The Effect of the aPKC Gene Encoding Atypical Protein Kinase C on the Lifespan of Drosophila melanogaster Depends on the Expression Level of Protein Kinase GSK3
- Authors: Trostnikov M.V.1, Veselkina E.R.1, Andreev Y.A.1, Khryachkova A.Y.1, Roshina N.V.1,2, Pasyukova E.G.1
-
Affiliations:
- Institute of Molecular Genetics of the National Research Centre “Kurchatov Institute”
- Vavilov Institute of General Genetics, Russian Academy of Sciences
- Issue: Vol 59, No 1 (2023)
- Pages: 26-38
- Section: ОБЩАЯ ГЕНЕТИКА
- URL: https://bakhtiniada.ru/0016-6758/article/view/134499
- DOI: https://doi.org/10.31857/S0016675823010125
- EDN: https://elibrary.ru/CNOZBD
- ID: 134499
Cite item
Full Text
Abstract
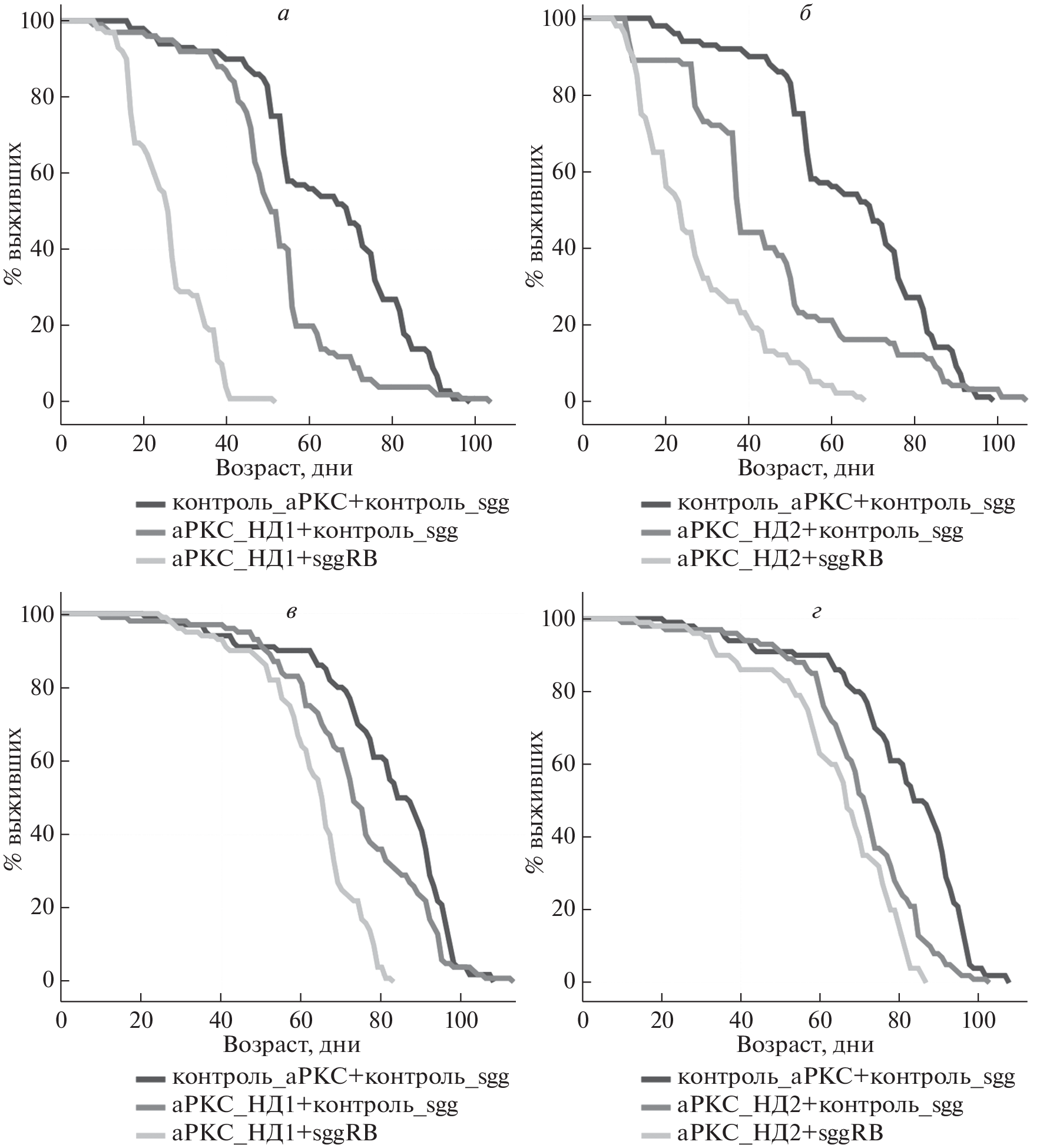
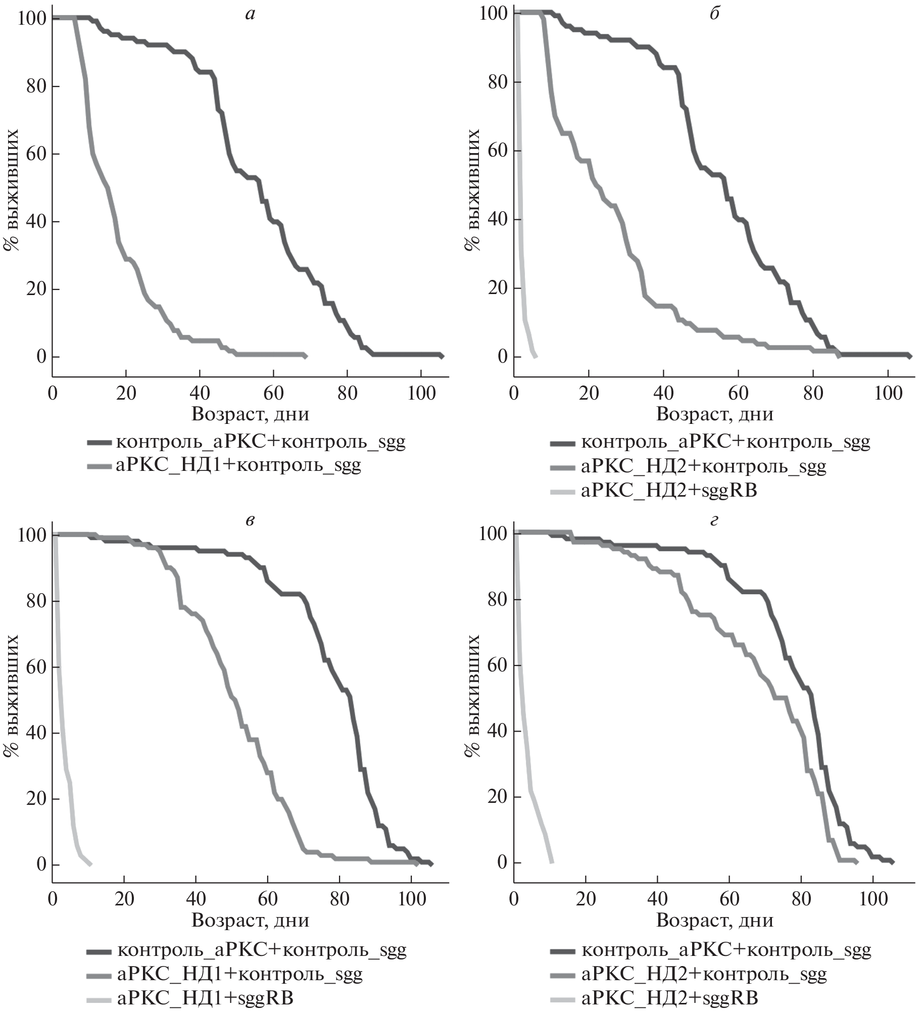
Drosophila melanogaster shaggy and aPKC genes encode highly conserved GSK3 (Glycogen Syntase Kinase 3) and aPKC (Protein Kinase C) proteinkinases that play key roles in many cellular processes. We previously demonstrated that changes in shaggy expression in neurons affect lifespan. In this article we show that changing the expression of the aPKC gene in neurons also affects lifespan. Changing the expression of the two protein kinases in all male or female neurons and in male motoneurons led to changes in lifespan, indicating that aPKC has no effect on GSK3 and GSK3 has a possible inhibitory effect on aPKC. At the same time, changes in the expression of two protein kinases in female motoneurons led to changes in lifespan, indicating the existence of a still unclear mechanism of interaction between these proteins. The elucidation of the mechanisms of interaction between aPKC, GSK3 and their other partners will deepen and expand our understanding of the causes of longevity and the ways to extend life.
About the authors
M. V. Trostnikov
Institute of Molecular Genetics of the National Research Centre “Kurchatov Institute”
Author for correspondence.
Email: mikhail.trostnikov@gmail.com
Russia, 123182, Moscow
E. R. Veselkina
Institute of Molecular Genetics of the National Research Centre “Kurchatov Institute”
Email: mikhail.trostnikov@gmail.com
Russia, 123182, Moscow
Y. A. Andreev
Institute of Molecular Genetics of the National Research Centre “Kurchatov Institute”
Email: mikhail.trostnikov@gmail.com
Russia, 123182, Moscow
A. Y. Khryachkova
Institute of Molecular Genetics of the National Research Centre “Kurchatov Institute”
Email: mikhail.trostnikov@gmail.com
Russia, 123182, Moscow
N. V. Roshina
Institute of Molecular Genetics of the National Research Centre “Kurchatov Institute”; Vavilov Institute of General Genetics, Russian Academy of Sciences
Email: mikhail.trostnikov@gmail.com
Russia, 123182, Moscow; Russia, 119991, Moscow
E. G. Pasyukova
Institute of Molecular Genetics of the National Research Centre “Kurchatov Institute”
Email: mikhail.trostnikov@gmail.com
Russia, 123182, Moscow
References
- López-Otín C., Blasco M.A., Partridge L. et al. The hallmarks of aging // Cell. 2013. V. 153. № 6. P. 1194–1217. https://doi.org/10.1016/j.cell.2013.05.039
- Hipp M.S., Kasturi P., Hartl F.U. The proteostasis network and its decline in ageing // Nat. Rev. Mol. Cell Biol. 2019. V. 20. № 7. P. 421–435. https://doi.org/10.1038/s41580-019-0101-y
- Vilchez D., Boyer L., Morantte I. et al. Increased proteasome activity determines human embryonic stem cell identity // Nature. 2012. V. 489. № 7415. P. 304–308. https://doi.org/10.1038/nature11468
- Schröter F., Adjaye J. The proteasome complex and the maintenance of pluripotency: Sustain the fate by mopping up? // Stem Cell Research & Therapy. 2014. V. 5. № 1. P. 24. https://doi.org/10.1186/scrt413
- Moore D., Pilz G., Araúzo-Bravo M. et al. A mechanism for the segregation of age in mammalian neural stem cells // Science. 2015. V. 349. № 6254. P. 1334–1338. https://doi.org/10.1126/science.aac9868
- Loyer N., Januschke J. Where does asymmetry come from? Illustrating principles of polarity and asymmetry establishment in Drosophila neuroblasts // Curr. Opinion in Cell Biology. 2020. V. 62. P. 70–77. https://doi.org/10.1016/j.ceb.2019.07.018
- Gallaud E., Pham T., Cabernard C. Drosophila melanogaster neuroblasts: A model for asymmetric stem cell divisions // Results Probl. Cell Differ. 2017. V. 61. P. 183–210. https://doi.org/10.1007/978-3-319-53150-2_8
- Shao C.Y., Crary J.F., Rhao C. et al. Atypical protein kinase C in neurodegenerative disease II: PKCiota/lambda in tauopathies and alpha-synucleinopathies // J. Neuropathol. Exp. Neurol. 2006. V. 65. № 4. P. 327–335. https://doi.org/10.1097/01.jnen.0000218441.00040.82
- Colosimo P.F., Liu X., Kaplan N.A., Tolwinski N.S. GSK3beta affects apical-basal polarity and cell-cell adhesion by regulating aPKC levels // Dev. Dyn. 2010. V. 239. № 1. P. 115–125. https://doi.org/10.1002/dvdy.21963
- Beurel E., Grieco S.F., Jope R.S. Glycogen synthase kinase-3 (GSK3): Regulation, actions, and diseases // Pharmacol. Ther. 2015. V. 148. P. 114–131. https://doi.org/10.1016/j.pharmthera.2014.11.016
- Souder D.C., Anderson R.M. An expanding GSK3 network: Implications for aging research // Geroscience. 2019. V. 41. № 4. P. 369–382. https://doi.org/10.1007/s11357-019-00085-z
- Тростников М.В., Веселкина Е.Р., Кременцова А.В. и др. Инсерционные мутации гена shaggy, кодирующего протеинкиназу GSK3, увеличивают продолжительность жизни Drosophila melanogaster // Генетика. 2019. Т. 55. № 9. С. 1099–1104. https://doi.org/10/1134/S0016675819090170
- Trostnikov M.V., Roshina N.V., Boldyrev S.V. et al. Disordered expression of shaggy, the Drosophila gene encoding a serine-threonine protein kinase GSK3, affects the lifespan in a transcript-, stage-, and tissue-specific manner // Int. J. Mol. Sci. 2019. V. 20. № 9. https://doi.org/10.3390/ijms20092200
- Trostnikov M.V., Veselkina E.R., Krementsova A.V. et al. Modulated expression of the protein kinase GSK3 in motor and dopaminergic neurons increases female lifespan in Drosophila melanogaster // Front. Genet. 2020. V. 11. https://doi.org/10.3389/fgene.2020.00668
- Bourouis M. Targeted increase in shaggy activity levels blocks wingless signaling // Genesis. 2002. V. 34. № 1–2. P. 99–102. https://doi.org/10.1002/gene.10114
- Wilmoth J.R., Horiuchi S. Rectangularization revisited: Variability of age at death within human populations // Demography. 1999. V. 36. № 4. P. 475–495.
- Carey J.R. Longevity: The Biology and Demography of Lifespan. Princeton, NT: Princeton Univ. Press, 2003.
- Wagh D.A., Rasse T., Asan E. et al. Bruchpilot, a protein with homology to ELKS/CAST, is required for structural integrity and function of synaptic active zones in Drosophila // Neuron. 2006. V. 49. № 6. P. 833–844. https://doi.org/10.1016/j.neuron.2006.02.008
- Franco B., Bogdanik L., Bobinnec Y. et al. Shaggy, the homolog of glycogen synthase kinase 3, controls neuromuscular junction growth in Drosophila // J. Neurosci. 2004. V. 24. № 29. P. 6573–6577. https://doi.org/10.1523/JNEUROSCI.1580-04.2004
- McGraw E.A., O’Neill S.L. Wolbachia pipientis: Intracellular infection and pathogenesis in Drosophila // Curr. Opin. Microbiol. 2004. V. 7. № 1. P. 67–70. https://doi.org/10.1016/j.mib.2003.12.003
- Moore S.F., van den Bosch M.T.J., Hunter R.W. et al. Dual regulation of glycogen synthase kinase 3 (GSK3)α/β by protein kinase C (PKC)α and Akt promotes thrombin-mediated Integrin αIIbβ3 activation and granule secretion in platelets // J. Biol. Chem. 2013. V. 288. № 6. P. 3918–3928. https://doi.org/10.1074/jbc.M112.429936
- Hapak S.M., Rothlin C.V., Ghosh S. aPKC in neuronal differentiation, maturation and function // Neuronal Signal. 2019. V. 3. № 3. P. NS20190019. https://doi.org/10.1042/NS20190019
- Cuesto G., Jordán-Álvarez S., Enriquez-Barreto L. et al. GSK3β inhibition promotes synaptogenesis in Drosophila and mammalian neurons // PLoS One. 2015. V. 10. № 3. P. e0118475. https://doi.org/10.1371/journal.pone.0118475
- Chiang A., Priya R., Ramaswami M. et al. Neuronal activity and Wnt signaling act through Gsk3-beta to regulate axonal integrity in mature Drosophila olfactory sensory neurons // Development. 2009. V. 136. № 8. P. 1273–1282. https://doi.org/10.1242/dev.031377
- Ruiz-Cañada C., Budnik V. Introduction on the use of the Drosophila embryonic/larval neuromuscular junction as a model system to study synapse development and function, and a brief summary of pathfinding and target recognition // Int. Rev. Neurobiol. 2006. V. 75. P. 1–31. https://doi.org/10.1016/S0074-7742(06)75001-2
- Tower J. Sex-specific gene expression and lifespan regulation // Trends Endocrinol. Metab. 2017. V. 28. № 10. P. 735–747. https://doi.org/10.1016/j.tem.2017.07.002
- Kaplan N.A., Colosimo P.F., Liu X., Tolwinski N.S. Complex interactions between GSK3 and aPKC in Drosophila embryonic epithelial morphogenesis // PLoS One. 2011. V. 6. № 4. P. e18616. https://doi.org/10.1371/journal.pone.0018616
- Kim M., Datta A., Brakeman P. et al. Polarity proteins PAR6 and aPKC regulate cell death through GSK-3β in 3D epithelial morphogenesis // J. Cell Sci. 2007. V. 120. № 14. P. 2309–2317. https://doi.org/10.1242/jcs.007443
- Jiang H., McKinley R.F.A., McGill M.A. et al. Both the establishment and the maintenance of neuronal polarity require active mechanisms: Critical roles of GSK-3β and its upstream regulators // Cell. 2005. V. 120. № 1. P. 123–135. https://doi.org/10.1016/j.cell.2004.12.033
- Kosuga S., Tashiro E., Kajioka T. et al. GSK-3beta directly phosphorylates and activates MARK2/PAR-1 // J. Biol. Chem. 2005. V. 280. № 52. P. 42715–42722. https://doi.org/10.1074/jbc.M507941200
- Sun T.Q., Lu B., Feng J.J. et al. PAR-1 is a Dishevelled-associated kinase and a positive regulator of Wnt signalling // Nat. Cell Biol. 2001. V. 3. № 7. P. 628–636. https://doi.org/10.1038/35083016
- Nance J., Zallen J.A. Elaborating polarity: PAR proteins and the cytoskeleton // Development. 2011. V. 138. № 5. P. 799–809. https://doi.org/10.1242/dev.053538
- Nishimura I., Yang Y., Lu B. PAR-1 kinase plays an initiator role in a temporally ordered phosphorylation process that confers tau toxicity in Drosophila // Cell. Elsevier. 2004. V. 116. № 5. P. 671–682. https://doi.org/10.1016/s0092-8674(04)00170-9
Supplementary files





