Фракционный и жирнокислотный состав липидов фрагментов почек по фазам распускания у растений рода Betula1
- Авторы: Морозова И.В.1, Чернобровкина Н.П.2, Пчёлкин В.П.3
-
Учреждения:
- Институт водных проблем Севера – обособленное подразделение Федерального государственного бюджетного учреждения науки Федерального исследовательского центра “Карельский научный центр Российской академии наук”
- Институт леса – обособленное подразделение Федерального государственного бюджетного учреждения науки Федерального исследовательского центра “Карельский научный центр Российской академии наук”
- Федеральное государственное бюджетное учреждение науки Институт физиологии растений им. К. А. Тимирязева Российской академии наук
- Выпуск: Том 71, № 6 (2024)
- Страницы: 723-734
- Раздел: ЭКСПЕРИМЕНТАЛЬНЫЕ СТАТЬИ
- URL: https://bakhtiniada.ru/0015-3303/article/view/272099
- DOI: https://doi.org/10.31857/S0015330324060059
- EDN: https://elibrary.ru/MARTZH
- ID: 272099
Цитировать
Аннотация
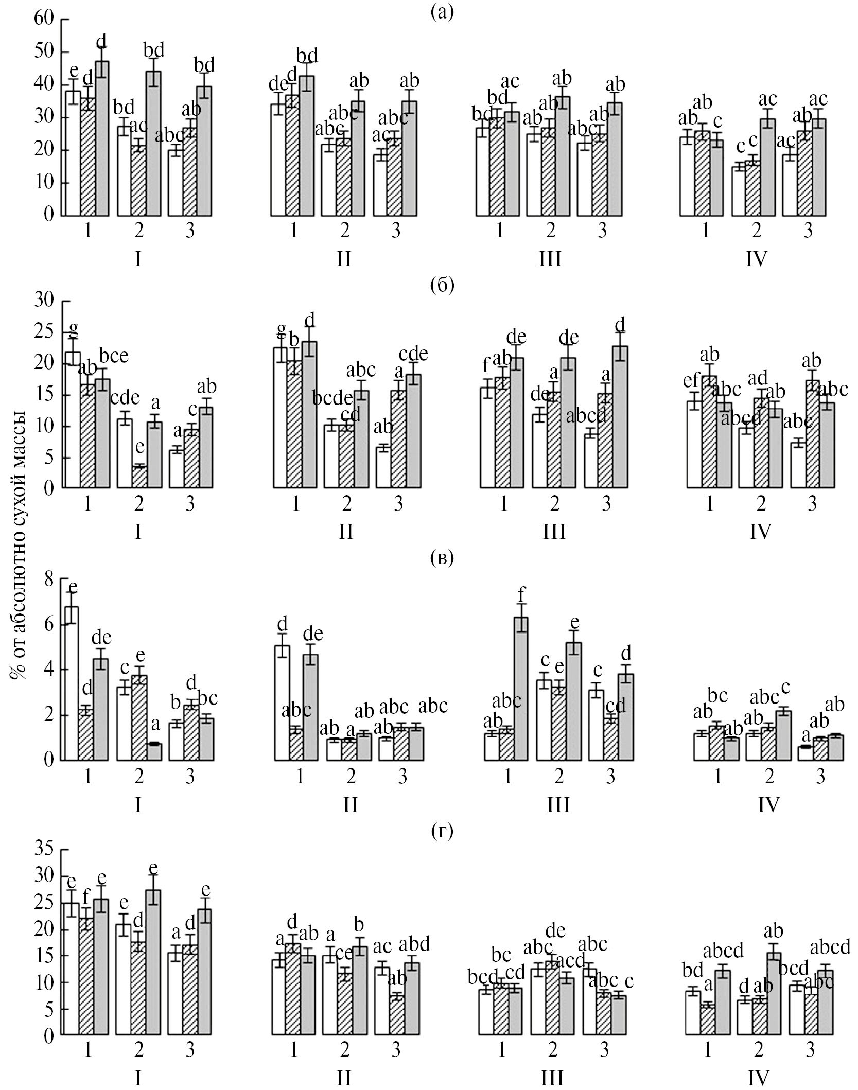
У растений рода Betula L. с морфологическими признаками березы пушистой B. pubescens, березы повислой B. pendula и карельской березы B. pendula var. carelica во фрагментах почек по фазам их распускания исследованы показатели роста и влажности, а также содержание и состав жирных кислот (ЖКС) отдельных фракций суммарных липидов (СЛ). Фракции нейтральных липидов (НЛ), гликолипидов (ГЛ) и фосфолипидов (ФЛ) выделяли из СЛ хлороформом, ацетоном и метанолом, соответственно. Растущие зачаточные листья отличались повышенной массой и влажностью по сравнению с чешуями и прилистниками. В зачаточных листьях по сравнению с другими фрагментами почек по фазам распускания отмечено высокое абсолютное содержание СЛ в I фазе и падение уровня СЛ по другим фазам, значительное абсолютное накопление НЛ и ФЛ к III фазе и использование в IV фазе при накоплении ГЛ в эту фазу, высокий уровень ненасыщенных жирных кислот (ННЖК) СЛ и их отдельных фракций в исследуемый период, повышение в составе ФЛ и ГЛ уровня линоленовой кислоты (С18:3) к IV фазе, а также рост относительного содержания пальмитиновой кислоты (С16:0) в составе ГЛ к III фазе и снижение ее уровня в IV фазе. ЖКС фракций СЛ фрагментов распускающихся почек берез был представлен преимущественно ННЖК (до 88% от суммы ЖК). Основную долю ННЖК составляли С18:3 и линолевая (С18:2) (до 55 и 47% от суммы ЖК соответственно), в насыщенных ЖК преобладала С16:0 (до 42%). У трех берез при развитии почек по фазам распускания в их отдельных фрагментах как в СЛ, так и во всех фракциях СЛ относительное содержание С18:2 снижалось при повышении в составе ГЛ и ФЛ – С18:3. У этих берез, различающихся по морфологическим признакам, отличительные особенности липидного состава выявлены преимущественно в чешуях.
Ключевые слова
Полный текст
Об авторах
И. В. Морозова
Институт водных проблем Севера – обособленное подразделение Федерального государственного бюджетного учреждения науки Федерального исследовательского центра “Карельский научный центр Российской академии наук”
Автор, ответственный за переписку.
Email: irinamorozova1502@gmail.com
Россия, Петрозаводск
Н. П. Чернобровкина
Институт леса – обособленное подразделение Федерального государственного бюджетного учреждения науки Федерального исследовательского центра “Карельский научный центр Российской академии наук”
Email: irinamorozova1502@gmail.com
Россия, Петрозаводск
В. П. Пчёлкин
Федеральное государственное бюджетное учреждение науки Институт физиологии растений им. К. А. Тимирязева Российской академии наук
Email: irinamorozova1502@gmail.com
Россия, Москва
Список литературы
- Westhoff M., Schneider H., Zimmermann D., Mimietz S., Stinzing A., Wegner L.H., Kaiser W., Krohne G., Shirley S., Jakob P., Bamberg E. The mechanisms of refilling of xylem conduits and bleeding of tall birch during spring // Plant Biol. 2008. V. 10. P. 604. https://doi.org/10.1111/j.1438-8677.2008.00062.x
- Holtta T., Dominguez Carrasco M.D.R., Salmon Y., Aalto J., Vanhatalo A., Back J., Lintunen A. Water relations in silver birch during springtime: How is sap pressurised? // Plant Biol. 2018. V. 20. P. 834.
- Vetchinnikova L.V., Tatarinova T.D., Serebryakova O.S., Perk A.A., Ponomarev A.G., Il’inova M.K., Petrova N.E., Vasilieva I.V. The fatty acid composition of membrane lipids in buds of silver Birch during the winter–spring period under the conditions of the cryolithozone // Cell Tissue Boil. 2019. V. 13. P. 397. https://doi.org/10.1134/S1990519X19050092
- Morozova I.V., Chernobrovkina N.P., Il’inova M.K., Robonen E.V., Tsydendambaev V.D., Pchelkin V.P. Fatty acid composition in fractions of total lipids from the buds of plants of the Betula L. genus by the opening phases // Russ. J. Plant Physiol. 2021. V. 68. P. 94. https://doi.org/10.1134/S1021443721010131
- Ветчинникова Л.В. Береза: Вопросы изменчивости (морфо-физиологические и биохимические аспекты). М.: Наука, 2004. 183 с.
- Jamieson G.R., GLC identification techniques for long-chain unsaturated fatty acids // J. Chromat. Sci. 1975. V. 13. P. 491.
- Alaudinova E.V., Mironov P.V. Lipids of the meristems of the main coniferous edificators from Сentral Siberia under low-temperature adaptation: 1. The characteristics of the fatty acid composition of phospholipids from winter meristems of Larix sibirica Ledeb., Picea obovata L., and Pinus sylvestris L. // Russ. J. Bioorganic. Chem. 2010a. V. 36. P. 867.
- Alaudinova E.V., Mironov P.V. Lipids of the meristems of the main coniferous edificators from Central Siberia under low-temperature adaptation: 2. Features of the fatty acid metabolism of phospholipids from winter meristems of Larix sibirica Ledeb., Picea obovata L, and Pinus sylvestris L. // Russ. J. Bioorganic. Chem. 2010b. V. 36. P. 872.
- Sudachkova N.E, Milyutina I.L, Romanova L.I, Semenova G.P. The annual dynamics of reserve compounds and hydrolitic enzymes activity in the tissues of Pinus sylvestris L. and Larix sibirica Ledeb. // Eurasian J. For. Res. 2004. V. 7. P. 1.
- Los D.A., Murata N. Membrane fluidity and its roles in the perception of environmental signals // Biochim. Biophys. Acta. 2004. V. 1666(1-2). P. 142. https://doi.org/10.1016/j.bbamem.2004.08.002
- Los D.A., Mironov K.S., Allakhverdiev S.I. Regulatory role of membrane fluidity in gene expression and physiological functions // Photosynth. Res. 2013. V. 116. P. 489. https://doi.org/10.1007/s11120-013-9823-4
- Arisawa K., Mitsudome H., Yoshida K., Sugimoto S., Ishikawa T., Fujiwara Y., Ichi I. Saturated fatty acid in the phospholipid monolayer contributes to the formation of large lipid droplets // Biochem. Biophys. Res. Commun. 2016. V. 480. P. 641. https://doi.org/10.1016/j.bbrc.2016.10.109
- Makarenko S.P., Konenkina T.A., Suvorova G.G., Oskorbina M.V. Seasonal changes in the fatty acid composition of Pinus sylvestris needle lipids // Russ. J. Plant Physiol. 2014. V. 61. P. 119. https://doi.org/10.1134/S1021443713050105
- Kalugina O.V., Mikhailova T.A., Afanasyeva L.V., Gurina V.V., Ivanova M.V. Changes in the fatty acid composition of pine needle lipids under the aluminum smelter emissions // Ecotoxicology. 2021. V. 30. P. 2083. https://doi.org/10.1007/s10646-021-02479-2
- Hugly S., Somerville C.R. A role of membrane lipid polyunsaturation in chloroplast biogenesis at low temperature // Plant Physiol. 1992. V. 99. P. 197. https://doi.org/10.1104/pp.99.1.197
- Popov V.N., Antipina O.V., Pchelkin V.P., Tsydendambaev V.D. Changes in fatty acid composition of lipids in chloroplast membranes of tobacco plants during cold hardening // Russ. J. Plant Physiol. 2017. V. 64. P. 156. https://doi.org/10.1134/S1021443717010137
- Murphy D.J., The molecular organisation of the photosynthetic membranes of higher plants // Biochim. Biophys. Acta. 1986. V. 864. P. 33.
- Laskay G., Lehoczki E. Correlation between linolenic acid deficiency in chloroplast membrane lipids and decreasing photosynthetic activity in barley // Biochim. Biophys. Acta. 1986. V. 849. P. 77.
- Ivanova M.V., Makarenko S.P., Suvorova G.G. Fatty acid composition of lipids in Picea obovata needles in the spring vegetation period // Contemp. Probl. Ecol. 2018. V. 11. P. 207. https://doi.org/10.1134/S199542551802004X
- Awai K., Xu C., Tamot B., Benning C. A phosphatidic acid-binding protein of the chloroplast inner envelope membrane involved in lipid trafficking // Proc. Natl. Acad. Sci. USA. 2006. V. 103. P. 10817. https://doi.org/10.1073/pnas.0602754103
- Yoshida H., Yoshida N., Kuriyama I., Tomiyama-Sakamoto Y., Mizushina Y. Profiles of lipid components, fatty acid distributions of tryacylglycerols and phospholipids in Jack beans (Canavalia gladiata DC.) // Food Chem. 2013. V. 136. P. 807. https://doi.org/10.1016/j.foodchem. 2012.08.087
- Zhukov A.V. Palmitic acid and its role in the structure and functions of plant cell membranes // Russ. J. Plant Physiol. 2015. V. 62. P. 706. https://doi.org/10.1134/S1021443715050192
- Zhigacheva I.V., Burlakova E.B., Misharina T.A., Terenina M.B., Krikunova N.I., Generosova I.P., Shugaev A.G., Fattakhov S.G. Fatty acid composition of membrane lipids and energy metabolism in mitochondria of pea seedlings under water defici // Russ. J. Plant Physiol. 2013. V. 60. P. 212. https://doi.org/10.1134/S1021443713010111
Дополнительные файлы






