Expression profiles of genes involved in lignan synthesis in developing flax seeds
- Authors: Pushkova Е.N.1, Dvorianinova E.М.1, Povkhova L.P.1, Rozhmina T.А.1,2, Novakovskiy R.O.1, Sigova Е.A.1, Dmitriev А.А.1, Melnikova N.V.1
-
Affiliations:
- Engelhardt Institute of Molecular Biology, Russian Academy of Sciences
- Federal Research Center for Bast Fiber Crops
- Issue: Vol 60, No 7 (2024)
- Pages: 112-117
- Section: КРАТКИЕ СООБЩЕНИЯ
- URL: https://bakhtiniada.ru/0016-6758/article/view/267690
- DOI: https://doi.org/10.31857/S0016675824070113
- EDN: https://elibrary.ru/BGNLFZ
- ID: 267690
Cite item
Full Text
Abstract
Flax seeds are the richest plant source of lignans, which prevent the development of many diseases. Secoisolariciresinol diglucoside (SDG) is the predominant lignan in seeds of the cultivated species Linum usitatissimum. We sequenced transcriptomes of flax seeds at five developmental stages for 8 varieties differing in lignan content grown under three different conditions and evaluated the expression of PLR1 and UGT74S1 genes, which play a key role in SDG synthesis. The co-expression of PLR1 and UGT74S1 genes was detected, and the expression level of these genes was observed to change tens and hundreds of times during seed development, confirming their role in SDG synthesis in flax seeds. Low temperature (16 °С) and abundant watering resulted in a shift of the maximum expression level of both genes to later dates (14th day after flowering) compared to poor watering and high temperature (24 °С) and optimal conditions (20 °С) (7th day after flowering). Meanwhile, the expression level of PLR1 and UGT74S1 genes was lower under high temperature and poor watering than under optimal conditions. No association was found between lignan content in seeds of the studied flax varieties and the expression level of PLR1 and UGT74S1 genes. Our results provide important information on the contribution of genotype and environment to the expression of key genes of SDG synthesis, which is also necessary for the development of optimal approaches to obtain lignan-rich flax seeds.
Keywords
Full Text
Семена льна содержат биологически активные вещества и все шире используются для производства полезных для здоровья продуктов питания и биологически активных добавок [1–5]. Льняное семя – один из богатейших растительных источников лигнанов, препятствующих развитию рака, сердечно-сосудистых заболеваний и сахарного диабета [1, 6–14]. Среди лигнанов в семенах Linum usitatissimum L. преобладает диглюкозид секоизоларицирезинола (secoisolariciresinol diglucoside, SDG) [11]. У разных сортов льна различия в содержании SDG достигают нескольких раз, и данная характеристика может определять потенциал использования сорта для лечебного питания или производства лекарственных средств [11, 15–18]. Известно, что пинорезинол-ларицирезинол редуктазы (pinoresinol-lariciresinol reductases, PLRs) играют ключевую роль в синтезе лигнанов растений [19]. В семенах льна PLR1 сначала катализирует превращение (−)-пинорезинола в (−)-ларицирезинол, а затем в (+)-секоизоларицирезинол [20–23]. Уридин-гликозилтрансферазы (uridine glycosyl transferases, UGTs) катализируют образование гликозидных связей и играют важную роль в синтезе SDG льна, причем наибольший вклад вносит UGT74S1 [24, 25].
Целью работы являлось выявление закономерностей в экспрессии генов UGT74S1 и PLR1 при развитии семян льна в разных условиях для сортов, различающихся по содержанию лигнанов.
В анализе использовались растения восьми сортов/линий льна с различным содержанием лигнанов в семенах: AGT 427, Atalante, AGT 981, Entre-Rios, Raciol, AGT 422, Lola, AGT 1535 (табл. 1). Данные о содержании секоизоларицирезинола в семенах исследованных сортов/линий льна предоставлены Институтом льна (г. Торжок, Россия) и получены совместно с чешской компанией Agritek (не опубликованы). Растения льна выращивали в 15-литровых горшках с почвой в течение месяца в оптимальных условиях (20 °С и полив через день), а затем переносили в три климатические камеры. В первой камере растения выращивали при 16 °С и ежедневном поливе (далее – 16 °С), во второй камере – при 20 °С и поливе через день (далее – 20 °С), в третьей камере – при 24 °С и поливе раз в три дня (далее – 24 °С). Режим освещения: 16 часов – день, 8 часов – ночь. Сбор семян проводили на 3, 7, 14, 21 и 28 день после цветения (ДПЦ, день после раскрытия цветка). Выделение РНК выполняли по методике, описанной в работе L. Wang и соавт. [26], с рядом модификаций. Оценку качества и концентрации РНК выполняли методом гель-электрофореза, а также на приборах 2100 Bioanalyzer (Agilent Technologies, США) и Qubit (Thermo Fischer Scientific, США).
Таблица 1. Содержание секоизоларицирезинола в семенах восьми сортов/линий льна
Сорт/линия | Секоизоларицирезинол, мг/кг |
AGT 427 | 5125 |
Atalante | 4650 |
AGT 981 | 4300 |
Entre-Rios | 3900 |
Raciol | 3900 |
AGT 422 | 3625 |
Lola | 2900 |
AGT 1535 | 2125 |
Для подготовки кДНК-библиотек для высокопроизводительного секвенирования применяли набор QIAseq Stranded mRNA Select Kit (Qiagen, США). Использовали пулы РНК, полученные от пяти одинаковых образцов (один и тот же сорт/линия, условия выращивания, стадия развития). Контроль качества кДНК-библиотек выполняли на 2100 Bioanalyzer (Agilent Technologies) и Qubit (Thermo Fischer Scientific). В результате получены 212 кДНК-библиотек высокого качества (для линии AGT 422 на 21 и 28 ДПЦ при 24 °С и сорта Lola на 28 ДПЦ при 24 °С пригодные для дальнейшего анализа библиотеки получить не удалось). Для 3, 7, 14 и 21 ДПЦ кДНК-библиотеки подготовлены в двухкратной биологической повторности, а для 28 ДПЦ – в однократной повторности. Секвенирование полученных транскриптомных библиотек выполняли на приборе NextSeq 2000 (Illumina, США) с использованием набора NextSeq 2000 P3 Reagents (100 Cycles) (Illumina), прочтения по 51 нуклеотиду с двух сторон. В среднем для каждой кДНК-библиотеки получено 2 млн парноконцевых прочтений. Данные секвенирования депонированы в базе NCBI Sequence Read Archive (SRA), номер биопроекта PRJNA1039849.
Полученные прочтения Illumina обрезали по качеству и фильтровали по длине с использованием Trimmomatic [27]. Для анализа экспрессии генов использовали приложение PPline [28]. Прочтения картировали на геном льна сорта Атлант (GCA_014858635.1 в базе NCBI Genome) [29], после чего определяли число прочтений для каждого гена в расчете на 1 млн прочтений (counts per million, CPM). Для дальнейшего анализа использовали данные CPM для транскриптов H1233_034242 + H1233_034241 (соответствуют UGT74S1 из работы K. Ghose и соавт. [24]) и H1233_076413 (соответствует PLR1 из работы D. Dalisay и соавт. [30]).
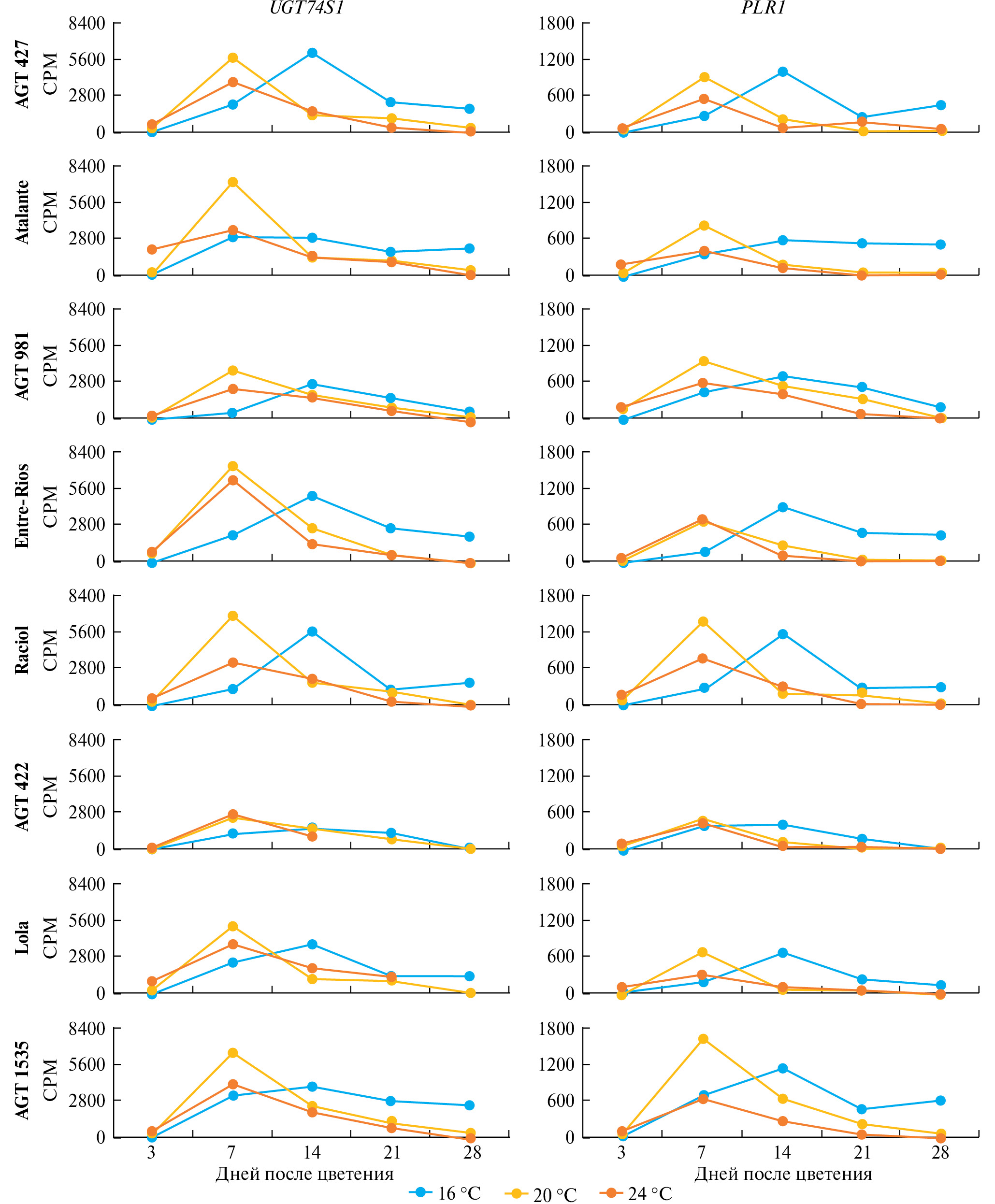
В результате проведенного анализа получили данные об уровне экспрессии генов UGT74S1 и PLR1 в семенах восьми сортов/линий льна, выращенных в трех вариантах температуры и полива, для 3, 7, 14, 21 и 28 ДПЦ (рис. 1). Профили экспрессии UGT74S1 и PLR1 были весьма похожи между собой при одних и тех же условиях выращивания для каждого из генотипов, что может свидетельствовать о коэкспрессии этих генов. О коэкспрессии PLR1 и UGT74S1 уже сообщалось ранее [24, 30], и наши данные согласуются с теми результатами.
Рис. 1. Профили экспрессии генов UGT74S1 и PLR1 при развитии семян льна (3, 7, 14, 21 и 28 ДПЦ) для сортов/линий AGT 427, Atalante, AGT 981, Entre-Rios, Raciol, AGT 422, Lola, AGT 1535, выращенных при 16 °С и избыточном поливе (16 °С), 20 °С и оптимальном поливе (20 °С), 24 °С и недостаточном поливе (24 °С). Отсутствуют данные для AGT 422 для 21 и 28 ДПЦ при 24 °С и для Lola для 28 ДПЦ при 24 °С.
Экспрессия изучаемых генов в целом изменялась сходным образом для разных сортов/линий при развитии семян в одних и тех же условиях. На 3 ДПЦ уровень экспрессии UGT74S1 и PLR1 был низким для всех генотипов в трех условиях выращивания. Для всех исследованных сортов/линий наиболее высокого уровня экспрессия изучаемых генов достигала на 7 ДПЦ в условиях 20 и 24 °С. Затем на 14 ДПЦ в условиях 20 и 24 °С происходило снижение уровня экспрессии, которое продолжалось при дальнейшем развитии семян. В условиях 16 °С уровень экспрессии генов начинал повышаться на 7 ДПЦ и достигал максимального значения на 14 ДПЦ в большинстве сортов/линий (исключение – Atalante для гена UGT74S1, для которого уровень экспрессии был близким на 7 и 14 ДПЦ). На 21 и 28 ДПЦ в условиях 16 °С наблюдалось снижение экспрессии обоих генов, однако имелись различия между генотипами – у одних сортов/линий уровень экспрессии достигал минимума на 28 ДПЦ, а у других все еще оставался достаточно высоким на этой стадии развития.
Таким образом, нами выявлены сходные закономерности в динамике уровня экспрессии UGT74S1 и PLR1 в большинстве исследованных генотипов льна. При развитии семян наблюдалось изменение экспрессии этих генов в десятки и сотни раз, что подтверждает их важность в синтезе SDG в семенах льна. Различные условия температуры и полива влияли на профили экспрессии анализируемых генов – пониженная температура и избыточный полив приводили к сдвигу максимального уровня экспрессии на более поздние сроки (14 ДПЦ) по сравнению с условиями недостаточного полива и повышенной температуры и оптимальными условиями (7 ДПЦ). Кроме того, в условиях 16 °С в большей степени проявлялись межсортовые различия в профилях экспрессии изучаемых генов по сравнению с условиями 20 и 24 °С. Наши результаты согласуются с данными, полученными в работе D. Dalisay и соавт. [30], где также анализировалась динамика изменения экспрессии генов PLR, и для PLR1 наиболее высокий уровень экспрессии в исследуемых условиях был отмечен на 6 ДПЦ. Однако в настоящей работе впервые показано, как контролируемые условия внешней среды отражаются на профилях экспрессии генов UGT74S1 и PLR1, играющих ключевую роль в синтезе SDG льняного семени.
При сравнении уровня экспрессии генов UGT74S1 и PLR1 между условиями 20 и 24 °С на 7 ДПЦ (в этот срок в этих условиях достигался максимальный уровень экспрессии) для большинства генотипов экспрессия была выше в условиях 20 °С. Это может свидетельствовать о том, что повышенная температура и недостаточный полив способны отрицательно влиять на экспрессию генов UGT74S1 и PLR1. Сравнение уровня экспрессии этих генов между условиями 16 и 20 °С провести сложнее, так как профили экспрессии для этих условий существенно различаются. Однако можно отметить значительные межсортовые различия – для одних генотипов максимальный уровень экспрессии в условиях 20 °С превышал таковой в условиях 16 °С, а для других генотипов наблюдалось обратное.
Мы также провели сравнение уровня экспрессии генов UGT74S1 и PLR1 между генотипами с высоким и низким содержанием лигнанов в семени. Так, высокий уровень лигнанов имеют AGT 427 и Atalante, а низкий – Lola и AGT 1535 (табл. 1). Мы не обнаружили существенных различий в максимальном уровне экспрессии изучаемых генов для этих сортов/линий в условиях 20 и 24 °С. В условиях 16 °С сравнение проводить несколько сложнее из-за более выраженных межсортовых различий, однако проследить ассоциации между максимальным уровнем экспрессии и содержанием секоизоларицирезинола в семенах разных генотипов нам также не удалось. В то же время в работе L. Garros и соавт. [17] выявлена положительная корреляция между содержанием SDG и уровнем экспрессии UGT74S1 и PLR1. Однако в том исследовании данные по экспрессии представлены только для одной временной точки, а не в процессе развития семян.
Таким образом, на представленной выборке сортов/линий льна нами показано влияние условий выращивания на экспрессию генов UGT74S1 и PLR1, вовлеченных в синтез лигнанов льняного семени. В то же время нами не обнаружена связь между различным содержанием лигнанов в семенах разных сортов/линий льна и уровнем экспрессии генов UGT74S1 и PLR1. Наша работа расширяет знания о вкладе генотипа и среды в экспрессию ключевых генов синтеза SDG, что в том числе необходимо для разработки оптимальных подходов для выращивания льна с целью получения богатых лигнанами семян.
Работа выполнена при финансовой поддержке Российского научного фонда, грант № 21-16-00111.
Настоящая статья не содержит каких-либо исследований с использованием в качестве объекта животных.
Настоящая статья не содержит каких-либо исследований с участием в качестве объекта людей.
Авторы заявляют, что у них нет конфликта интересов.
About the authors
Е. N. Pushkova
Engelhardt Institute of Molecular Biology, Russian Academy of Sciences
Author for correspondence.
Email: mnv-4529264@yandex.ru
Russian Federation, 119991, Moscow
E. М. Dvorianinova
Engelhardt Institute of Molecular Biology, Russian Academy of Sciences
Email: mnv-4529264@yandex.ru
Russian Federation, 119991, Moscow
L. P. Povkhova
Engelhardt Institute of Molecular Biology, Russian Academy of Sciences
Email: mnv-4529264@yandex.ru
119991, Moscow
T. А. Rozhmina
Engelhardt Institute of Molecular Biology, Russian Academy of Sciences; Federal Research Center for Bast Fiber Crops
Email: mnv-4529264@yandex.ru
Russian Federation, 119991, Moscow; 172002, Torzhok
R. O. Novakovskiy
Engelhardt Institute of Molecular Biology, Russian Academy of Sciences
Email: mnv-4529264@yandex.ru
Russian Federation, 119991, Moscow
Е. A. Sigova
Engelhardt Institute of Molecular Biology, Russian Academy of Sciences
Email: mnv-4529264@yandex.ru
Russian Federation, 119991, Moscow
А. А. Dmitriev
Engelhardt Institute of Molecular Biology, Russian Academy of Sciences
Email: mnv-4529264@yandex.ru
Russian Federation, 119991, Moscow
N. V. Melnikova
Engelhardt Institute of Molecular Biology, Russian Academy of Sciences
Email: mnv-4529264@yandex.ru
Russian Federation, 119991, Moscow
References
- Goyal A., Sharma V., Upadhyay N. et al. Flax and flaxseed oil: An ancient medicine & modern functional food // J. Food Sci. and Technology. 2014. V. 51. P. 1633–1653. https://doi.org/10.1007/s13197-013-1247-9
- Fombuena V., Petrucci R., Dominici F. et al. Maleinized linseed oil as epoxy resin hardener for composites with high bio content obtained from linen byproducts // Polymers. 2019. V. 11. P. https://doi.org/10.3390/polym11020301
- Corino C., Rossi R., Cannata S. et al. Effect of dietary linseed on the nutritional value and quality of pork and pork products: Systematic review and meta-analysis // Meat Science. 2014. V. 98. P. 679–688. https://doi.org/10.1016/j.meatsci.2014.06.041
- Singh K.K., Mridula D., Rehal J. et al. Flaxseed: A potential source of food, feed and fiber // Crit. Rev. in Food Sci. and Nutrition. 2011. V. 51. https://doi.org/10.1080/10408390903537241
- Akter Y., Junaid M., Afrose S.S. et al. A comprehensive review on Linum usitatissimum medicinal plant: Its phytochemistry, pharmacology, and ethnomedicinal uses // Mini Rev. in Med. Chemistry. 2021. V. 21. P. 2801–2834. https://doi.org/10.2174/1389557521666210203153436
- Imran M., Ahmad N., Anjum F.M. et al. Potential protective properties of flax lignan secoisolariciresinol diglucoside // Nutrition J. 2015. V. 14. P. 71. https://doi.org/10.1186/s12937-015-0059-3
- Parikh M., Netticadan T., Pierce G.N. Flaxseed: Its bioactive components and their cardiovascular benefits // Am. J. of Physiology. Heart and Circulatory Physiology. 2018. V. 314. P. H146–H159. https://doi.org/10.1152/ajpheart.00400.2017
- Kezimana P., Dmitriev A.A., Kudryavtseva A.V. et al. Secoisolariciresinol diglucoside of flaxseed and its metabolites: Biosynthesis and potential for nutraceuticals // Front. in Genetics. 2018. V. 9. https://doi.org/10.3389/fgene.2018.00641
- Mali A.V., Padhye S.B., Anant S. et al. Anticancer and antimetastatic potential of enterolactone: Clinical, preclinical and mechanistic perspectives // Europ. J. Pharmacology. 2019. V. 852. P. 107–124. https://doi.org/10.1016/j.ejphar.2019.02.022
- Cullis C.A. Genetics and Genomics of Linum. Cham, Switzerland: Springer Int. Publ., 2019. 270 р.
- Muir A.D., Westcott N.D. Flax: The genus Linum. Boca Raton, FL, USA: CRC Press, 2003. 320 р.
- Locke A., Schneiderhan J., Zick S.M. Diets for health: goals and guidelines // Am, Family Physician. 2018. V. 97. P. 721–728.
- Tse T.J., Guo Y., Shim Y.Y. et al. Availability of bioactive flax lignan from foods and supplements // Crit. Rev. Food Sci. Nutr. 2023. V. 63. P. 9843–9858. https://doi.org/10.1080/10408398.2022.2072807
- Chhillar H., Chopra P., Ashfaq M.A. Lignans from linseed (Linum usitatissimum L.) and its allied species: Retrospect, introspect and prospect // Crit. Rev. Food Sci. Nutr. 2021. V. 61. P. 2719–2741. https://doi.org/10.1080/10408398.2020.1784840
- Johnsson P., Kamal-Eldin A., Lundgren L.N. et al. HPLC method for analysis of secoisolariciresinol diglucoside in flaxseeds // J. Agricultural and Food Chemistry. 2000. V. 48. P. 5216–5219. https://doi.org/10.1021/jf0005871
- Ezzat S.M., Shouman S.A., Elkhoely A. et al. Anticancer potentiality of lignan rich fraction of six flaxseed cultivars // Sci. Reports. 2018. V. 8. P. 544. https://doi.org/10.1038/s41598-017-18944-0
- Garros L., Drouet S., Corbin C. et al. Insight into the influence of cultivar type, cultivation year, and site on the lignans and related phenolic profiles, and the health-promoting antioxidant potential of flax (Linum usitatissimum L.) seeds // Molecules. 2018. V. 23. https://doi.org/10.3390/molecules23102636
- Diederichsen A., Fu Y.-B. Flax genetic diversity as the raw material for future success // Genus. 2008. V. 32. P. 33.
- Markulin L., Corbin C., Renouard S. et al. Pinoresinol-lariciresinol reductases, key to the lignan synthesis in plants // Planta. 2019. V. 249. P. 1695–1714. https://doi.org/10.1007/s00425-019-03137-y
- Hemmati S., von Heimendahl C.B., Klaes M. et al. Pinoresinol-lariciresinol reductases with opposite enantiospecificity determine the enantiomeric composition of lignans in the different organs of Linum usitatissimum L. // Planta Medica. 2010. V. 76. P. 928–934. https://doi.org/10.1055/s-0030-1250036
- Hano C., Martin I., Fliniaux O. et al. Pinoresinol-lariciresinol reductase gene expression and secoisolariciresinol diglucoside accumulation in developing flax (Linum usitatissimum) seeds // Planta. 2006. V. 224. P. 1291–1301. https://doi.org/10.1007/s00425-006-0308-y
- Von Heimendahl C.B., Schafer K.M., Eklund P. et al. Pinoresinol-lariciresinol reductases with different stereospecificity from Linum album and Linum usitatissimum // Phytochemistry. 2005. V. 66. P. 1254–1263. https://doi.org/10.1016/j.phytochem.2005.04.026
- Hemmati S., Schmidt T.J., Fuss E. (+)-Pinoresinol/(−)-lariciresinol reductase from Linum perenne Himmelszelt involved in the biosynthesis of justicidin B // FEBS Letters. 2007. V. 581. P. 603–610. https://doi.org/10.1016/j.febslet.2007.01.018
- Ghose K., Selvaraj K., McCallum J. et al. Identification and functional characterization of a flax UDP-glycosyltransferase glucosylating secoisolariciresinol (SECO) into secoisolariciresinol monoglucoside (SMG) and diglucoside (SDG) // BMC Plant Biology. 2014. V. 14. https://doi.org/10.1186/1471-2229-14-82
- Fofana B., Ghose K., McCallum J. et al. UGT74S1 is the key player in controlling secoisolariciresinol diglucoside (SDG) formation in flax // BMC Plant Biology. 2017. V. 17. P. 35. https://doi.org/10.1186/s12870-017-0982-x
- Wang L., Stegemann J.P. Extraction of high quality RNA from polysaccharide matrices using cetyltrimethylammonium bromide // Biomaterials. 2010. V. 31. P. 1612–1618. https://doi.org/10.1016/j.biomaterials.2009.11.024
- Bolger A.M., Lohse M., Usadel B. Trimmomatic: A flexible trimmer for Illumina sequence data // Bioinformatics. 2014. V. 30. P. 2114–2120. https://doi.org/10.1093/bioinformatics/btu170
- Krasnov G.S., Dmitriev A.A., Kudryavtseva A.V. et al. PPLine: An automated pipeline for SNP, SAP, and splice variant detection in the context of proteogenomics // J. of Proteome Res. 2015. V. 14. P. 3729–3737. https://doi.org/10.1021/acs.jproteome.5b00490
- Dmitriev A.A., Pushkova E.N., Novakovskiy R.O. et al. Genome sequencing of fiber flax cultivar Atlant using Oxford Nanopore and Illumina platforms // Front, Genetics. 2020. V. 11. https://doi.org/10.3389/fgene.2020.590282
- Dalisay D.S., Kim K.W., Lee C. et al. Dirigent protein-mediated lignan and cyanogenic glucoside formation in flax seed: Integrated omics and MALDI mass spectrometry imaging // J, Nat, Products. 2015. V. 78. P. 1231–1242. https://doi.org/10.1021/acs.jnatprod.5b00023
Supplementary files



