoidosis: Typical and atypical manifestations at high-resolution CT with pathologic correlation // RadioGraphics. 2010. V. 30(6). P. 1567–1586. doi: 10.1148/rg.306105512
- Pinto J., Dias V., Zoller H. et al. Hepcidin messenger RNA expression in human lymphocytes // Immunology. 2010. V. 130 № 2. P. 217–230. doi: 10.1111/j.1365-2567.2009.03226.x
- Zhang F., Sriram S. Identification and characterization of the interferon-β-mediated p53 signal pathway in human peripheral blood mononuclear cells // Immunology. 2009. V. 128. Pt. 2. P. e905–e918. doi: 10.1111/j.1365-2567.2009.03104.x
- Pang Y., Wu L., Tang C. et al. Autophagy-inflammation interplay during infection: Balancing pathogen clearance and host onflammation // Front. Pharmacol. 2022. V. 13. doi: 10.3389/fphar.2022.832750
Дополнительные файлы




