Сравнительная характеристика состава фенольных соединений Hedysarum alpinum L. в интродукции и в каллусной культуре
- Авторлар: Филонова М.В.1,2, Кривощеков С.В.3, Зиннер Н.С.1, Исаков Д.А.3, Решетов Я.Е.3, Чурин А.А.1,2, Белоусов М.В.3
-
Мекемелер:
- Национальный исследовательский Томский государственный университет
- “Научно-исследовательский институт фармакологии и регенеративной медицины им. Е.Д. Гольдберга” Федерального государственного бюджетного научного учреждения “Томский национальный исследовательский медицинский центр Российской академии наук”
- Федеральное государственное бюджетное образовательное учреждение высшего образования “Сибирский государственный медицинский университет” Министерства здравоохранения Российской Федерации
- Шығарылым: Том 71, № 6 (2024)
- Беттер: 735-744
- Бөлім: ЭКСПЕРИМЕНТАЛЬНЫЕ СТАТЬИ
- URL: https://bakhtiniada.ru/0015-3303/article/view/272102
- DOI: https://doi.org/10.31857/S0015330324060066
- EDN: https://elibrary.ru/MAPLIV
- ID: 272102
Дәйексөз келтіру
Аннотация
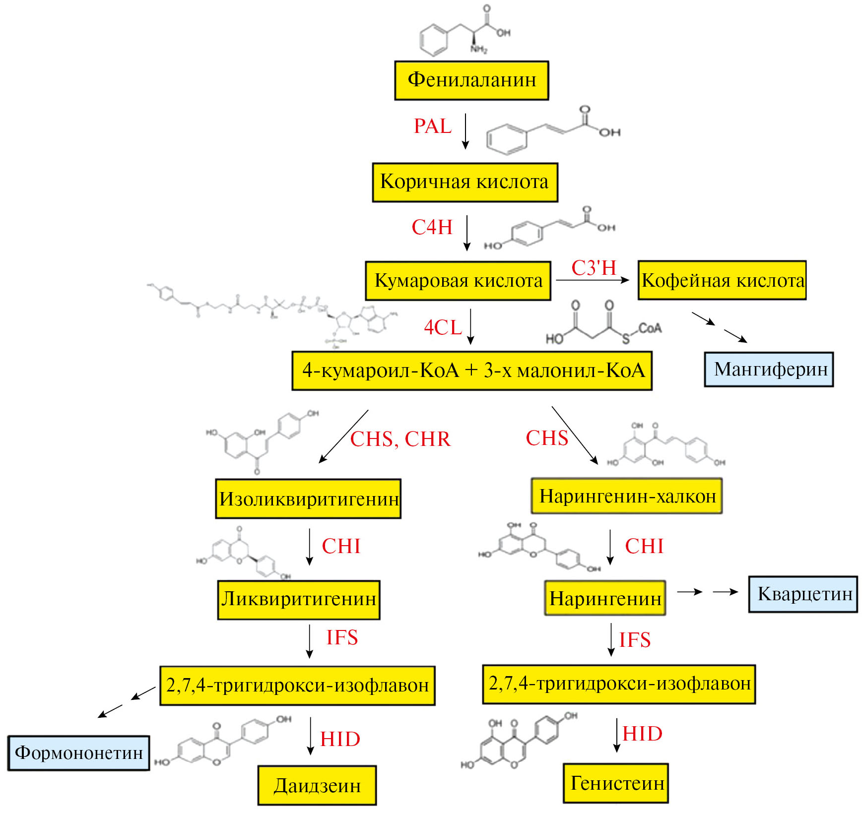
Проведено сравнительное изучение состава фенольных соединений в растительном сырье копеечника альпийского (Hedysarum alpinum L.), интродуцированного на экосистемной дендрологической территории Сибирского ботанического сада ТГУ, и его каллусной культуры с использованием методов ВЭЖХ-УФ и ВЭЖХ-МС. Установлено, что в полученной на питательной МС-среде с добавлением 1.0 мг/л 2,4-Д и 0.1 мг/л 6-БАП и последующим культивированием на среде с α-НУК (2.0 мг/л) + 6-БАП (0.5 мг/л) каллусной культуре копеечника происходит активация фенилпропаноидного пути с образованием флавоноидов, изофлавонов, ксантонов и др. В результате сравнительного анализа установлено, что в извлечениях каллусной культуры содержание суммы флавоноидов (в пересчете на кверцетин) и формононетина ниже на 35 и 11% соответственно, а содержание мангиферина превышает более чем на 50% в сравнении с извлечением из интродуцированного растения.
Негізгі сөздер
Толық мәтін
Авторлар туралы
М. Филонова
Национальный исследовательский Томский государственный университет; “Научно-исследовательский институт фармакологии и регенеративной медицины им. Е.Д. Гольдберга” Федерального государственного бюджетного научного учреждения “Томский национальный исследовательский медицинский центр Российской академии наук”
Хат алмасуға жауапты Автор.
Email: Maria-Caurus7@yandex.ru
Ресей, Томск; Томск
С. Кривощеков
Федеральное государственное бюджетное образовательное учреждение высшего образования “Сибирский государственный медицинский университет” Министерства здравоохранения Российской Федерации
Email: Maria-Caurus7@yandex.ru
Ресей, Томск
Н. Зиннер
Национальный исследовательский Томский государственный университет
Email: Maria-Caurus7@yandex.ru
Ресей, Томск
Д. Исаков
Федеральное государственное бюджетное образовательное учреждение высшего образования “Сибирский государственный медицинский университет” Министерства здравоохранения Российской Федерации
Email: Maria-Caurus7@yandex.ru
Ресей, Томск
Я. Решетов
Федеральное государственное бюджетное образовательное учреждение высшего образования “Сибирский государственный медицинский университет” Министерства здравоохранения Российской Федерации
Email: Maria-Caurus7@yandex.ru
Ресей, Томск
А. Чурин
Национальный исследовательский Томский государственный университет; “Научно-исследовательский институт фармакологии и регенеративной медицины им. Е.Д. Гольдберга” Федерального государственного бюджетного научного учреждения “Томский национальный исследовательский медицинский центр Российской академии наук”
Email: Maria-Caurus7@yandex.ru
Ресей, Томск; Томск
М. Белоусов
Федеральное государственное бюджетное образовательное учреждение высшего образования “Сибирский государственный медицинский университет” Министерства здравоохранения Российской Федерации
Email: Maria-Caurus7@yandex.ru
Ресей, Томск
Әдебиет тізімі
- Сафонова Н.В., Трофимова Е.О. Обзор российского рынка растительных препаратов // Ремедиум. 2021. Т. 3. C. 11.
- Третьякова С. В., Половинкина С. В. К вопросу изученности запасов лекарственных растений в прибайкалье // Научные междисциплинарные исследования. 2020. Т. 4. C. 6.
- Цицилин А.Н., Ковалев Н.И. Лекарственное растениеводство России в XXI веке (вызовы и перспективы развития) // Известия ТСХА. 2021. Т. 1. C. 42.
- Высочина Г.И., Кукушкина Т.А. Биологически активные вещества некоторых видов рода Hedysarum L. // Химия растительного сырья. 2011. Т. 4. С. 251.
- Dong Y., Tang D., Zhang N., Li Y., Zhang C., Li L., Li M. Phytochemicals and biological studies of plants in genus Hedysarum // Chem. Cent. J. 2013. V. 7. P. 124. https://doi.org/10.1186/1752-153X-7-124
- Федорова Ю.С., Сухих А.С., Кузнецов П.В. Ключевые биологически активные вещества фитопрепаратов на основе растений рода Копеечник // Сорбционные и хроматографические процессы. 2019. Т. 11. С. 708.
- Свиридова Т.П., Зиннер Н.С. Перспективы выращивания Hedysarum alpinum L. и Hedysarum theinum Krasnob. в условиях Томской области // Вестн. Том. гос. ун-та. Биология. 2008. Т. 2. С. 5.
- Ромашкина С.И., Хазиева Ф. М. Перспективы выращивания Hedysarum alpínum L. в нечерноземной зоне Российской Федерации // Вестн. КрасГАУ. 2020. Т. 12. С. 165.
- Зиннер Н.С., Высочина Г.И., Кукушкина Т.А., Свиридова Т.П. Биологически активные вещества Hedysarum alpinum L. и H. theinum Krasnob. (fabaceae), интродуцируемых в Томскую область // Вестн. Том. гос. ун-та. Биология. 2010. Т. 4. С. 116.
- Murashige T., Skoog F. A revised medium for rapid growth and bio-assays with tobacco tissue cultures // Physiol. Plant. 1962. V. 15. P. 473. https://doi.org/10.1111/j.1399-3054.1962.tb08052.x
- Авдеева Е.Ю., Краснов Е.А., Семенов А.А. Содержание флавоноидов в надземной части Saussurea controversa DC (Asteraceae) // Хим.-фарм. журнал. 2017. Т. 51. С. 28. https://doi.org/10.30906/0023-1134-2017-51-2-28-29
- Имачуева Д.Р., Серебряная Ф.К., Зилфикаров И.Н. Количественное определение суммы ксантонов в пересчете на мангиферин в надземных органах видов рода копеечник (Hedysarum L.) методом УФ-спектрофотометрии // Химия растит. сырья. 2020. Т. 3. С. 179.
- Lee J.S., Paje L.A., Kim M.J. Jang S. H., Kim J.T., Lee S. Validation of an optimized HPLC–UV method for the quantification of formononetin and biochanin A in Trifolium pratense extract // Appl. Biol. Chem. 2021. V. 64. P. 57. https://doi.org/10.1186/s13765-021-00630-5
- Круглова Н.Н., Титова Г.Е., Сельдимирова О.Н. Каллусогенез как путь морфогенеза in vitro у злаков // Онтогенез. 2018. Т. 49. С. 273. https://doi.org/10.1134/S0475145018050038
- Newsome A.G., Li Y., van Breemen R.B. Improved quantification of free and ester-bound gallic acid in foods and beverages by UHPLC-MS/MS // JAFC. 2016. V. 6. P. 1326. https://doi.org/10.1021/acs.jafc.5b04966
- Shaw L.H., Lin L.C., Tsai T.H. HPLC–MS/MS Analysis of a Traditional Chinese medical formulation of Bu-Yang-Huan-Wu-Tang and its pharmacokinetics after oral administration to rats // PLOS ONE. 2012. V. 8. P. e43848. https://doi.org/10.1371/journal.pone.0043848
- Shi F., Pan H., Lu Y., Ding L. An HPLC-MS/MS method for simultaneous determination of luteolin and its major metabolites in rat plasma and its application to a pharmacokinetic study // JSS. 2018. V. 20. P. 3830. https://doi.org/10.1002/jssc.201800585
- Ciptati E.S., Ratnawati R., Rudijanto A.A. Qualitative analysis of catechins from green tea GMB-4 clone using HPLC and LC-MS/MS // Asian Pac. J. Trop. Biomed. 2015. V. 5 P. 1046. https://doi.org/10.1016/j.apjtb.2015.09.013
- Lan K., Jiang X., He J. Quantitative determination of isorhamnetin, quercetin and kaempferol in rat plasma by liquid chromatography with electrospray ionization tandem mass spectrometry and its application to the pharmacokinetic study of isorhamnetin // Rapid Commun. Mass. Spectrom. 2007. V. 2. P. 112. https://doi.org/10.1002/rcm.2814
- Lee J.H, Johnson J.V., Talcott S.T. Identification of ellagic acid conjugates and other polyphenolics in muscadine grapes by HPLC-ESI-MS // J. Agric. Food Chem. 2005. V. 15. P. 6003. https://doi.org/10.1021/jf050468r
- Tian Z., Wan M., Wang Z., Wang B. The preparation of genistein and LC-MS/MS on-line analysis // Drug Dev. Res. 2003. V. 1. P. 6. https://doi.org/10.1002/ddr.10332
- Dudoit A., Mertz C., Chillet M., Cardinault N., Brat P. Antifungal activity of Brazilian red propolis extract and isolation of bioactive fractions by thin-layer chromatography-bioautography // Food Chem. 2020. V. 327. P. 127060. https://doi.org/10.1016/j.foodchem.2020.127060
- Rani D., Vimolmangkang, S. Trends in the biotechnological production of isoflavonoids in plant cell suspension cultures // Phytochem. Rev. 2022. V. 21. P. 1843. https://doi.org/10.1007/s11101-022-09811-6
- Jalsrai A., Urtnasan M., Hsieh-Li H.M. Ethanolic extract of Hedysarum alpinum L is rich in flavonoids and shows free radical scavenging and psychological modulation activities// J. Food Eng. Technol. 2023. V. 12. P. 14. https://doi.org/10.32732/jfet.2023.12.1.14
- Sohn S.I., Pandian S., Oh Y.J., Kang H.J., Cho W.S., Cho Y.S. Metabolic engineering of isoflavones: an updated overview // Front. Plant Sci. 2021. V. 12. P. 670103. https://doi.org/10.3389/fpls.2021.670103
- Dias M.C., Pinto D.C.G.A., Silva A.M.S. Plant flavonoids: chemical characteristics and biological activity // Molecules. 2021. V. 26. P. 5377. https://doi.org/10.3390/molecules26175377
- Roy A., Khan A., Ahmad I., Alghamdi S., Rajab B.S., Babalghith A.O., Alshahrani M.Y., Islam S., Islam M.R. Flavonoids a bioactive compound from medicinal plants and its therapeutic applications // Biomed. Res. Int. 2022. V. 2022. P. 5445291. https://doi.org/10.1155/2022/5445291
- Imran M., Arshad M.S., Butt M.S., Kwon J.H., Arshad M.U., Sultan M.T. Mangiferin: a natural miracle bioactive compound against lifestyle related disorders // Lipids Health Dis. 2017. V. 16. P. 84. https://doi.org/10.1186/s12944-017-0449-y
- Morozkina S.N., Nhung Vu. T.H., Generalova Y.E., Snetkov P.P., Uspenskaya M.V. Mangiferin as new potential anti-cancer agent and mangiferin-integrated polymer systems – A Novel Research Direction // Biomolecules. 2021. V. 11. P. 79. https://doi.org/10.3390/biom11010079
- Popova E.V., Nosov A.V., Titova M.V., Kochkin D.V., Fomenkov A.A., Kulichenko I.E., Nosov A.M. Advanced biotechnologies: collections of plant cell cultures as a basis for development and production of medicinal preparations // Russ. J. Plant Physiol. 2021. V. 68. P. 385. https://doi.org/10.31857/S0015330321030167
- Tomilova S.V., Kitashov A.V., Nosov A.M. cardiac glycosides: distribution, properties and specificity of formation in plant cell and organ cultures in vitro // Russ. J. Plant Physiol. 2022. V. 69. P. 227. https://doi.org/10.31857/S0015330322030162
- Morphogenesis, Genetic Stability, and Secondary Metabolite Production in Untransformed and Transformed Cultures // Plant Cell and Tissue Differentiation and Secondary Metabolites. Reference Series in Phytochemistry / Еds. Ramawat, K., Ekiert, H., Goyal, S. Springer. 2020 P. Cham. P. 1. https://doi.org/10.1007/978-3-030-11253-0_15-2
Қосымша файлдар






