Experimental Evaluation of the Possibility to Detect Cross-Contaminated DNA Samples Based on Genetic Data
- Autores: Feliz N.V.1, Yudin S.M.1, Keskinov A.A.1, Yudin V.S.1, Snigir E.A.1, Mkrtchian A.A.1, Akhmerova Y.N.1, Kazakova P.G.1, Shpakova T.A.1, Erokhina M.V.1, Maralova E.D.1, Konureeva K.D.1, Grebnev P.A.1, Mitrofanov S.I.1, Grammatikati K.S.1, Skvortsova V.I.2
-
Afiliações:
- Federal State Budgetary Insntitution “Centre for Strategic Planning and Management of Biomedical Health Risks” of the Federal Medical Biological Agency
- The Federal Medical Biological Agency
- Edição: Volume 59, Nº 7 (2023)
- Páginas: 828-838
- Seção: МАТЕМАТИЧЕСКИЕ МОДЕЛИ И МЕТОДЫ
- URL: https://bakhtiniada.ru/0016-6758/article/view/134621
- DOI: https://doi.org/10.31857/S0016675823060061
- EDN: https://elibrary.ru/SSDAUO
- ID: 134621
Citar
Texto integral
Resumo
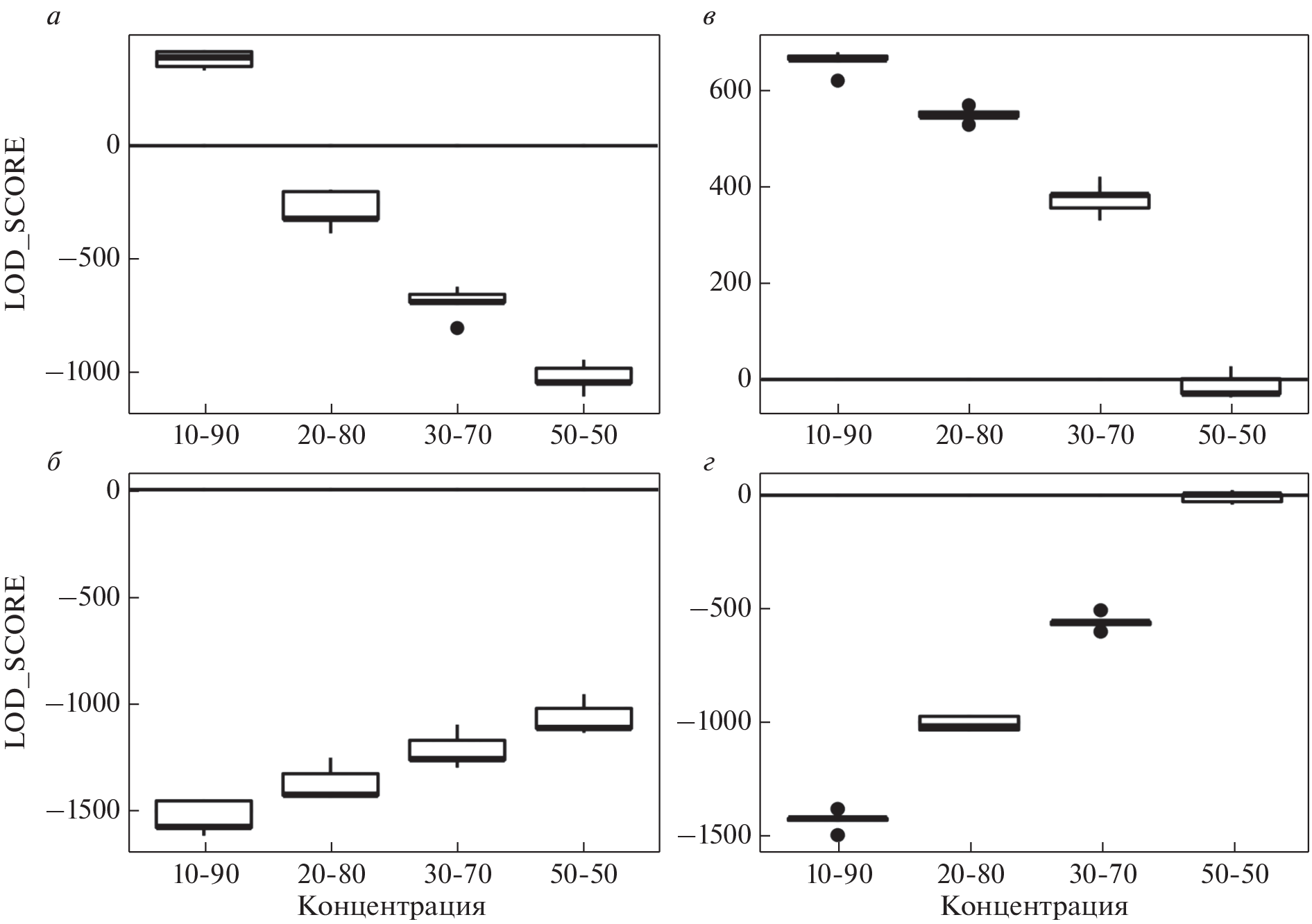
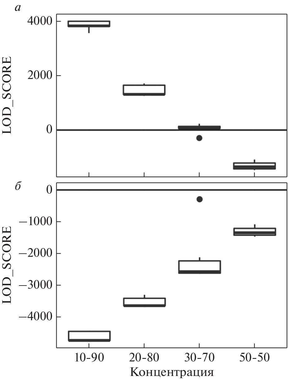
The problems of cross-contamination and swap samples are extremely relevant during large-scale genetic studies. In this study several approaches of detecting cross-contaminated DNA samples were checked: the ratio of reads per reference and alternative allele (allele ratio, AR), the amount of heterozygos to homozygous variants ratio, the CallRate value for the DNA microarrays data, the Picard CrosscheckFingerprints (CrossCheck) program. Contaminated samples (mixtures) were created by mixing ordinary “pure” DNA samples in different ratios. Samples’ quality parameters were analyzed after whole genome sequencing and genotyping with the Illumina microarray BeadArray technology CoreExome (CE) DNA microarray. It has been experimentally established that all of these approaches can be used to detect genotyping errors associated with sample contamination.
Palavras-chave
Sobre autores
N. Feliz
Federal State Budgetary Insntitution “Centre for Strategic Planning and Management of Biomedical Health Risks”of the Federal Medical Biological Agency
Autor responsável pela correspondência
Email: feliz08nv@gmail.com
Russia, 119121, Moscow
S. Yudin
Federal State Budgetary Insntitution “Centre for Strategic Planning and Management of Biomedical Health Risks”of the Federal Medical Biological Agency
Email: feliz08nv@gmail.com
Russia, 119121, Moscow
A. Keskinov
Federal State Budgetary Insntitution “Centre for Strategic Planning and Management of Biomedical Health Risks”of the Federal Medical Biological Agency
Email: feliz08nv@gmail.com
Russia, 119121, Moscow
V. Yudin
Federal State Budgetary Insntitution “Centre for Strategic Planning and Management of Biomedical Health Risks”of the Federal Medical Biological Agency
Email: feliz08nv@gmail.com
Russia, 119121, Moscow
E. Snigir
Federal State Budgetary Insntitution “Centre for Strategic Planning and Management of Biomedical Health Risks”of the Federal Medical Biological Agency
Email: feliz08nv@gmail.com
Russia, 119121, Moscow
A. Mkrtchian
Federal State Budgetary Insntitution “Centre for Strategic Planning and Management of Biomedical Health Risks”of the Federal Medical Biological Agency
Email: feliz08nv@gmail.com
Russia, 119121, Moscow
Yu. Akhmerova
Federal State Budgetary Insntitution “Centre for Strategic Planning and Management of Biomedical Health Risks”of the Federal Medical Biological Agency
Email: feliz08nv@gmail.com
Russia, 119121, Moscow
P. Kazakova
Federal State Budgetary Insntitution “Centre for Strategic Planning and Management of Biomedical Health Risks”of the Federal Medical Biological Agency
Email: feliz08nv@gmail.com
Russia, 119121, Moscow
T. Shpakova
Federal State Budgetary Insntitution “Centre for Strategic Planning and Management of Biomedical Health Risks”of the Federal Medical Biological Agency
Email: feliz08nv@gmail.com
Russia, 119121, Moscow
M. Erokhina
Federal State Budgetary Insntitution “Centre for Strategic Planning and Management of Biomedical Health Risks”of the Federal Medical Biological Agency
Email: feliz08nv@gmail.com
Russia, 119121, Moscow
E. Maralova
Federal State Budgetary Insntitution “Centre for Strategic Planning and Management of Biomedical Health Risks”of the Federal Medical Biological Agency
Email: feliz08nv@gmail.com
Russia, 119121, Moscow
K. Konureeva
Federal State Budgetary Insntitution “Centre for Strategic Planning and Management of Biomedical Health Risks”of the Federal Medical Biological Agency
Email: feliz08nv@gmail.com
Russia, 119121, Moscow
P. Grebnev
Federal State Budgetary Insntitution “Centre for Strategic Planning and Management of Biomedical Health Risks”of the Federal Medical Biological Agency
Email: feliz08nv@gmail.com
Russia, 119121, Moscow
S. Mitrofanov
Federal State Budgetary Insntitution “Centre for Strategic Planning and Management of Biomedical Health Risks”of the Federal Medical Biological Agency
Email: feliz08nv@gmail.com
Russia, 119121, Moscow
K. Grammatikati
Federal State Budgetary Insntitution “Centre for Strategic Planning and Management of Biomedical Health Risks”of the Federal Medical Biological Agency
Email: feliz08nv@gmail.com
Russia, 119121, Moscow
V. Skvortsova
The Federal Medical Biological Agency
Email: feliz08nv@gmail.com
Russia, 123182, Moscow
Bibliografia
- Dallavilla T., Marceddu G., Casadei A. et al. A fast, reliable and easy method to detect within-species DNA contamination // Acta Bio-Medica Atenei Parm. 2020. V. 91. № 13-S. https://doi.org/10.23750/abm.v91i13-S.10531
- Wang J., Raskin L., Samuels D.C. et al. Genome measures used for quality control are dependent on gene function and ancestry // Bioinformatics. 2015. V. 31. № 3. P. 318–323. https://doi.org/10.1093/bioinformatics/btu668
- Javed N., Farjoun Y., Fennell T.J. et al. Detecting sample swaps in diverse NGS data types using linkage disequilibrium // Nat. Commun.2020. V. 11. № 1. P. 3697. https://doi.org/10.1038/s41467-020-17453-5
- Miller N.A., Farrow E.G., Gibson M. et al. A 26-hour system of highly sensitive whole genome sequencing for emergency management of genetic diseases // Genome Med. 2015. V. 7. № 1. P. 100. https://doi.org/10.1186/s13073-015-0221-8
- Kim S., Scheffler K., Halpern A.L. et al. Strelka2: Fast and accurate calling of germline and somatic variants // Nat. Methods. 2018. V. 15. № 8. P. 591–594. https://doi.org/10.1038/s41592-018-0051-x
- Danecek P., Bonfield J.K., Liddle J. et al. Twelve years of SAMtools and BCFtools // GigaScience. 2021. V. 10. № 2. https://doi.org/10.1093/gigascience/giab008
- Zhao H., Sun Z., Wang J. et al. CrossMap: A versatile tool for coordinate conversion between genome assemblies // Bioinforma. Oxf. Engl. 2014. V. 30. № 7. P. 1006–1007. https://doi.org/10.1093/bioinformatics/btt730
Arquivos suplementares








