Elevated Level of Blood Lysosphingolipids in Patients with Schizophrenia
- Authors: Kopytova A.E.1,2, Neznanov N.G.1,3, Zalutskaya N.M.3, Zakharova E.Y.4, Palchikova E.I.3, Baydakova G.V.4, Manakhov A.D.5,6,7, Volkova E.V.1, Andreeva T.V.5,6,7, Basharova K.S.2, Bezrukova A.I.2, Usenko T.S.1,2, Pchelina S.N.1,2
-
Affiliations:
- Pavlov First Saint-Petersburg State Medical University
- Konstantinov Petersburg Nuclear Physics Institute of National Research Centre “Kurchatov Institute”
- Bekhterev National Medical Research Center Psychiatry and Neurology
- Research Center for Medical Genetics
- Vavilov Institute of General Genetics Russian Academy of Sciences
- Center of Genetics and Genetic Technologies, Lomonosov Moscow State University
- Sirius University of Science and Technology
- Issue: Vol 59, No 6 (2023)
- Pages: 670-675
- Section: ГЕНЕТИКА ЧЕЛОВЕКА
- URL: https://bakhtiniada.ru/0016-6758/article/view/134607
- DOI: https://doi.org/10.31857/S0016675823060085
- EDN: https://elibrary.ru/SSPQEG
- ID: 134607
Cite item
Full Text
Abstract
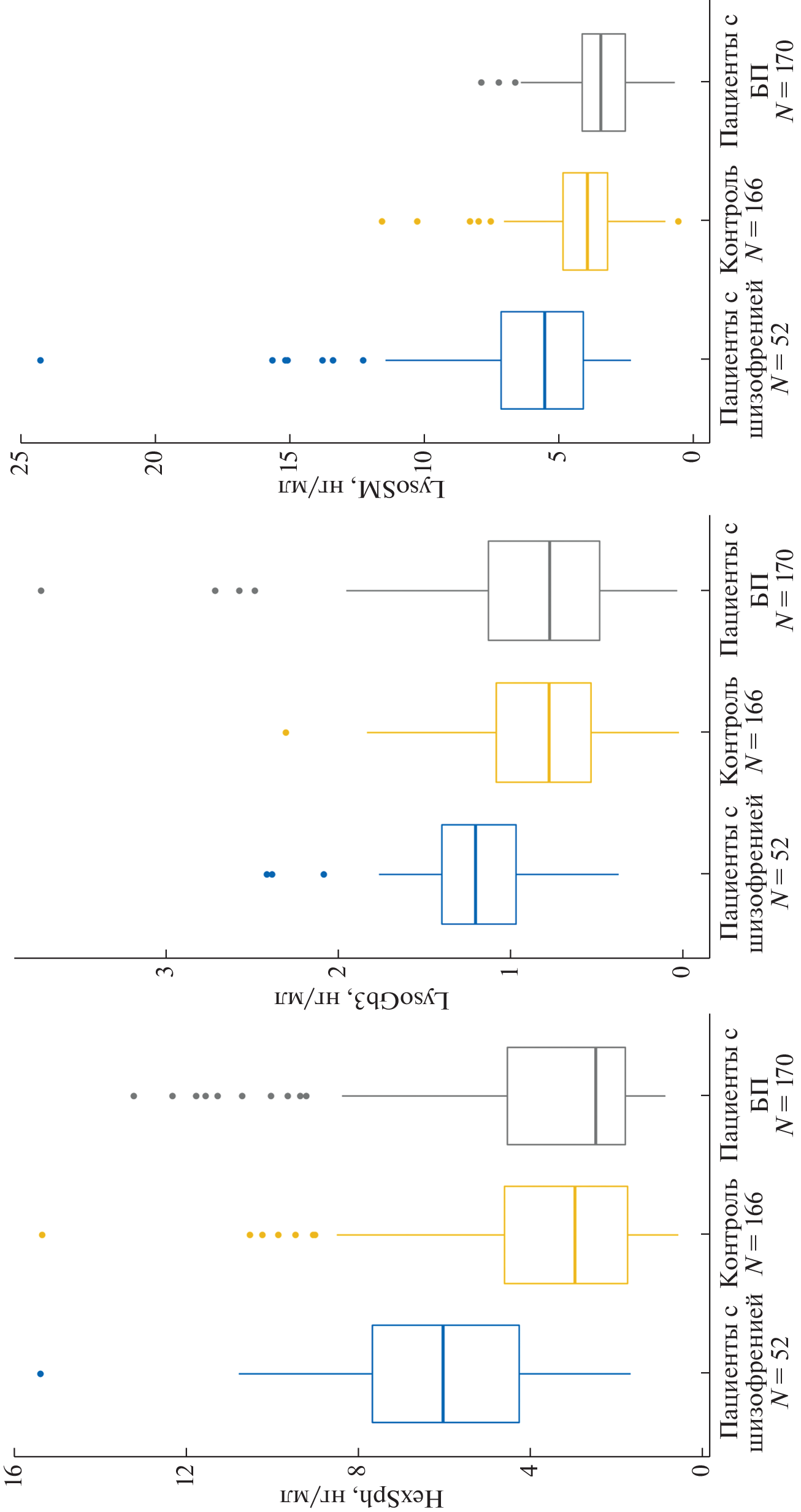
Schizophrenia is a mental disorder with a prevalence of 0.7–1% of the general population and is characterized by impaired dopamine transmission in neurons. Recent data have shown that lysosomal storage disorders (LSD), characterized by a decrease in enzyme activity and a corresponding accumulation of substrate in lysosomes due to mutations in lysosomal genes, can manifest a wide range of clinical symptoms including psychosis, affective disorders, early onset dementia and schizophrenia. The purpose of this study was to assess the level of lysosphingolipids in patients with schizophrenia, Parkinson’s disease (PD) and control. The study included 52 patients with schizophrenia, 170 patients with PD patients and 166 neurologically healthy individuals (control group). Concentration of lysosomal substrates (hexosylsphingosine (HexSph), globotriaosylsphingosine (LysoGb3), lysosphingomyelin (LysoSM)) were measured by high-liquid chromatography with tandem mass spectrometry (HPLC-MS/MS) in blood. An increase in the concentration of LysoSM, LysoGb3, HexSph was detected in patients with schizophrenia compared to control (p < 0.0001, p < 0.0001, p < 0.0001, respectively). Our results confirm a violation of the lysosphingolipid composition of the blood in patients with schizophrenia.
Keywords
About the authors
A. E. Kopytova
Pavlov First Saint-Petersburg State Medical University; Konstantinov Petersburg Nuclear Physics Institute of National Research Centre “Kurchatov Institute”
Author for correspondence.
Email: kopytovaalena@mail.ru
Russia, 197022, Saint-Petersburg; Russia, 188300, Saint-Petersburg, Gatchina
N. G. Neznanov
Pavlov First Saint-Petersburg State Medical University; Bekhterev National Medical Research Center Psychiatry and Neurology
Email: kopytovaalena@mail.ru
Russia, 197022, Saint-Petersburg; Russia, 192019, Saint-Petersburg
N. M. Zalutskaya
Bekhterev National Medical Research Center Psychiatry and Neurology
Email: kopytovaalena@mail.ru
Russia, 192019, Saint-Petersburg
E. Yu. Zakharova
Research Center for Medical Genetics
Email: kopytovaalena@mail.ru
Russia, 115478, Moscow
E. I. Palchikova
Bekhterev National Medical Research Center Psychiatry and Neurology
Email: kopytovaalena@mail.ru
Russia, 192019, Saint-Petersburg
G. V. Baydakova
Research Center for Medical Genetics
Email: kopytovaalena@mail.ru
Russia, 115478, Moscow
A. D. Manakhov
Vavilov Institute of General Genetics Russian Academy of Sciences; Center of Genetics and Genetic Technologies, Lomonosov Moscow State University; Sirius University of Science and Technology
Email: kopytovaalena@mail.ru
Russia, 119991, Moscow; Russia, 119234, Moscow; Russia, 354340, Krasnodarski Krai, Sirius
E. V. Volkova
Pavlov First Saint-Petersburg State Medical University
Email: kopytovaalena@mail.ru
Russia, 197022, Saint-Petersburg
T. V. Andreeva
Vavilov Institute of General Genetics Russian Academy of Sciences; Center of Genetics and Genetic Technologies, Lomonosov Moscow State University; Sirius University of Science and Technology
Email: kopytovaalena@mail.ru
Russia, 119991, Moscow; Russia, 119234, Moscow; Russia, 354340, Krasnodarski Krai, Sirius
K. S. Basharova
Konstantinov Petersburg Nuclear Physics Institute of National Research Centre “Kurchatov Institute”
Email: kopytovaalena@mail.ru
Russia, 188300, Saint-Petersburg, Gatchina
A. I. Bezrukova
Konstantinov Petersburg Nuclear Physics Institute of National Research Centre “Kurchatov Institute”
Email: kopytovaalena@mail.ru
Russia, 188300, Saint-Petersburg, Gatchina
T. S. Usenko
Pavlov First Saint-Petersburg State Medical University; Konstantinov Petersburg Nuclear Physics Institute of National Research Centre “Kurchatov Institute”
Email: kopytovaalena@mail.ru
Russia, 197022, Saint-Petersburg; Russia, 188300, Saint-Petersburg, Gatchina
S. N. Pchelina
Pavlov First Saint-Petersburg State Medical University; Konstantinov Petersburg Nuclear Physics Institute of National Research Centre “Kurchatov Institute”
Email: kopytovaalena@mail.ru
Russia, 197022, Saint-Petersburg; Russia, 188300, Saint-Petersburg, Gatchina
References
- Howrigan D.P., Rose S.A., Samocha K.E. et al. Exome sequencing in schizophrenia-affected parent–offspring trios reveals risk conferred by protein-coding de novo mutations // Nat. Neurosci. 2020. V. 23. P. 185–193. https://doi.org/10.1038/s41593-019-0564-3
- Oh J., Shen G., Nan G. et al. Comorbid schizophrenia and Parkinson’s disease: A case series and brief review // Neurol. Asia. 2017. V. 22. P. 139–142.
- Papanastasiou E. The prevalence and mechanisms of metabolic syndrome in schizophrenia: a review // Theor. Adv. Psychopharmacol. 2013. V. 3. № 1. P. 33–51. https://doi.org/10.1177/2045125312464385
- Castillo R.I., Rojo L.E., Henriquez-Henriquez M. et al. From molecules to the clinic: Linking schizophrenia and metabolic syndrome through sphingolipids metabolism // Front. Neurosci. 2016. V. 10. P. 488–503. https://doi.org/10.3389/fnins.2016.00488
- Pardiñas A.F., Holmans P., Pocklington A.J. et al. Common schizophrenia alleles are enriched in mutation-intolerant genes and in regions under strong background selection // Nat. Genet. 2018. V. 50. P. 381–389.
- Trakadis Y.J., Fulginiti V., Walterfang M. Inborn errors of metabolism associated with psychosis: Literature review and case-control study using exome data from 5090 adult individuals // J. Inherit. Metab. Dis. 2018. V. 41. № 4. P. 613–621. https://doi.org/10.1007/s10545-017-0023-9
- Emelyanov A.K., Usenko T.S., Tesson C. et al. Mutation analysis of Parkinson’s disease genes in a Russian data set // Neurobiol. Aging. 2018. V. 71. P. 267.e7–267.e10. https://doi.org/10.1016/j.neurobiolaging.2018.06.027
- Polo G., Burlina A.P., Ranieri E. et al. Plasma and dried blood spot lysosphingolipids for the diagnosis of different sphingolipidoses: a comparative study // Clin. Chem. Lab. Med. 2019. V. 57. № 12. P. 1863–1874.
- Czubowicz K., Jęśko H., Wencel P. et al. The role of ceramide and sphingosine-1-phosphate in Alzheimer’s disease and other neurodegenerative disorders // Mol. Neurobiol. 2019. V. 56. P. 5436–5455.
- Tkachev A.I., Stekolshchikova E.A., Morozova A.Y. et al. Ceramides: Shared lipid biomarkers of cardiovascular disease and schizophrenia // Consort. Psychiatr. 2021. V. 2. P. 35–43. https://doi.org/10.17816/CP101
- Cox T.M. Lysosomal diseases and neuropsychiatry: Opportunities to rebalance the mind // Front. Mol. Biosci. 2020. V. 7. P. 177–185. https://doi.org/10.3389/fmolb.2020.00177
- Sidransky E., Nalls M.A., Aasly J.O. et al. Multi-center analysis of glucocerebrosidase mutations in Parkinson disease // N. Engl. J. Med. 2009. V. 361. P. 1651–1661. https://doi.org/10.1056/NEJMOA0901281
- Kopytova A.E., Usenko T.S., Baydakova G.V. et al. Could blood hexosylsphingosinebe a marker for Parkinson’s disease linked with GBA1 mutations? // Mov. Disord. 2022. V. 37. № 8. P. 1779–1781. https://doi.org/10.1002/mds.29132
- Moors T.E., Paciotti S., Ingrassia A. et al. Characterization of brain lysosomal activities in GBA-related and sporadic Parkinson’s disease and dementia with Lewybodies // Mol. Neurobiol. 2019. V. 56. P. 1344–1355.
- Usenko T.S., Senkevich K.A., Bezrukova A.I. et al. Impaired sphingolipid hydrolase activities in dementia with Lewybodies and multiple system atrophy // Mol. Neurobiol. 2022. V. 59. P. 2277–2787.
- Kuusimäki T., Al-Abdulrasul H., Kurki S. et al. Increased risk of Parkinson’s disease in patients with schizophrenia spectrum disorders // Mov. Disord. 2021. V. 36. P. 1353–1361.
- De Vries P.J., Honer W.G., Kemp P.M., McKenna P.J. Dementia as a complication of schizophrenia // J. Neurol. Neurosurg. Psychiatry. 2001. V. 70. P. 588–596.
- Komatsu H., Kato M., Kinpara T. et al. Possible multiple system atrophy with predominant parkinsonism in a patient with chronic schizophrenia: A case report // BMC Psychiatry. 2018. V. 18. P. 1–9.
- Schwarz E., Prabakaran S., Whitfield P. et al. High throughput lipidomic profiling of schizophrenia and bipolar disorder brain tissue reveals alterations of free fatty acids, phosphatidylcholines, and ceramides // J. Proteome Res. 2008. V. 7. P. 4266–4277.
- Wood P.L. Targeted lipidomics and metabolomics evaluations of cortical neuronal stress in schizophrenia // Schizophr. Res. 2019. V. 212. P. 107–112.
- Tessier C., Sweers K., Frajerman A. et al. Membrane lipidomics in schizophrenia patients: A correlational study with clinical and cognitive manifestations // Transl. Psychiatry. 2016. V. 6. P. e906–e914.
- Paciotti S., Albi E., Parnetti L., Beccari T. Lysosomal ceramide metabolism disorders: Implications in Parkinson’s disease // J. Clin. Med. 2020. V. 9. P. 594–614.
- Takahashi N., Sakurai T., Davis K.L., Buxbaum J.D. Linking oligodendrocyte and myelin dysfunction to neurocircuitry abnormalities in schizophrenia // Prog. Neurobiol. 2011. V. 93. P. 13–24.
- Vallée A. Neuroinflammation in schizophrenia: The key role of the WNT/β-catenin pathway // Int. J. Mol. Sci. 2022. V. 23. P. 2810–2825.
- Gouvêa-Junqueira D., Falvella A.C.B., Antunes A.S.L.M. et al. Novel treatment strategies targeting myelin and oligodendrocytedysfunction inschizophrenia // Front. Psychiatry. 2020. V. 11. P. 379–395.
- Mihaylova V., Hantke J., Sinigerska I. et al. Highly variable neural involvement in sphingomyelinase-deficient Niemann–Pick disease caused by an ancestral Gypsy mutation // Brain. 2007. V. 130. P. 1050–1061. https://doi.org/10.1093/brain/awm026
- Zhuo C., Zhao F., Tian H. et al. Acid sphingomyelinase/ceramide system in schizophrenia: Implications for therapeutic intervention as a potential novel target // Transl. Psychiatry. 2022. V. 12. P. 260–266. https://doi.org/10.1038/s41398-022-01999-7
- Akhtar M.M., Elliott P.M. Anderson–Fabry disease in heart failure // Biophys. Rev. 2018. V. 10. P. 1107–1119.
- Usenko T.S., Bezrukova A.I., Basharova K.S. et al. Link between schizophrenia and lysosomal storage disorders based on NGS and LC-MS/MS analyses // Am. J. Geriatr. Psychiatry. 2023. Submitted to journal.
Supplementary files



