Analysis of Anti-Inflammatory Properties of Plant Oxylipins Produced in the Hydroperoxide Lyase Branch
- Authors: Radzyukevich Y.V.1, Tikhonov K.G.1, Degtyaryov E.A.1, Degtyaryova V.I.2,3, Savchenko T.V.1
-
Affiliations:
- Institute of Fundamental Problems in Biology, Pushchino Scientific Center for Biological Research, Russian Academy of Sciences
- Faculty of Biotechnology, Moscow State University
- Branch of Shemyakin and Ovchinnikov Institute of Bioorganic Chemistry, Russian Academy of Sciences
- Issue: Vol 70, No 7 (2023)
- Pages: 915-922
- Section: ЭКСПЕРИМЕНТАЛЬНЫЕ СТАТЬИ
- URL: https://bakhtiniada.ru/0015-3303/article/view/233801
- DOI: https://doi.org/10.31857/S0015330323600948
- EDN: https://elibrary.ru/BJPMSQ
- ID: 233801
Cite item
Full Text
Abstract
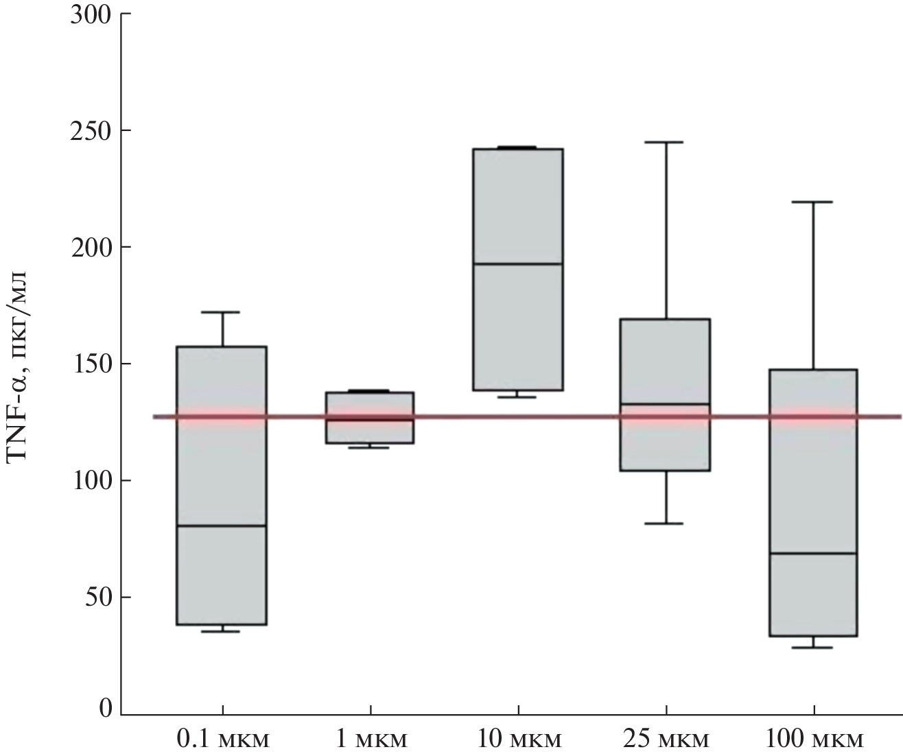
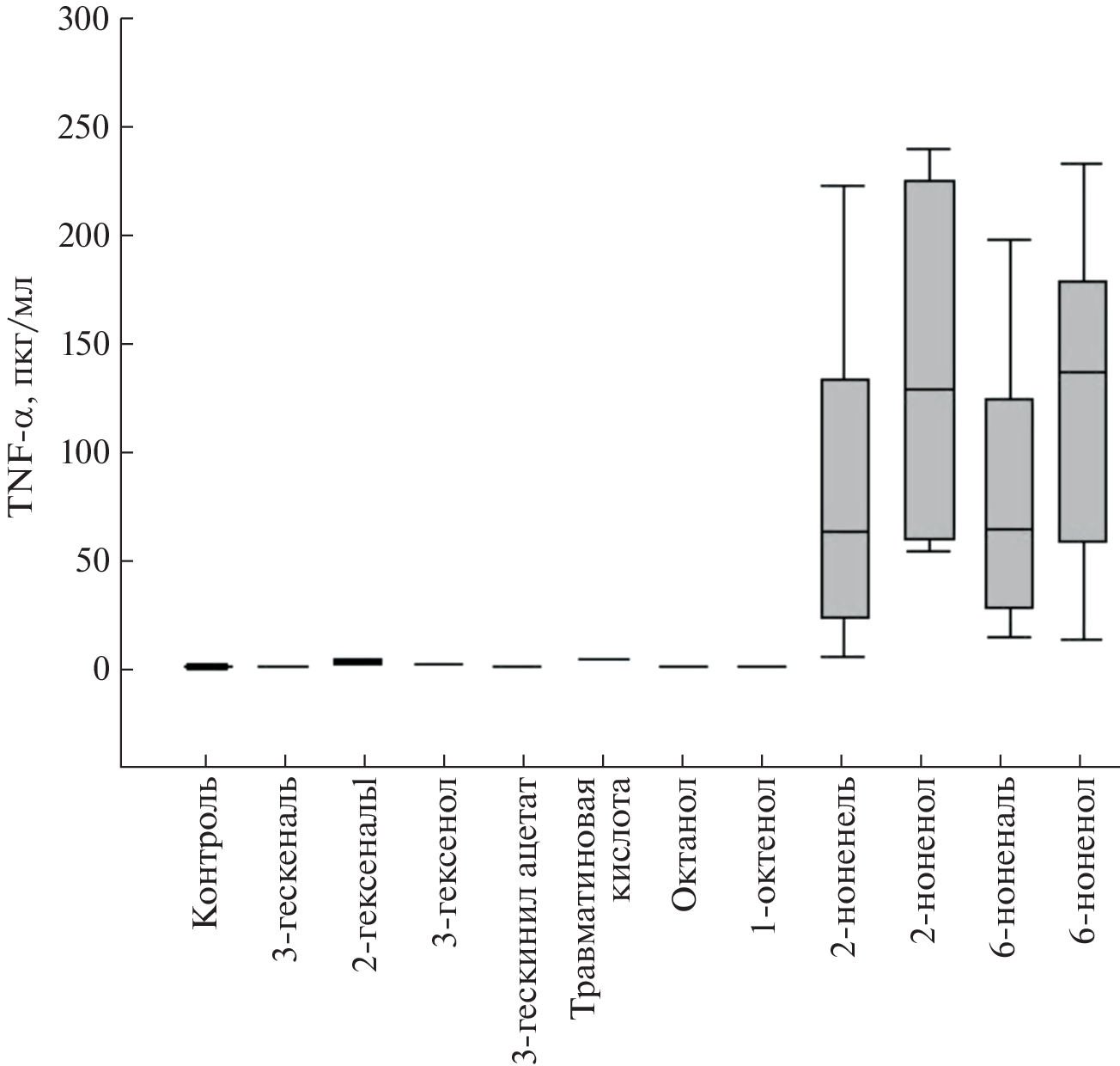
Short-chain and medium-chain aldehydes and their derivatives, yielded by the enzymes hydroperoxide lyases from fatty acids, are present in many products of plant origin. They are often used as supplements to food to postpone its expiration date and to add a flavor of freshness. Since these compounds can be absorbed by the intestine cells and pass into systemic circulation, it is important to be aware of their influence on human health. In the present study, the potential biological activity of aldehydes and alcohols with chains containing six to nine carbon atoms were assessed. Their proinflammatory activities were tested in the experimental system based on donors’ whole blood. It was found that nine-carbon oxylipins stimulated the synthesis of the proinflammatory TNF-α cytokine (tumor necrosis factor alpha), and the stimulation by the aldehydes was weaker than that caused by the alcohols. The oxylipins containing six or eight carbons did not manifest proinflammatory activity. The obtained data may be of help to work out nutritional recommendations for patients suffering from inflammatory diseases.
About the authors
Ya. V. Radzyukevich
Institute of Fundamental Problems in Biology, Pushchino Scientific Center for Biological Research, Russian Academy of Sciences
Email: savchenko_t@rambler.ru
142290, Pushchino, Russia
K. G. Tikhonov
Institute of Fundamental Problems in Biology, Pushchino Scientific Center for Biological Research, Russian Academy of Sciences
Email: savchenko_t@rambler.ru
142290, Pushchino, Russia
E. A. Degtyaryov
Institute of Fundamental Problems in Biology, Pushchino Scientific Center for Biological Research, Russian Academy of Sciences
Email: savchenko_t@rambler.ru
142290, Pushchino, Russia
V. I. Degtyaryova
Faculty of Biotechnology, Moscow State University; Branch of Shemyakin and Ovchinnikov Institute of Bioorganic Chemistry, Russian Academy of Sciences
Email: savchenko_t@rambler.ru
119991, Moscow, Russia; 142290, Pushchino, Russia
T. V. Savchenko
Institute of Fundamental Problems in Biology, Pushchino Scientific Center for Biological Research, Russian Academy of Sciences
Author for correspondence.
Email: savchenko_t@rambler.ru
142290, Pushchino, Russia
References
- Liavonchanka A., Feussner I. Lipoxygenases: occurrence, functions and catalysis // J. Plant Physiol. 2006. V. 163. P. 348. https://doi.org/10.1016/j.jplph.2005.11.006
- Andreou A., Feussner I. Lipoxygenases - structure and reaction mechanism // Phytochem. 2009. V. 70. P. 1504. https://doi.org/10.1016/j.phytochem.2009.05.008
- Brash A.R., Ingram C.D., Harris T.M. Analysis of a specific oxygenation reaction of soybean lipoxygenase-1 with fatty acids esterified in phospholipids // Biochemistry. 1987. V. 26. P. 5465. https://doi.org/10.1021/bi00391a038
- Leon J., Royo J., Vancanneyt G., Sanz C., Silkowski H., Griffiths G., Sanchez-Serrano J.J. Lipoxygenase H1 gene silencing reveals a specific role in supplying fatty acid hydroperoxides for aliphatic aldehyde production // J. Biol. Chem. 2002. V. 277. P. 416. https://doi.org/10.1074/jbc.M107763200
- Nakashima A., von Reuss S.H., Tasaka H., Nomura M., Mochizuki S., Iijima Y., Aoki K., Shibata D., Boland W., Takabayashi J., Matsui K. Traumatin- and Dinortraumatin-containing Galactolipids in Arabidopsis: their formation in tissue-disrupted leaves as counterparts of green leaf volatiles // J. Biol. Chem. 2013. V. 288. P. 26078. https://doi.org/10.1074/jbc.M113.487959
- Lee D.S., Nioche P., Hamberg M., Raman C.S. Structural insights into the evolutionary paths of oxylipin biosynthetic enzymes // Nature. 2008. V. 455. P. 363. https://doi.org/10.1038/nature07307
- Grechkin A.N., Hamberg M. The “heterolytic hydroperoxide lyase” is an isomerase producing a short-lived fatty acid hemiacetal // Biochim. Biophys. Acta. 2004. V. 1636. P. 47. https://doi.org/10.1016/j.bbalip.2003.12.003
- Matsui K., Kurishita S., Hisamitsu A., Kajiwara T. A lipid-hydrolysing activity involved in hexenal formation // Biochem. Soc. Trans. 2000. V. 28. P. 857.
- Zimmerman D.C., Coudron C.A. Identification of traumatin, a wound hormone, as 12-oxo-trans-10-dodecenoic acid // Plant Physiol. 1979. V. 63. P. 536. https://doi.org/10.1104/pp.63.3.536
- Kallenbach M., Gilardoni P.A., Allmann S., Baldwin I.T., Bonaventure G. C12 derivatives of the hydroperoxide lyase pathway are produced by product recycling through lipoxygenase-2 in Nicotiana attenuata leaves // New Phytol. 2011. V. 191. P. 1054. https://doi.org/10.1111/j.1469-8137.2011.03767.x
- Stumpe M., Bode J., Göbel C., Wichard T., Schaaf A., Frank W., Frank M., Reski R., Pohnert G., Feussner I. Biosynthesis of C9-aldehydes in the moss Physcomitrella patens // Biochim. Biophys. Acta. 2006. V. 1761. P. 301. https://doi.org/10.1016/j.bbalip.2006.03.008
- Tijet N., Schneider C., Muller B.L., Brash A.R. Biogenesis of volatile aldehydes from fatty acid hydroperoxides: molecular cloning of a hydroperoxide lyase (CYP74C) with specificity for both the 9- and 13-hydroperoxides of linoleic and linolenic acids // Arch Biochem Biophys. 2001. V. 386. P. 281. https://doi.org/10.1006/abbi.2000.2218
- Noordermeer M.A., Veldink G.A., Vliegenthart J.F.G. Alfalfa contains substantial 9-hydroperoxide lyase activity and a 3Z:2E-enal isomerase // FEBS lett. 1999. V. 443. P. 201. https://doi.org/10.1016/S0014-5793(98)01706-2
- Kunishima M., Yamauchi Y., Mizutani M., Kuse M., Takikawa H., Sugimoto Y. Identification of (Z)-3:(E)-2-hexenal isomerases essential to the production of the leaf aldehyde in plants // J. Biol. Chem. 2016. V. 291. P. 14023. https://doi.org/10.1074/jbc.M116.726687
- Bate N.J., Riley J.C.M., Thompson J.E., Rothstein S.J. Quantitative and qualitative differences in C6-volatile production from the lipoxygenase pathway in an alcohol dehydrogenase mutant of Arabidopsis thaliana // Physiol. Plant. 1998. V. 104. P. 97. https://doi.org/10.1034/j.1399-3054.1998.1040113.x
- Tanaka T., Ikeda A., Shiojiri K., Ozawa R., Shiki K., Nagai-Kunihiro N., Fujita K., Sugimoto K., Yamato K.T., Dohra H., Ohnishi T., Koeduka T., Matsui K. Identification of a hexenal reductase that modulates the composition of green leaf volatiles // Plant Physiol. 2018. V. 178. P. 552. https://doi.org/10.1104/pp.18.00632
- D'Auria J.C., Pichersky E., Schaub A., Hansel A., Gershenzon J. Characterization of a BAHD acyltransferase responsible for producing the green leaf volatile (Z)-3-hexen-1-yl acetate in Arabidopsis thaliana // Plant J. 2007. V. 49. P. 194. https://doi.org/10.1111/j.1365-313X.2006.02946.x
- Kihara H., Tanaka M., Yamato K.T., Horibata A., Yamada A., Kita S., Ishizaki K., Kajikawa M., Fukuzawa H., Kohchi T., Akakabe Y., Matsui K. Arachidonic acid-dependent carbon-eight volatile synthesis from wounded liverwort (Marchantia polymorpha) // Phytochemistry. 2014. V. 107. P. 42. https://doi.org/10.1016/j.phytochem.2014.08.008
- Noordermeer M.A., Van Dijken A.J., Smeekens S.C., Veldink G.A., Vliegenthart J.F. Characterization of three cloned and expressed 13-hydroperoxide lyase isoenzymes from alfalfa with unusual N-terminal sequences and different enzyme kinetics // Eur. J. Biochem. 2000. V. 267. P. 2473. https://doi.org/10.1046/j.1432-1327.2000.01283.x
- Matsui K., Minami A., Hornung E., Shibata H., Kishimoto K., Ahnert V., Kindl H., Kajiwara T., Feussner I. Biosynthesis of fatty acid derived aldehydes is induced upon mechanical wounding and its products show fungicidal activities in cucumber // Phytochemistry. 2006. V. 67. P. 649. https://doi.org/10.1016/j.phytochem.2006.01.006
- Prost I., Dhondt S., Rothe G., Vicente J., Rodriguez M.J., Kift N., Carbonne F., Griffiths G., Esquerré-Tugayé M.-Th., Rosahl S., Castresana C., Hamberg M., Fournier J. Evaluation of the antimicrobial activities of plant oxylipins supports their involvement in defense against pathogens // Plant Physiol. 2005. V. 139. P. 1902. https://doi.org/10.1104/pp.105.066274
- Matsui K. Green leaf volatiles: hydroperoxide lyase pathway of oxylipin metabolism // Curr. Opin. Plant Biol. 2006. V. 9. P. 274. https://doi.org/10.1016/j.pbi.2006.03.002
- Savchenko T., Pearse I.S., Ignatia L., Karban R., Dehesh K. Insect herbivores selectively suppress the HPL branch of the oxylipin pathway in host plants // Plant J. 2013. V. 73. P. 653. https://doi.org/10.1111/tpj.12064
- Loreto F., Barta C., Brilli F., Nogues I. On the induction of volatile organic compound emissions by plants as consequence of wounding or fluctuations of light and temperature // Plant Cell Environ. 2006. V. 29. P. 1820. https://doi.org/10.1111/j.1365-3040.2006.01561.x
- Шипелин В.А., Сидорова Ю.С. Оксилипины – биологически активные вещества пищи // Вопросы питания. 2020. Т. 89. С.16 https://doi.org/10.24411/0042-8833-2020-10073
- Thies F., Miles E.A., Nebe-von-Caron G., Powell J.R., Hurst T.L., Newsholme E.A., Calder P.C. Influence of dietary supplementation with long-chain n-3 or n-6 polyunsaturated fatty acids on blood inflammatory cell populations and functions and on plasma soluble adhesion molecules in healthy adults // Lipids. 2001. V. 36. P. 1183. https://doi.org/10.1007/s11745-001-0831-4
- Radzyukevich Y.V., Kosyakova N.I., Prokhorenko I.R. Synergistic effect of Dermatophagoides pteronyssinus allergen and Escherichia coli lipopolysaccharide on human blood cells // PloS One. 2018. V. 13:e0207311. https://doi.org/10.1371/journal.pone.0207311
- Barret R. Medicinal Chemistry: fundamentals. Elsevier. 2018. 172 p.
- Veber D.F., Johnson S.R., Cheng H.-Y., Smith B.R., Ward K.W., Kopple K.D. Molecular properties that influence the oral bioavailability of drug candidates // J. Med. Chem. 2002. V. 45. P. 2615. https://doi.org/10.1021/jm020017n
- Филимонов Д.А., Лагунин А.А., Глориозова Т.А., Рудик А.В., Дружиловский Д.С., Погодин П.В., Поройко В.В. Предсказание спектров биологической активности органических соединений с помощью веб-ресурса PASS ONLINE // Химия гетероциклических соединений. 2014. Т. 3. С. 483.
- Kumar A., Taghi Khani A., Sanchez Ortiz A., Swaminathan S. GM-CSF: a double-edged sword in cancer immunotherapy // Front. Immunol. 2022. V. 13. P. 901277. https://doi.org/10.3389/fimmu.2022.901277
- Savchenko T., Degtyaryov E., Radzyukevich Y., Buryak V. Therapeutic potential of plant oxylipins // Int. J. Mol. Sci. 2022. V. 23. P. 14627. https://doi.org/10.3390/ijms232314627
- Lehtonen M., Kekäläinen S., Nikkilä I., Kilpeläinen P., Tenkanen M., Mikkonen K.S. Active food packaging through controlled in situ production and release of hexanal // Food Chem.: X. 2020. V. 5. P. 100074. https://doi.org/10.1016/j.fochx.2019.100074
- Mussinan C.J., Mookherjee B.D., Vock M.H., Schmitt F.L., Granda E.J., Vinals J.F., Kiwala J. Flavoring with a mixture of cis-3-hexenal, trans-2-hexenal, cis-3-hexenyl formate, cis-3-hexenol and cis-3-hexenyl-cis-3-hexenoate. US Patent № 4241098. 1979.
- Vincenti S., Mariani M., Alberti J.-C., Jacopini S., Brunini-Bronzini de Caraffa V., Berti L., Maury J. Biocatalytic synthesis of natural green leaf volatiles using the lipoxygenase metabolic pathway // Catalysts. 2019. V. 9. P. 873. https://doi.org/10.3390/catal9100873
- Karg K., Dirsch V.M., Vollmar A.M., Cracowski J.L., Laporte F., Mueller M.J. Biologically active oxidized lipids (phytoprostanes) in the plant diet and parenteral lipid nutrition // Free Radic. Res. 2007. V. 41. P. 25. https://doi.org/10.1080/10715760600939734
- Larsson K., Harrysson H., Havenaar R., Alminger M., Undeland I. Formation of malondialdehyde (MDA), 4‑hydroxy-2-hexenal (HHE) and 4-hydroxy-2-nonenal (HNE) in fish and fish oil during dynamic gastrointestinal in vitro digestion // Food Funct. 2016. V. 7. P. 1176. https://doi.org/10.1039/c5fo01401h
- Goicoechea E., Brandon E.F., Blokland M.H., Guillén M.D. Fate in digestion in vitro of several food components, including some toxic compounds coming from omega-3 and omega-6 lipids // Food Chem. Toxicol. 2011. V. 49. P. 115. https://doi.org/10.1016/j.fct.2010.10.005
- Salem M.L. Immunomodulatory and therapeutic properties of the Nigella sativa L. seed // Int. Immunopharmacol. 2005. V. 5. P. 1749. https://doi.org/10.1016/j.intimp.2005.06.008
- Block K.I., Mead M.N. Immune system effects of echinacea, ginseng, and astragalus: a review // Integr. Cancer Ther. 2003. V. 2. P. 247. https://doi.org/10.1177/1534735403256419




