Влияние вирусной инфекции на кокколитофориду Emiliania huxleyi при разном уровне биогенных элементов в среде
- Authors: Стельмах Л.В.1, Сагадатова Р.Р.1, Алатарцева О.С.1
-
Affiliations:
- Федеральное государственное бюджетное учреждение науки Федеральный исследовательский центр “Институт биологии южный морей им. А.О. Ковалевского Российской академии наук”
- Issue: Vol 71, No 6 (2024)
- Pages: 785-794
- Section: ЭКСПЕРИМЕНТАЛЬНЫЕ СТАТЬИ
- URL: https://bakhtiniada.ru/0015-3303/article/view/272107
- DOI: https://doi.org/10.31857/S0015330324060112
- EDN: https://elibrary.ru/LWBPTS
- ID: 272107
Cite item
Full Text
Abstract
Кокколитофорида Emiliania huxleyi была выделена в клоновую культуру из планктона прибрежных вод Черного моря в феврале 2023 г. Штамм альговируса EhV-SS2, поражающий этот вид водорослей, изолирован из прибрежных вод в мае 2023 г. С помощью сканирующей электронной микроскопии показано, что вирусные частицы имели форму икосаэдра диаметром 124–174 нм. Выявлено наличие суперкапсида у данного штамма и определен его титр (2.5×105 вирионов/мл). Исследовано влияние альговируса на рост и эффективность работы ФС II (Fv/Fm) E. huxleyi при различном уровне биогенных элементов в среде. На протяжении латентного периода альговируса (0–101 ч) отмечено снижение отношения Fv/Fm водорослей относительно его значений в контроле. В интервале времени с 101 по 168 ч в культуре появились первые лизированные вирусом клетки, выявленные с помощью световой и сканирующей электронной микроскопии. В течение периода с 168 по 264 ч процесс лизиса усилился, а его скорость на полной среде f/2 была в пять раза выше, чем при дефиците азота или фосфора. Скорость лизиса клеток на морской воде, лишенной питательных элементов, была в два раза ниже, чем на полной среде. К концу эксперимента (через 264 ч) в инфицированной культуре наблюдались функционально активные клетки, как покрытые кокколитами, так и лишенные их. Доля последних на среде f/2 составила 95%, тогда как при дефиците азота и фосфора она была незначительной.
Full Text
ВВЕДЕНИЕ
Кокколитофориды – мелкие одноклеточные планктонные водоросли, одни из наиболее распространенных в Мировом океане эукариотических организмов. Среди них самым массовым видом, вызывающим регулярные обширные “цветения” морских вод, является Emiliania huxleyi [1]. В Черном море на ее долю приходится 90–99% биомассы всех кокколитофорид [2]. Особое внимание к этому виду обусловлено его важной ролью в глобальных циклах углерода [3], а также способностью клеток, покрытых известковыми пластинками – кокколитами – осуществлять сильное светорассеяние и изменять оптические свойства вод [4]. Кокколитофориды влияют также на глобальный цикл серы: они продуцируют диметилсульфид (ДМС) – климатически активный газ, который усиливает образование облаков в атмосфере [5].
Наиболее интенсивное “цветение” воды, вызываемое E. huxleyi, наблюдается в Черном море, как правило, в конце мая – начале июня [6–8], после чего происходит его деградация. Одной из основных причин гибели функционально активных клеток E. huxleyi на завершающей стадии ее интенсивного развития в морских экосистемах является вирусная инфекция [9, 10]. Показано, что в Северном море в период затухания “цветения” E. huxleyi почти 50% ее клеток были инфицированы, и основной причиной их гибели являлся вирусный лизис [10], так как заражение литическим вирусом неизбежно приводит к разрушению клеток хозяина [11]. Выявлено, что во время “цветения” E. huxleyi в больших открытых мезокосмах вызванный вирусом лизис приводил к гибели от 12 до 100% ее клеток [9]. При этом происходило выделение органических веществ в окружающую среду, где они потребляются, главным образом, бактериями. Этот процесс называется “вирусным шунтом” [12].
На контакт между альговирусами и их хозяевами существенное влияние оказывают не только свет и температура, но и биогенные вещества [13, 14]. Исследования, проведенные в различных регионах Мирового океана, показали, что в водах, богатых питательными веществами, количество вирусов больше, чем в бедных [15–17]. Показано, что фосфор, азот, а также микроэлементы ослабляют репликацию вирусных частиц. При ограничении концентрации железа в среде продукция вирусов, поражающих микроводоросли, замедляется [18]. Подобные результаты наблюдались при дефиците азота и фосфора [9, 14, 19, 20, ]. Однако пока не совсем ясно, недостаток какого элемента – азота или фосфора – в большей мере ослабляет вирусную инфекцию, а значит и лизис клеток водорослей. Поэтому влияние истощения питательных веществ на взаимодействие альговируса и клетки-хозяина является областью, требующей дальнейшего исследования.
Цель работы – изучение влияния вирусной инфекции на структурные и функциональные характеристики кокколитофориды E. huxleyi при разном уровне содержания биогенных веществ в воде. Достижение этой цели будет способствовать выявлению факторов среды, определяющих успех контакта альговирусов с водорослями в море.
МАТЕРИАЛЫ И МЕТОДЫ
Выделение и содержание культуры водорослей
В качестве объекта исследований была использована альгологически чистая клоновая культура кокколитофориды Emiliania huxleyi, выделенная нами из планктона прибрежных вод Черного моря в районе Севастополя в феврале 2023 г. Культуру содержали на пастеризованной морской воде с добавлением питательной среды f/2 [21] в пропорции 1 : 1000 при естественном рассеянном освещении и температуре 17°С. Высокий уровень ее физиологического состояния поддерживали путем еженедельных пересевов в свежую среду.
Изоляция вируса, определение его титра, размеров и некоторых морфологических характеристик
Пробы морской воды объемом 500 мл отбирали из поверхностного слоя Мартыновой бухты (Черное море, Севастопольский район) в точке с координатами 44°37` с.ш. и 33°30` в.д. в мае 2022 г. Воду фильтровали через нуклеопоровую мембрану с диаметром пор 0.2 мкм (РЕАТРЕК-Фильтр, Россия). К культуре E. huxleyi объемом 25 мл, находившейся в экспоненциальной фазе роста, добавляли аликвоту полученного фильтрата морской воды в соотношении 1 : 1. В контрольную культуру вносили пастеризованную морскую воду с питательной средой в такой же пропорции. Экспериментальные и контрольные пробирки были инкубированы при естественном рассеянном освещении и температуре 18°С в течение двух недель. Наличие вируса, специфичного для указанного хозяина в тестируемом образце, оценивали на основании лизиса клеток культуры водорослей. Этот процесс был зафиксирован с использованием светового микроскопа Carl Zeiss Primo Star (Carl Zeiss, Германия). В следующих четырех последовательных пассажах наблюдалось сокращение, а затем стабилизация инкубационного периода. Чистый патоген, условно обозначенный нами как EhV-SS2, был получен через два цикла серии 10-кратного разведения вирусных частиц в пробирках объемом 10 мл, содержащих культуру E. huxleyi. Лизат из наиболее разбавленных пробирок подвергали центрифугированию при 10000 g в течение 5 мин с использованием центрифуги ОПН-3 при 15°C для удаления разрушенных клеток водорослей, а затем пропускали через нуклеопоровую мембрану (РЕАТРЕК-Фильтр, Россия) с диаметром пор 0.2 мкм. Очищенный лизат, содержащий искомый вирус, хранили при температуре 12°С в темноте.
С целью определения титра вирусного штамма EhV-SS2 проводили серию 10-кратных разведений вирусной суспензии с разведениями от 100 до 10–9. Аликвоту из каждого разведения объемом 0.2 мл инокулировали в 1.8 мл экспоненциально растущей культуры водорослей в пяти повторностях. В контрольную культуру добавляли 0.2 мл питательной среды. Процесс лизиса клеток E. huxleyi контролировали с помощью светового микроскопа Carl Zeiss Primo Star. Концентрацию вирусных частиц рассчитывали на основе таблиц наиболее вероятного числа, или MPN-таблиц [22].
Для выявления наличия суперкапсида у вирусных частиц данного штамма суспензию обрабатывали раствором хлороформа в конечной концентрации 10% и выдерживали в течение 60 мин при комнатной температуре. Затем ее центрифугировали при 10000 g и температуре 15°С в течение 10 мин для удаления основной части хлороформа. Образцы оставляли на сутки в открытых пробирках, что позволяло полностью устранить остатки хлороформа из вирусной суспензии [23]. После чего культуру E. huxleyi подвергали воздействию вирусных частиц, обработанных хлороформом. В качестве контроля исследовали контакт культуры водорослей с суспензией вируса, которую не обрабатывали хлороформом. Наблюдения проводили в течение недели с помощью световой микроскопии. Все эксперименты были выполнены в трех повторностях. Размеры вирусных частиц и их форму определяли с помощью сканирующей электронной микроскопии (СЭМ) (Hitachi, Япония).
Исследование влияния вирусной инфекции на Emiliania huxleyi
Для оценки влияния альговирусов на микроводоросли при различных уровнях питательных веществ 10 мл культуры E. huxleyi, предварительно адаптированной к интенсивности непрерывного света 50 мкЭ/(м2 с), помещали в контрольные и опытные колбы объемом 100 мл и разбавляли в 10 раз пастеризованной морской водой, содержащей в первом варианте экспериментов среду f/2. Во втором варианте среда f/2 была лишена нитратов, в третьем – фосфатов, а в четвертом варианте водоросли были помещены в морскую воду без биогенных веществ. В опытные колбы вносили вирусную суспензию в соотношении 1 : 9 по объему. В контрольные колбы к культуре клеток E. huxleyi добавляли пастеризованную морскую воду в такой же пропорции. Контрольные и опытные колбы в двух повторностях экспонировали при интенсивности непрерывного света 50 мкЭ/(м2 с) и температуре 19°–20°С в течение 264 ч.
В ходе эксперимента из колб отбирали аликвоты в трех повторностях для определения численности клеток и эффективности работы ФС II исследуемой культуры водорослей, а также пробы для выполнения световой и сканирующей электронной микроскопии с интервалом 5 и 19 ч.
Измерение параметров
Подсчет численности клеток E. huxleyi в контрольных пробах осуществляли с помощью автоматического счетчика частиц Luna II (Logos Biosystems, Inc., Южная Корея). В опытных образцах водоросли учитывали в камере Горяева с помощью светового микроскопа Olympus CX33 (Olympus, Япония) при общем увеличении 400×. Относительная ошибка расчетов составляла не более 10%.
Суточную величину удельной скорости роста водорослей и скорости их отмирания рассчитывали по формуле:
m = ln(Nt/N0)/t,
где N0 и Nt – исходная численность клеток и их количество через время t в сутках, кл/мл.
Измерения максимальной эффективности работы ФС II или максимального квантового выхода (Fv/Fm) осуществляли на ПАМ флуориметре Aqua Pen-C AP 110 (Photon System Instruments, Чехия).
Для регистрации вирусов и их воздействия на клетки водорослей использовали сканирующий электронный микроскоп Hitachi SU3500 (Hitachi, Япония). С этой целью экспериментальные пробы объемом 2 мл, содержащие клетки E. huxleyi и вирусные частицы, фильтровали через трековую мембрану с диаметром пор 0.4 мкм (РЕАТРЕК-Фильтр, Россия). Чистую вирусную суспензию пропускали через трековую мембрану с диаметром пор 0.03 мкм. Затем образцы обезвоживали с помощью этилового спирта различной концентрации: 20, 30, 50, 75, 96 и 100% [24] и сушили в критической точке (1.5–2.5 ч) с использованием установки Leica EM CPD300 (Leica microsystems, Германия). Для напыления металлов (Au/Pd; 0.5–1.0 мин) применяли прибор Leica EM ACE200 (Leica microsystems, Германия).
Статистический анализ и построение графиков
Обработка данных выполнена в программе Excel 2007 (корпорация Microsoft) для Windows. Были рассчитаны среднеарифметические значения исследуемых параметров и стандартное отклонение. Статистическую значимость различий средних значений определяли по t-критерию Стьюдента. Проверку на принадлежность наблюдаемой выборки нормальной генеральной совокупности проводили по критерию Шапиро–Уилка c использованием программы SigmaPlot 12.1. Построение графиков осуществляли с помощью программы Grafer 7.
РЕЗУЛЬТАТЫ
Некоторые характеристики E. huxleyi и штамма альговируса EhV-SS2
Здоровые клетки культуры имели форму шара диаметром около 5–7 мкм и были покрыты пластинками, так называемыми кокколитами, диаметром 1–1.5 мкм (рис. 1а). Для культуры, содержащейся до начала эксперимента при естественном рассеянном освещении и температуре 17°С, показана высокая эффективности работы ФС II. Среднее значение Fv/Fm составило 0.63 ± 0.02, что близко к максимально возможным величинам этого параметра для морских микроводорослей.
Рис. 1. Сканирующая электронная микроскопия здоровых клеток Emiliania huxleyi (а) и вирусных частиц штамма EhV-SS2 (б, в, г); стрелкой отмечен вирус на поверхности кокколита, размерная шкала 0.5 мкм (г).
Результаты сканирующей электронной микроскопии показали, что вирусные частицы выделенного штамма EhV-SS2 имели форму икосаэдра с диаметром 124–174 нм (рис. 1б–г). Вирусная суспензия, обработанная хлороформом, теряла свою инфекционную активность, в результате чего лизис клеток водорослей не наблюдался. Это может свидетельствовать о наличии суперкапсида у изучаемого вируса. Исходный титр неразбавленной вирусной суспензии составлял 2.50 (± 0.16)×105 вирусных частиц/мл.
Влияние альговируса на E. huxleyi при разном уровне питательных веществ
Начальная численность клеток водорослей во всех вариантах эксперимента составляла 1.00 (±0.12)×106 кл/мл. В контроле на полной среде f/2 наблюдался наибольший прирост клеток культуры. Максимальная их численность, составившая 6.4×106 кл/мл, была достигнута через 192 ч от начала эксперимента, а затем постепенно снижалась (рис. 2а). При дефиците азота или фосфора в среде, а также на морской воде без макроэлементов рост водорослей замедлялся, в результате чего численность клеток в максимуме была в 2–2.4 раза ниже, чем на полной среде, после чего наблюдалось ее снижение (рис. 2 б–г).
Рис. 2. Динамика численности клеток Emiliania huxleyi под влиянием вирусной инфекции: 1 – неинфицированные клетки; 2 – инфицированные клетки; 3 – “голые” клетки; а – полная среда f/2; б – среда без азота; в – среда без фосфора; г – морская вода без биогенных элементов.
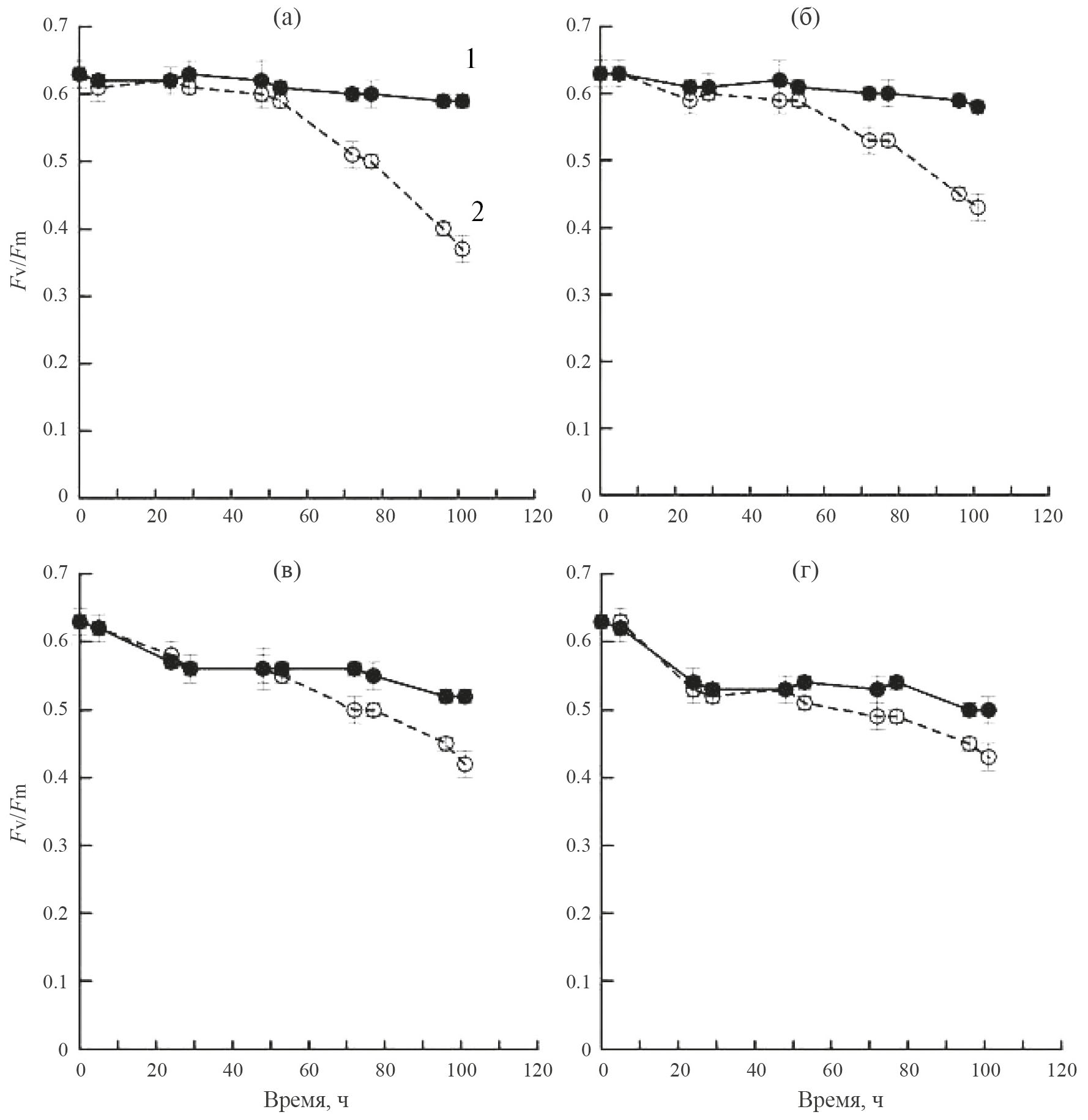
Исходная численность EhV-SS2 в экспериментах была равна 2.50 (±0.16)×104 вирусных частиц/мл. Клетки E. huxleyi в присутствии вирусной инфекции показали начало замедления прироста относительно контроля после 53 ч экспозиции, достигнув максимальных значений численности через 101 ч (рис. 2a–г). На полной среде она составила 4.2×106 кл/мл, на среде без азота – 2.7×106 кл/мл, на среде без фосфоцра – 2.1×106 кл/мл. На морской воде, лишенной питательных веществ, численность клеток в максимуме была равна 1.7×106 кл/мл. За этот временной интервал (53–101 ч) средняя величина удельной скорости роста водорослей составила на полной среде 0.14 сут.–1, на среде без азота – 0.10 сут.–1, без фосфора – 0.09 сут.–1, тогда как на морской воде без азота и фосфора клетки практически не делились. Полученные значения удельной скорости роста были существенно ниже соответствующих контрольных величин (табл. 1). Их различия по критерию Стьюдента были статистически значимы (P £ 0.0005). Отношение Fv/Fm водорослей к концу анализируемого периода (101 ч) в опыте было ниже контрольных значений (рис. 3а–г). Его среднее значение на полной среде составило 0.48, на среде без азота – 0.51, без фосфора – 0.48 и на морской воде, обедненной по биогенным веществам – 0.47. Полученные величины были достоверно ниже исходного значения Fv/Fm (0.63) согласно критерию Стьюдента. Для всех вариантов опыта последний показатель превышал критические значения (P £ 0.026). Важно отметить, что эффективность работы ФС II как в контроле, так и в опыте в процессе эксперимента в большей мере снижалась при дефиците фосфора, чем азота. Однако эти различия были слабыми.
Рис. 3. Динамика максимальной эффективности фотосистемы II (Fv/Fm) под влиянием вирусной инфекции: 1 – неинфицированные клетки; 2 – инфицированные клетки; а – полная среда f/2; б – среда без азота; в – среда без фосфора; г – морская вода без биогенных элементов.
Таблица 1. Удельная скорость роста и отмирания E. huxleyi в присутствии вирусной инфекции (О) и в контроле (К)
Среда | Среднесуточная удельная скорость роста (сут.–1) за период с 53 по 101 ч | Среднесуточная удельная скорость отмирания (сут.–1) за период с 168 по 264 ч | ||
К | О | К | О | |
f/2 | 0.24 ± 0.02 | 0.14 ± 0.01 | 0.33 ± 0.04 | 0.95 ± 0.09 |
f/2-N | 0.20 ± 0.01 | 0.10 ± 0.01 | 0.14 ± 0.01 | 0.19 ± 0.02 |
f/2-P | 0.25 ± 0.02 | 0.09 ± 0.01 | 0.12 ± 0.01 | 0.18 ± 0.02 |
Без f/2 | 0.24 ± 0.03 | 0.02 ± 0.01 | 0.38 ± 0.05* | 0.44 ± 0.04* |
Примечание. Представлены средние значения и стандартное отклонение
* – достоверные отличия между опытом и контролем отсутствовали.
В интервале времени с 101 по 168 ч в опыте на полной среде и в условиях дефицита азота наблюдалось слабое снижение численности клеток водорослей вследствие их разрушения под действием вирусов. В среде без фосфора и на морской воде без биогенных элементов количество водорослей было практически постоянным, однако появились единичные лизированные клетки. В последующий период с 168 по 264 ч на полной среде происходило быстрое отмирание водорослей в результате их вирусного лизиса. При дефиците азота, фосфора или на обедненной по биогенным элементам морской воде этот процесс замедлялся. За указанный временной интервал среднее значение удельной скорости отмирания E. huxleyi на среде f/2 составило 0.95 сут.–1, на среде, лишенной азота – 0.19 сут.–1, без фосфора – 0.18 сут.–1. Эти значения были достоверно выше величин в контроле (P £ 0.039), где наблюдалась естественная гибель клеток после достижения стационарной фазы роста. На морской воде без биогенных элементов удельная скорость отмирания водорослей под действием вирусов была равна в среднем 0.44 сут.–1 и достоверно не отличалась от этого показателя в контроле (табл. 1).
Исследования с помощью сканирующей электронной микроскопии показали, что на стадии отмирания инфицированной вирусом культуры можно было наблюдать различную степень разрушения клеток (рис. 4а–в). Однако часть клеток оставалась живой, а некоторые из них при этом сбрасывали кокколиты (рис. 4 г). Диаметр “голых” клеток был в 2.5–3.5 раза меньше, чем покрытых кокколитами. Относительное их содержание на полной среде к концу эксперимента достигло 95% (рис. 2а), а эффективность работы ФС II, измеренная в это время, свидетельствовала о достаточно высокой степени их функциональной активности (Fv/Fm = 0.41). На морской воде доля “голых” клеток через 264 ч была равна 10%, а в условиях дефицита азота или фосфора она снижалась до 1–2%. В это время общая численность культуры в присутствии вирусной инфекции составляла на полной среде 14% от максимального значения. На среде без азота или фосфора она достигла 70%, а на морской воде без минерального питания – 44%.
Рис. 4. Сканирующая электронная микроскопия клеток Emiliania huxleyi на различной стадии поражения вирусной инфекцией: а, б – ранняя стадия; в – поздняя стадия; г – “голые” клетки.
ОБСУЖДЕНИЕ
Описанные в литературе штаммы альговируса, поражающего клетки E. huxleyi (EhV), имеют форму икосаэдра диаметром от 140 до 200 нм [25–27]. Диаметр вирусных частиц выделенного нами штамма альговируса, обозначенного как EhV-SS2, был близок к этим размерам. Для него, как и для других штаммов, инфицирующих E. huxleyi, характерно наличие суперкапсида – дополнительной липидной оболочки, окружающей вирус [25, 28]. Ранее было показано, что разные штаммы EhV имеют большие геномы двухцепочечной ДНК размером примерно 410 кб. Филогенетический анализ генов ДНК-полимеразы этих вирусов позволил заключить, что они принадлежат к семейству альговирусов Phycodnaviridae [25].
Одним из факторов, влияющих на успех контакта альговирусов с водорослями, является исходная численность вирионов в среде. Низкий титр последних вызывает существенное увеличение продолжительности латентного периода, т.е. времени начала выхода вирусных частиц из клеток хозяина при их разрушении. По нашим данным, при оптимальных условиях начало гибели клеток E. huxleyi под действием литического вируса с исходным титром в экспериментах 2.5×104 вирусных частиц/мл наблюдалось лишь через 101 ч от начала исследования. При этом опубликованные нами ранее результаты [14] показали, что при более высоком исходном титре вируса (≥107 вирионов/мл), поражающего зеленую микроводоросль Tetraselmis viridis (Rouchijajnen) R.E.Norris, Hori & Chihara, этот процесс начинался через 40 ч. Подобные результаты получены и в экспериментах по исследованию контакта литического вируса EhV1 с клетками E. huxleyi [29]. В рамках наших исследований латентный период, составивший 101 ч, условно можно разделить на два интервала. В течение первого временного интервала (0–53 ч) прирост численности клеток E. huxleyi в опыте и контроле был одинаков. В течение второго интервала (с 53 по 101 ч) наблюдалось замедление прироста водорослей. Величина Fv/Fm к концу этого интервала на полной среде была на 37% меньше контроля, на среде без азота – на 26%, на среде без фосфора – на 19% и на морской воде без биогенных элементов – на 14%. Это позволило нам заключить, что вирусная инфекция проявляет наибольшую активность в клетках водорослей в условиях достаточного содержания биогенных элементов. Следует отметить, что в целом влияние инфицирования вирусом культуры исследуемой кокколитофориды на параметр Fv/Fm было слабым. Вероятно, это связано с тем, что переменная флуоресценция хлорофилла свойственна только неинфицированным клеткам, а также клеткам на самых ранних стадиях поражения вирусом, тогда как лизированные клетки неспособны к этому и не вносят вклад в сигналы, на основании которых рассчитывается величина Fv/Fm. Как отмечено в работе [29], успешное инфицирование культуры E. huxleyi литическим вирусом приводит не только к снижению величины Fv/Fm, но и к быстрой деградации клеточных компонентов, а также к повышению экспрессии белка метакаспазы, что способствует, по мнению авторов, облегчению процесса лизиса клеток хозяина.
Даже при высокой исходной численности вирусов в среде успех их контакта с микроводорослями зависит от ряда биотических и абиотических факторов. Среди биотических факторов следует отметить численность клеток хозяев альговирусов. По мере увеличения этого параметра происходит сокращение латентного периода патогена и усиление его репликации в водорослевых клетках [30, 31]. Важную роль играет физиологическое состояние водорослей, от которого зависит их чувствительность к вирусу. В экспоненциальной фазе роста они в большей мере подвержены инфицированию, чем в стационарной фазе [32]. В наших экспериментах по исследованию влияния альговируса EhV-SS2 на культуру кокколитофориды E. huxleyi начальная численность клеток водорослей была высокой (1×106 кл/мл) и при этом соответствовала экспоненциальной фазе роста для заданных условий. Структура вирионов также влияет на скорость процесса инфицирования их хозяев. Латентный период для альговирусов, образованных на основе двухцепочечной ДНК, более короткий по сравнению с вирусами, содержащими одноцепочечную РНК [33].
Установлено, что такие макроэлементы как фосфор и азот, а также микроэлементы, например железо, влияют на репликацию вирусных частиц. Когда концентрация железа ограничена, выработка водорослевых вирусов замедляется [34]. В нашем исследовании показано, что на полной среде f/2 лизис клеток водорослей под действием вируса происходит с наибольшей скоростью, а при дефиците азота или фосфора замедляется примерно в пять раз. Однако в ряде работ обнаружено, что роль азота и фосфора в регуляции вирусного инфицирования водорослей неодинакова. Некоторые авторы полагают, что фосфор играет основную роль в этих процессах. Они отмечают, что в условиях низкого его содержания в воде продукция вирусов в клетках E. huxleyi снижалась на 70% относительно контроля [9], в клетках Micromonas pusilla это значение было меньше на 80%, а латентный период увеличился на 150% [19]. Однако по данным других авторов, проводившим эксперименты по контакту водорослевых вирусов с культурой Phaeocystis globosa, дефицит азота тормозил процессы вирусного заражения ее клеток в большей степени, чем дефицит фосфора [20]. Подобные результаты получены нами при исследовании влияния вирусного патогена на культуру зеленой водоросли T. viridis [14]. Показано, что отсутствие азота в среде приводило к снижению скорости гибели клеток, пораженных вирусом в 3.2 раза относительно контроля, тогда как в случае дефицита фосфора этот процесс замедлялся в 2.4 раза. Такие различия можно объяснить тем, что для воспроизводства вирусных частиц требуется в 6 раз больше азота, чем фосфора. Выявлено, что стехиометрия C : N : P у вирусов составляет примерно 17 : 6 : 1 [35]. Это также означает, что потребности в азоте и фосфоре у них существенно больше, чем у микроводорослей, у которых подобное соотношение при оптимальных условиях равно 106 : 16 : 1 [36]. Можно предположить, что в зависимости от содержания азота и фосфора в морской воде активность альговирусов будет меняться, что в разной степени повлияет на клетки хозяина, а значит и на структуру фитопланктонного сообщества.
Установлено, что ФС II микроводорослей чувствительна к дефициту как фосфора, так и азота. Причем недостаток последнего, как правило, в большей мере влияет на эффективность ее работы. Однако у некоторых видов водорослей флуоресцентные параметры, отражающие функционирование фотосистемы, при недостатке фосфора ниже, чем при дефиците азота [14, 37], что показано и в данной работе. Кроме того, по нашим данным, в контроле при отсутствии в среде обоих элементов значения Fv/Fm исследуемой кокколитофориды к концу эксперимента были ниже, чем при наличии одного из них. Это может означать, что ее физиологическое состояние на морской воде, лишенной азота и фосфора, ухудшается в наибольшей степени. Вероятно, по этой причине вирусный лизис клеток E. huxleyi, содержащейся на морской воде без биогенных элементов, происходил гораздо быстрее, чем при дефиците азота или фосфора.
К концу нашего эксперимента в опытных склянках, несмотря на присутствие литического вируса, были отмечены живые клетки водорослей. На полной среде, где выявлен наиболее интенсивный лизис культуры, их относительное содержание было минимальным, тогда как на среде без азота или фосфора – максимальным. Промежуточная величина получена на морской воде, лишенной биогенных веществ. Среди них наблюдались так называемые “голые” клетки, лишенные кокколит. Их наибольшее относительное количество, достигшее 95%, отмечено на полной питательной среде, тогда как на морской воде без биогенных веществ оно было почти в 10 раз меньше, а в условиях дефицита азота или фосфора составляло 1–2%. Эти клетки были неподвижны и обладали достаточно высокой функциональной активностью. Как отмечено ранее [38], неподвижные “голые” клетки культуры E. huxleyi, находившейся в контакте с литическим вирусом, были диплоидными и, по мнению авторов, являлись устойчивыми к действию данного патогена.
ЗАКЛЮЧЕНИЕ
Изолированный из прибрежных вод Черного моря альговирус, условно обозначенный как EhV-SS2, является одним из крупнейших известных науке водорослевых вирусов. Его продолжительный латентный период (101 ч), зарегистрированный нами во всех вариантах эксперимента по появлению в культуре E. huxleyi первых лизированных клеток, обусловлен относительно низким исходным титром. Он был на четыре порядка ниже максимально возможного титра вирусов, поражающих данную кокколитофориду. Самая высокая скорость вирусного лизиса наблюдалась на полной среде f/2. Дефицит фосфора или азота приводил к снижению скорости гибели инфицированных клеток. Это, вероятно, связано с ослаблением репликации вирусных частиц в них в условиях дефицита одного из питательных веществ. Скорость вирусного лизиса как при отсутствии азота, так и фосфора была практически одинакова. В то же время максимальная эффективность работы ФС II нелизированных клеток водорослей была более чувствительна к дефициту фосфора, чем азота. На морской воде без обоих биогенных элементов гибель инфицированных вирусом клеток происходила быстрее, чем при дефиците одного из них. Это связано, вероятно, с наибольшим ухудшением функционального состояния водорослей и устойчивости к патогену в заданных условиях. Полный лизис культуры E. huxleyi к концу эксперимента не наблюдался даже на среде f/2, а 95% ее клеток были лишены кокколит, что можно рассматривать как защитную реакцию водорослей на действие вирусной инфекции. Можно предположить, что в море в зависимости от содержания биогенных веществ в воде активность альговирусов, поражающих E. huxleyi, будет меняться, что в разной степени повлияет на клетки хозяина, а значит и на структуру фитопланктонного сообщества, важной частью которого является эта мелкая кокколитофорида.
Исследование выполнено за счет средств гранта Российского научного фонда № 24-27-20014 и города Севастополя “Трансформация структуры и функциональных характеристик черноморского фитопланктона у берегов Крыма в современных экологических условиях. Фундаментальная роль и прикладное значение”.
Авторы выражают искреннюю благодарность ведущему инженеру ИнБЮМ Бабич И.И. за помощь при выполнении данной работы.
Настоящая статья не содержит описания каких-либо экспериментов с участием людей и животных в качестве объектов исследования.
Авторы заявляют об отсутствии конфликта интересов.
About the authors
Л. В. Стельмах
Федеральное государственное бюджетное учреждение науки Федеральный исследовательский центр “Институт биологии южный морей им. А.О. Ковалевского Российской академии наук”
Author for correspondence.
Email: lustelm@mail.ru
Russian Federation, Севастополь
Р. Р. Сагадатова
Федеральное государственное бюджетное учреждение науки Федеральный исследовательский центр “Институт биологии южный морей им. А.О. Ковалевского Российской академии наук”
Email: lustelm@mail.ru
Russian Federation, Севастополь
О. С. Алатарцева
Федеральное государственное бюджетное учреждение науки Федеральный исследовательский центр “Институт биологии южный морей им. А.О. Ковалевского Российской академии наук”
Email: lustelm@mail.ru
Russian Federation, Севастополь
References
- Tyrrell T., Merico A. Emiliania huxleyi: bloom observations and the conditions that induce them // Coccolithophores: from molecular processes to global impact / Eds. H.R. Thierstein, J.R. Young. Berlin, Heidelberg: Springer Berlin Heidelberg. 2004. P. 75. https://doi.org/10.1007/978-3-662-06278-4_4
- Mikaelyan A.S., Silkin V.A., Pautova L.A. Coccolithophorids in the Black Sea: their interannual and long-term changes // Russ. Acad. Sci. Oceanol. 2011. V. 51. P. 39. https://doi.org/10.1134/S0001437011010127
- Broecker W., Clark E. Ratio of coccolith CaCO3 to foraminifera CaCO3 in late Holocene deep sea sediments // Paleoceanography. 2009. V. 24. P. PA3205. https://doi.org/10.1029/2009PA001731
- Brown C.W., Yoder J.A. Coccolithophorid blooms in the global ocean // J. Geophys. Res. Oceans. 1994. V. 99. P. 7467. https://doi.org/10.1029/93JC02156
- Taylor A.R., Brownlee C., Wheeler G. Coccolithophore cell biology: chalking up progress // Ann. Rev. Mar. Sci. 2017. V. 9. P. 283. https://doi.org/10.1146/annurev-marine-122414-034032
- Mikaelyan A.S., Pautova L.A., Pogosyan S.I., Sukhanova I.N. Summer bloom of coccolithophorids in the northeastern Black Sea // Oceanology. 2005. V. 45. P. 127.
- Stelmakh L., Gorbunova T. Emiliania huxleyi blooms in the Black Sea: influence of abiotic and biotic factors // Botanica. 2018. V. 24. P. 172. https://doi.org/10.2478/botlit-2018-0017
- Silkin V., Pautova L., Podymov O., Chasovnikov V., Lifanchuk A., Fedorov A., Kluchantseva A. Phytoplankton dynamics and biogeochemistry of the Black Sea // J. Mar. Sci. Eng. 2023. V11. P 1196. https://doi.org/10.3390/jmse11061196
- Bratbak G., Egge J.K, Heldal M. Viral mortality of the marine alga Emiliania huxleyi (Haptophyceae) and termination of algal blooms // Mar. Ecol. Prog. Ser. 1993. V 93. P 39. https://doi.org/10.3354/meps093039
- Brussaard C.P., Kempers R.S., Kop A.J., Riegman R., Heldal M. Virus-like particles in a summer bloom of Emiliania huxleyi in the North Sea // Aquat. Microb. Ecol. 1996. V. 10. P. 105. https://doi.org/10.3354/ame010105
- Brussaard C.P. Viral Control of phytoplankton populations - a review // J. Eukaryot. Microbiol. 2004. V. 51. P. 125. https://doi.org/10.1111/j.1550-7408.2004.tb00537.x
- Wommack K.E., Colwell R.R. Virioplankton: viruses in aquatic ecosystems // Nat. Rev. Mol. Cell Biol. 2000. V. 64. P. 69. https://doi.org/10.1128/MMBR.64.1.69-114.2000
- Mojica K.D., Brussaard C.P. Factors affecting virus dynamics and microbial host-virus interactions in marine environments // FEMS Microbiol. Ecol. 2014. V. 89. P. 495. https://doi.org/10.1111/1574-6941.12343
- Stelmakh L.V., Sagadatova R.R., Alatartseva O.S. The effect of viral infection on the Black Sea microalgae Tetraselmis viridis: the role of nutrients and copper ions // Funct. Plant Biol. 2024. V. 51. P. FP23114. https://doi.org/10.1071/FP23114
- Evans C., Brussaard C.P. Regional variation in lytic and lysogenic viral infection in the Southern Ocean and its contribution to biogeochemical cycling // Appl. Environ. Microbiol. 2012. V. 78. P. 6741. https://doi.org/10.1128/AEM.01388-12
- Clerissi C., Grimsley N., Subirana L., Maria E., Oriol L., Ogata H., Moreau H., Desdevises Y. Prasinovirus distribution in the Northwest Mediterranean Sea is affected by the environment and particularly by phosphate availability // Virology. 2014. V. 466. P. 146. https://doi.org/10.1016/j.virol.2014.07.016
- Mojica K.D., Huisman J., Wilhelm S.W., Brussaard C.P. Latitudinal variation in virus-induced mortality of phytoplankton across the North Atlantic Ocean // ISME J. 2016. V. 10. P. 500. https://doi.org/10.1038/ismej.2015.130
- Slagter H.A., Gerringa L.J., Brussaard C.P. Phytoplankton virus production negatively affected by iron limitation // Front. Environ. Sci. 2016. V. 3. P. 156. https://doi.org/10.3389/fmars.2016.00156
- Maat D.S., Crawfurd K.J., Timmermans K.R., Brussaard C.P. Elevated CO2 and phosphate limitation favor Micromonas pusilla through stimulated growth and reduced viral impact // Appl. Environ. Microbiol. 2014. V. 80. P. 3119. https://doi.org/10.1128/AEM.03639-13
- Maat D.S., Brussaard C.P. Both phosphorus-and nitrogen limitation constrain viral proliferation in marine phytoplankton // Aquat. Microb. Ecol. 2016. V. 77. P. 87. https://doi.org/10.3354/ame01791
- Guillard R., Ryther J. Studies of marine planktonic diatoms: I. Cyclotella Nana Hustedt, and Detonula Confervacea (CLEVE) Gran // J. Can. Microbiol. 1962. V. 8. P. 229. https://doi.org/10.1139/m62-029
- Jarvis B., Wilrich C., Wilrich P-T. Reconsideration of the derivation of Most Probable Numbers, their standard deviations, confidence bounds and rarity values // J. Appl. Microbiol. 2010. V. 109. P. 1660. https://doi.org/10.1111/j.1365-2672.2010.04792.x
- Arsenieff L., Simon N., Rigaut-Jalabert F., Le Gall F., Chaffron S., Corre E., Com E., Bigeard E., Baudoux A-C. First viruses infecting the marine diatom Guinardia delicatula // Front. Microbiol. 2019. V. 9. P. 3235. https://doi.org/10.3389/fmicb.2018.03235
- Bratbak G. Microscope methods for measuring bacterial biovolume: epifluorescence microscopy, scanning electron microscopy, and transmission electron microscopy // Handbook of methods in aquatic microbial ecology / Eds. P.F. Kemp, B.F. Sherr, E.B. Sherr, J.J. Cole. Boca Raton: CRC Press. 1993. P. 309.
- Schroeder D.C., Oke J., Malin G., Wilson W. Coccolithovirus (Phycodnaviridae): characterization of a new large dsDNA algal virus that infects Emiliania huxleyi // Arch Virol. 2002. V. 147. P. 1685. https://doi.org/10.1007/s00705-002-0841-3
- Castberg T., Thyrhaug R., Larsen A., Sandaa R-A., Heldal M., Van Etten J.L., Bratbak G. Isolation and characterization of a virus that infects Emiliania huxleyi (Haptophyta) // J. Phycol. 2002. V. 38. P. 767. https://doi.org/10.1046/j.1529-8817.2002.02015.x
- Vaughn J.M., Balch W.M., Novotny J.F., Vining C.L., Palmer C.D., Drapeau D.T., Booth E., Vaughn Jr. J.M., Kneifel D.M., Bell A.L. Isolation of Emiliania huxleyi viruses from the Gulf of Maine // Aquat. Microb. Ecol. 2010. V. 58. P. 109. https://doi.org/10.3354/ame01375
- Mackinder L.C.M., Worthy C.A., Biggi G., Hall M., Ryan K.R., Varsani A., Harper G.M., Wilson W.H., Brownlee C., Schroeder D.C. A unicellular algal virus, Emiliania huxleyi virus 86, exploits an animal-like infection strategy // J. Gen. Virol. 2009. V. 90. P. 2306. https://doi.org/10.1099/vir.0.011635-0
- Bidle K. D., Haramaty L., Barcelos e Ramos J., Falkowski P. Viral activation and recruitment of metacaspases in the unicellular coccolithophore Emiliania huxleyi // PNAS. 2007. V. 104. P. 6049. https://doi.org/10.1073/pnas.0701240104
- Clasen J.L., Elser J.J. The effect of host Chlorella NC64A carbon: phosphorus ratio on the production of Paramecium bursaria Chlorella Virus-1 // Freshw. Biol. 1995. V. 52. P. 112. https://doi.org/10.1111/j.1365-2427.2006.01677.x
- Wilhelm S.W., Matteson A.R. Freshwater and marine virioplankton: a brief overview of commonalities and differences // Freshw. Biol. 2008. V. 53. P. 1076. https://doi.org/10.1111/j.1365-2427.2008.01980.x
- Nagasaki K., Tomaru Y., Tarutani K., Katanozaka N., Yamanaka S., Tanabe H., Yamaguchi M. Growth characteristics and intraspecies host specificity of a large virus infecting the dinoflagellate Heterocapsa circularisquama // Appl. Environ. Microbiol. 2003. V. 69. P. 2580. https://doi.org/10.1128/AEM.69.5.2580-2586.2003
- Lawrence J.E., Brussaard C.P.D., Suttle C.A. Virus-specific responses of Heterosigma akashiwo to infection // Appl. Environ. Microbiol. 2006. V. 72. P. 7829. https://doi.org/10.1128/AEM.01207-06
- Slagter H.A., Gerringa L.J.A., Brussaard C.P.D. Phytoplankton virus production negatively affected by iron limitation // Front. Environ. Sci. 2016. V. 3. P. 156. https://doi.org/10.3389/fmars.2016.00156
- Jover L.F., Effler T.C., Buchan A., Wilhelm S.W., Weitz J.S. The elemental composition of virus particles: implications for marine biogeochemical cycles // Nat. Rev. Microbiol. 2014. V. 12. P. 519. https://doi.org/10.1038/nrmicro3289
- Redfield A.C., Ketchum B.H., Richards F.A. The composition of seawater: comparative and descriptive oceanography // The sea: ideas and observations on progress in the study of the seas / Ed. N.M Hill. New York, USA: Interscience. 1963. P. 26.
- Wykoff D.D., Davies J.P., Melis A., Grossman A.R. The regulation of photosynthetic electron transport during nutrient deprivation in Chlamydomonas reinhardtii // Plant Physiol. 1998. V. 117. P. 129. https://doi.org/10.1104/pp.117.1.129
- Frada M.J., Rosenwasser S., Ben-Dor S., Shemi A., Sabanay H., Vardi A. Morphological switch to a resistant subpopulation in response to viral infection in the bloom-forming coccolithophore Emiliania huxleyi // PLoS Pathog. 2017. V. 13. P. e1006775. https://doi.org/10.1371/journal. ppat.1006775
Supplementary files






